Last visit was: 19 Nov 2025, 09:31 It is currently 19 Nov 2025, 09:31
Close
GMAT Club Daily Prep
Thank you for using the timer - this advanced tool can estimate your performance and suggest more practice questions. We have subscribed you to Daily Prep Questions via email.

Customized
for You

we will pick new questions that match your level based on your Timer History

Track
Your Progress

every week, we’ll send you an estimated GMAT score based on your performance

Practice
Pays

we will pick new questions that match your level based on your Timer History
Not interested in getting valuable practice questions and articles delivered to your email? No problem, unsubscribe here.
Close
Request Expert Reply
Confirm Cancel
User avatar
mikemcgarry
User avatar
Magoosh GMAT Instructor
Joined: 28 Dec 2011
Last visit: 06 Aug 2018
Posts: 4,479
Own Kudos:
30,536
 [45]
Given Kudos: 130
Expert
Expert reply
Posts: 4,479
Kudos: 30,536
 [45]
6
Kudos
Add Kudos
38
Bookmarks
Bookmark this Post
Most Helpful Reply
avatar
Baracuda123
Joined: 09 Jul 2012
Last visit: 08 Mar 2015
Posts: 49
Own Kudos:
30
 [9]
Given Kudos: 29
Posts: 49
Kudos: 30
 [9]
8
Kudos
Add Kudos
1
Bookmarks
Bookmark this Post
General Discussion
User avatar
Prakruti_Patil
Joined: 24 May 2023
Last visit: 12 Nov 2025
Posts: 111
Own Kudos:
Given Kudos: 364
Posts: 111
Kudos: 29
Kudos
Add Kudos
Bookmarks
Bookmark this Post
User avatar
Slim533k
Joined: 29 Oct 2021
Last visit: 19 Nov 2024
Posts: 2
Own Kudos:
2
 [1]
Given Kudos: 135
Location: India
Schools: IIM-A '24
Schools: IIM-A '24
Posts: 2
Kudos: 2
 [1]
Kudos
Add Kudos
1
Bookmarks
Bookmark this Post
Hi mikemcgarry there seems to be an error displaying question 2.­
Attachments

error.jpg
error.jpg [ 61.94 KiB | Viewed 6303 times ]

User avatar
JavRam
Joined: 02 Mar 2024
Last visit: 18 Jun 2025
Posts: 3
Own Kudos:
Given Kudos: 17
Posts: 3
Kudos: 2
Kudos
Add Kudos
Bookmarks
Bookmark this Post
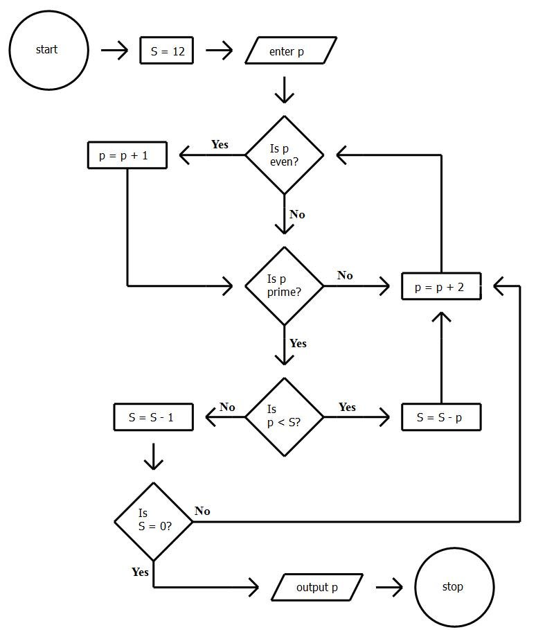
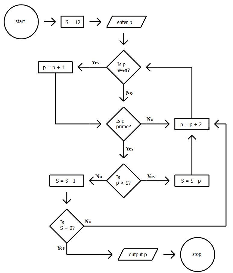
We start at S=12 and P=50:

Is 50 even? Yes --> 50 + 1 = 51
Is 51 prime? No --> 51+2= 53
Is 53 even? No
Is 53 prime? Yes --> p<S? No --> S = 11
Is S=0? No --> p+2=53+2=55
Is 55 even? No
Is 55 prime? No --> 55+2= 57
Is 57 even? No
Is 57 prime? No --> 57+2= 59
Is 59 prime? Yes --> p<S? No --> S = 10

At the time S=10, p=59 --> Therefore: Solution: 59­
User avatar
Kaifbinarshad
Joined: 14 Sep 2024
Last visit: 29 Apr 2025
Posts: 25
Own Kudos:
Given Kudos: 509
GMAT Focus 1: 595 Q75 V83 DI81
GMAT Focus 1: 595 Q75 V83 DI81
Posts: 25
Kudos: 10
Kudos
Add Kudos
Bookmarks
Bookmark this Post
This is some high level question,see the accuracy of people.
User avatar
bumpbot
User avatar
Non-Human User
Joined: 09 Sep 2013
Last visit: 04 Jan 2021
Posts: 38,586
Own Kudos:
Posts: 38,586
Kudos: 1,079
Kudos
Add Kudos
Bookmarks
Bookmark this Post
Hello from the GMAT Club BumpBot!

Thanks to another GMAT Club member, I have just discovered this valuable topic, yet it had no discussion for over a year. I am now bumping it up - doing my job. I think you may find it valuable (esp those replies with Kudos).

Want to see all other topics I dig out? Follow me (click follow button on profile). You will receive a summary of all topics I bump in your profile area as well as via email.
Moderators:
Math Expert
105389 posts
496 posts