Stiv
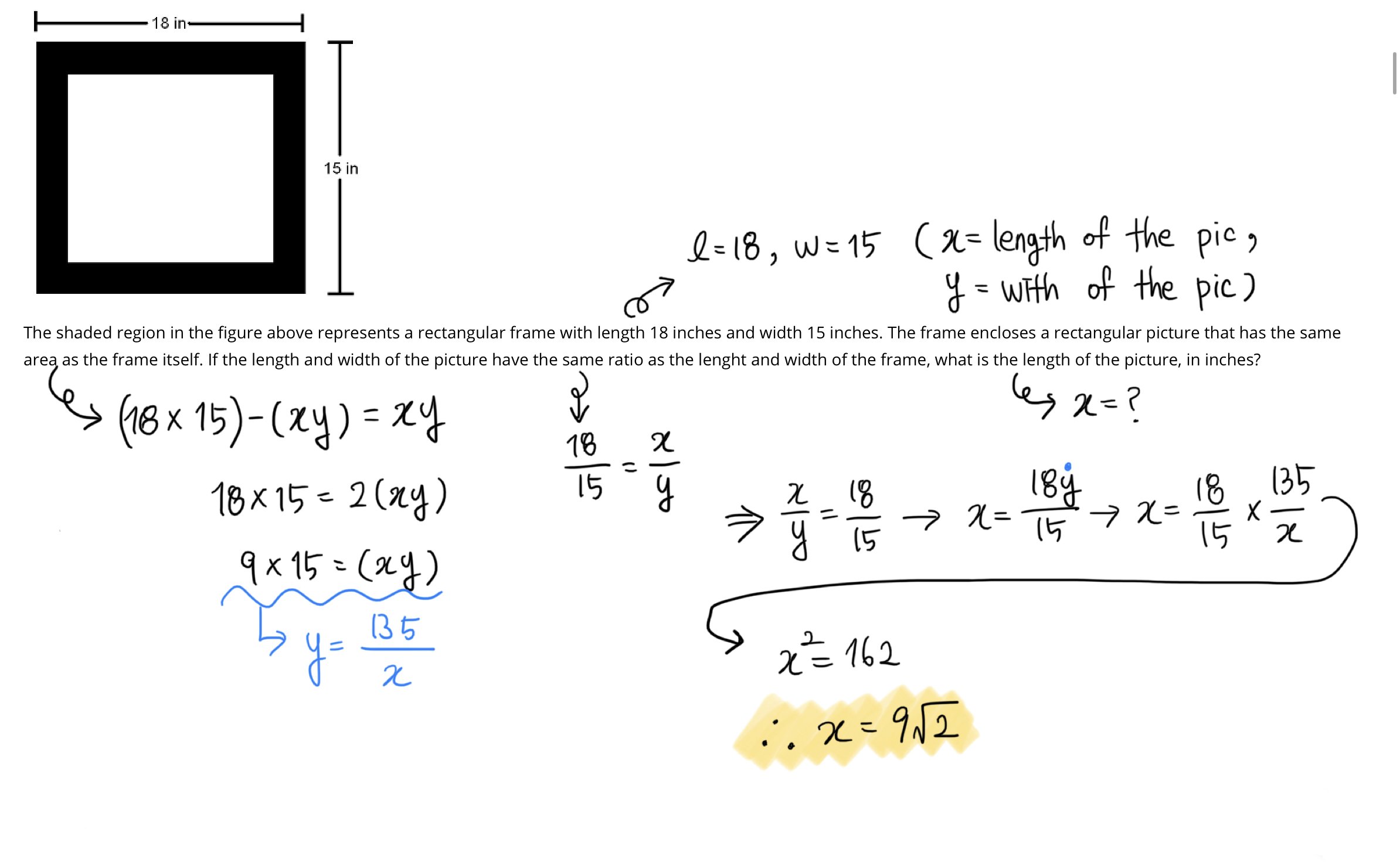
The shaded region in the figure above represents a rectangular frame with length 18 inches and width 15 inches. The frame encloses a rectangular picture that has the same area as the frame itself. If the length and width of the picture have the same ratio as the lenght and width of the frame, what is the length of the picture, in inches?
A. \(9\sqrt2\)
B. \(\frac {3}{2}\)
C. \(\frac {9}{\sqrt2}\)
D. \(15 ( 1 - \frac {1}{\sqrt2})\)
E. \(\frac {9}{2}\)
From the question stem ("...the length and width of the picture have the same ratio as the length and width of the frame") we know:
The frame+picture ("big" rectangle) and the picture ("small" rectangle) are two SIMILAR rectangles. (*)
(*) From above we have proportionality on the corresponding sides. The necessary additional condition - equality in the corresponding internal angles - is guaranteed: they are all 90 degrees!
Again from the question stem we know what the examiner defines as "length" and "width" (by the dimensions associated to these words), so that our FOCUS is:
\(? = x\,\,\,\,\left[ {{\text{inches}}} \right]\,\,\,\,\,\,\left( {{\text{See}}\,\,{\text{figure}}\,\,{\text{below}}} \right)\)
From "The frame encloses a rectangular picture that has the same area as the frame itself." we know that the "big" (rectangle) has TWICE the area of the "small" (rectangle).
To avoid using the second dimension of the picture, as it was done in previous (correct) solutions, let´s remember an important geometric property:
In any two similar polygons, the ratio of their areas is equal to the square of the ratio of similarity of the polygons! Therefore:
\(2 = \frac{{{S_{\,{\text{big}}}}}}{{{S_{\,{\text{small}}}}}} = {\left( {\frac{{18}}{x}} \right)^2}\,\,\,\,\mathop \Rightarrow \limits^{x\,\, > \,\,0} \,\,\,\,\,\sqrt 2 = \frac{{18}}{x}\,\,\,\,\,\,\, \Rightarrow \,\,\,\,\,x\sqrt 2 = 18\)
\(x\sqrt 2 = 18\,\,\,\,\,\, \Rightarrow \,\,\,\,\,x\sqrt 2 \cdot \sqrt 2 = 18\sqrt 2 \,\,\,\,\,\, \Rightarrow \,\,\,\,\,? = x = 9\sqrt 2\)
This solution follows the notations and rationale taught in the GMATH method.
Regards,
Fabio.
Attachments

20Set18_8h.gif [ 6.86 KiB | Viewed 77689 times ]