Last visit was: 14 May 2026, 05:57 It is currently 14 May 2026, 05:57
Close
GMAT Club Daily Prep
Thank you for using the timer - this advanced tool can estimate your performance and suggest more practice questions. We have subscribed you to Daily Prep Questions via email.

Customized
for You

we will pick new questions that match your level based on your Timer History

Track
Your Progress

every week, we’ll send you an estimated GMAT score based on your performance

Practice
Pays

we will pick new questions that match your level based on your Timer History
Not interested in getting valuable practice questions and articles delivered to your email? No problem, unsubscribe here.
Close
Request Expert Reply
Confirm Cancel
User avatar
rohitgoel15
Joined: 07 Nov 2009
Last visit: 29 Jan 2018
Posts: 184
Own Kudos:
3,267
 [220]
Given Kudos: 20
Schools: HEC '15 (A)
Posts: 184
Kudos: 3,267
 [220]
14
Kudos
Add Kudos
205
Bookmarks
Bookmark this Post
Most Helpful Reply
User avatar
Bunuel
User avatar
Math Expert
Joined: 02 Sep 2009
Last visit: 14 May 2026
Posts: 110,357
Own Kudos:
Given Kudos: 106,234
Products:
Expert
Expert reply
Active GMAT Club Expert! Tag them with @ followed by their username for a faster response.
Posts: 110,357
Kudos: 814,793
 [80]
23
Kudos
Add Kudos
57
Bookmarks
Bookmark this Post
User avatar
Bunuel
User avatar
Math Expert
Joined: 02 Sep 2009
Last visit: 14 May 2026
Posts: 110,357
Own Kudos:
Given Kudos: 106,234
Products:
Expert
Expert reply
Active GMAT Club Expert! Tag them with @ followed by their username for a faster response.
Posts: 110,357
Kudos: 814,793
 [16]
1
Kudos
Add Kudos
15
Bookmarks
Bookmark this Post
General Discussion
avatar
fozzzy
Joined: 29 Nov 2012
Last visit: 17 May 2015
Posts: 573
Own Kudos:
Given Kudos: 543
Posts: 573
Kudos: 7,029
Kudos
Add Kudos
Bookmarks
Bookmark this Post
Hi bunuel,

Just wanted to clarify in the alternative approach you mentioned "non-negative" so if the other side of the inequality has a negative number, the only way to proceed with the problem is by expansion?
User avatar
adkikani
User avatar
IIM School Moderator
Joined: 04 Sep 2016
Last visit: 24 Dec 2023
Posts: 1,223
Own Kudos:
Given Kudos: 1,207
Location: India
WE:Engineering (Other)
Posts: 1,223
Kudos: 1,359
Kudos
Add Kudos
Bookmarks
Bookmark this Post
Bunuel niks18 pushpitkc chetan2u KarishmaB amanvermagmat pikolo2510

I understood alternate approach by Bunuel since taking square root
of a squared variable and turning it in to absolute value came more naturally to me.

Where I faltered is doing this is less than 2 mins as per below steps:
|x-1| > 2
x-1 >2 or -x+1 > 2
x>3 or -x>1 ie x<-1

Similar painstaking calculations I had to do for St 2
User avatar
GMATBusters
User avatar
GMAT Tutor
Joined: 27 Oct 2017
Last visit: 08 May 2026
Posts: 1,922
Own Kudos:
6,886
 [11]
Given Kudos: 241
WE:General Management (Education)
Expert
Expert reply
Posts: 1,922
Kudos: 6,886
 [11]
7
Kudos
Add Kudos
4
Bookmarks
Bookmark this Post
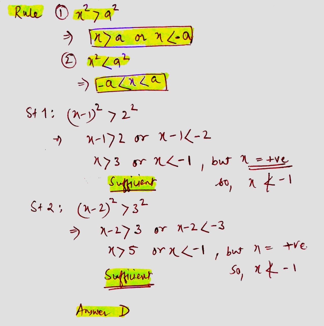
adkikani

remember a small rule and this question can be done in 30 seconds.

See my approach.
Attachment:
IMG-20180722-WA0005.jpg
IMG-20180722-WA0005.jpg [ 84.46 KiB | Viewed 80806 times ]


adkikani
Bunuel niks18 pushpitkc chetan2u KarishmaB amanvermagmat pikolo2510

I understood alternate approach by Bunuel since taking square root
of a squared variable and turning it in to absolute value came more naturally to me.

Where I faltered is doing this is less than 2 mins as per below steps:
|x-1| > 2
x-1 >2 or -x+1 > 2
x>3 or -x>1 ie x<-1

Similar painstaking calculations I had to do for St 2
User avatar
wali786
Joined: 04 Feb 2018
Last visit: 04 Dec 2022
Posts: 28
Own Kudos:
Given Kudos: 2
Posts: 28
Kudos: 9
Kudos
Add Kudos
Bookmarks
Bookmark this Post
f x is positive, is x > 3 ?

(1) (x - 1)^2 > 4 --> since both sides of the inequality are non-negative then we can take square root from both parts: |x−1|>2|x−1|>2. |x−1||x−1| is just the distance between 1 and xx on the number line. We are told that this distance is more than 2: --(-1)----1----3-- so, x<−1x<−1 or x>3x>3. Since given that xx is positive then only one range is valid: x>3x>3. Sufficient.

(2) (x - 2)^2 > 9 --> |x−2|>3|x−2|>3. The same here: |x−2||x−2| is just the distance between 2 and xx on the number line. We are told that this distance is more than 3: --(-1)----2----5-- so, x<−1x<−1 or x>5x>5 . Since given that xx is positive then only one range is valid: x>5x>5. Sufficient.

Answer: D.

So, in the second approach, the answer for second statement comes out x>5. Which means x cannot be 4. Right? This will make the second statement incorrect.
User avatar
GMATCoachBen
Joined: 21 Mar 2017
Last visit: 12 May 2026
Posts: 461
Own Kudos:
3,110
 [1]
Given Kudos: 215
Status:Professional GMAT Trainer
Affiliations: GMAT Coach
Location: United States (WA)
GMAT Focus 1: 775 Q87 V90 DI88 (Online)
GMAT 1: 760 Q50 V44
GMAT 2: 770 Q51 V44
GMAT 3: 770 Q50 V44
GMAT 4: 770 Q50 V45 (Online)
GMAT 5: 780 Q51 V48
Expert
Expert reply
GMAT Focus 1: 775 Q87 V90 DI88 (Online)
GMAT 5: 780 Q51 V48
Posts: 461
Kudos: 3,110
 [1]
Kudos
Add Kudos
1
Bookmarks
Bookmark this Post
wali786
If x is positive, is x > 3 ?

So, in the second approach, the answer for second statement comes out x>5. Which means x cannot be 4. Right? This will make the second statement incorrect.

It is unnecessary to ask yourself whether x can be 4. The question is YES/NO, "is x > 3?" If we know x > 5, the answer to the question is a definite YES --> Sufficient.


Side note: Read carefully! It's a good habit to be sure to write down, "x > 0" -- the most common error on these questions is rushing and ignoring "If x is positive". (The majority of the errors were E for this one)
avatar
hsn81960
Joined: 16 May 2018
Last visit: 15 Aug 2019
Posts: 60
Own Kudos:
Given Kudos: 45
Location: Hungary
Posts: 60
Kudos: 8
Kudos
Add Kudos
Bookmarks
Bookmark this Post
Hi,
I am confused
Dont we have to know the sign of x to answer this ?
in each cases, x can be negative and therefore the value will be <3 ?
x=3 works fine
But if x=-3, then answer is no
User avatar
GMATCoachBen
Joined: 21 Mar 2017
Last visit: 12 May 2026
Posts: 461
Own Kudos:
Given Kudos: 215
Status:Professional GMAT Trainer
Affiliations: GMAT Coach
Location: United States (WA)
GMAT Focus 1: 775 Q87 V90 DI88 (Online)
GMAT 1: 760 Q50 V44
GMAT 2: 770 Q51 V44
GMAT 3: 770 Q50 V44
GMAT 4: 770 Q50 V45 (Online)
GMAT 5: 780 Q51 V48
Expert
Expert reply
GMAT Focus 1: 775 Q87 V90 DI88 (Online)
GMAT 5: 780 Q51 V48
Posts: 461
Kudos: 3,110
Kudos
Add Kudos
Bookmarks
Bookmark this Post
hsn81960
Hi,
I am confused
Dont we have to know the sign of x to answer this ?
in each cases, x can be negative and therefore the value will be <3 ?
x=3 works fine
But if x=-3, then answer is no

The question says "If x is positive".
This is a very common oversight and cause of mistakes. Read carefully!
avatar
Kshah001
Joined: 08 Oct 2019
Last visit: 14 May 2022
Posts: 4
Own Kudos:
Given Kudos: 65
Posts: 4
Kudos: 6
Kudos
Add Kudos
Bookmarks
Bookmark this Post
Experts Please suggest if this method is correct. I solved it as below. Request Bunuel, Veritaskarishma to suggest.

Also I am confused - why am i getting different range for x. Please help


St1 (x-1)^2>4
x^2-2x+1>4
x^2-2x>3
x(x-2)>3
So x>3 or x-2>3
X>3 or x>5 Hence St 1 sufficient

St 2 (x-2)^2>9
x^2-4x+4>9
x^2-4x>5
x(x-4)>5
x>5 or x-4>5
x>5 or x>9

st 2 sufficient.

Ans Choice D
User avatar
GMATCoachBen
Joined: 21 Mar 2017
Last visit: 12 May 2026
Posts: 461
Own Kudos:
3,110
 [2]
Given Kudos: 215
Status:Professional GMAT Trainer
Affiliations: GMAT Coach
Location: United States (WA)
GMAT Focus 1: 775 Q87 V90 DI88 (Online)
GMAT 1: 760 Q50 V44
GMAT 2: 770 Q51 V44
GMAT 3: 770 Q50 V44
GMAT 4: 770 Q50 V45 (Online)
GMAT 5: 780 Q51 V48
Expert
Expert reply
GMAT Focus 1: 775 Q87 V90 DI88 (Online)
GMAT 5: 780 Q51 V48
Posts: 461
Kudos: 3,110
 [2]
1
Kudos
Add Kudos
1
Bookmarks
Bookmark this Post
Kshah001
Experts Please suggest if this method is correct. I solved it as below. Request Bunuel, Veritaskarishma to suggest.

Also I am confused - why am i getting different range for x. Please help


St1 (x-1)^2>4
x^2-2x+1>4
x^2-2x>3
x(x-2)>3
So x>3 or x-2>3
X>3 or x>5 Hence St 1 sufficient

St 2 (x-2)^2>9
x^2-4x+4>9
x^2-4x>5
x(x-4)>5
x>5 or x-4>5
x>5 or x>9

st 2 sufficient.

Ans Choice D
Your mistake is in this step:
"x(x-2)>3
So x>3 or x-2>3"

You are most likely confusing this with when it is equal to zero -- for example:
x(x-2) = 0 ---> in this case, x = 0 OR x-2 = 0. (One of the two things we are multiplying on the left must be zero, to get zero on the right)
Important ---> This does not apply if it's not equal to zero.


Instead, we want to take the square root of both sides:

(1) \((x - 1)^2\) > 4
|x-1| > 2 (Important: when we take the square root of a square, we get the absolute value. It's a common mistake to forget this. For this problem, it doesn't affect the answer, because the question says "if x is positive", and the negative values don't apply. Another common mistake is to miss the "If x is positive" -- read carefully!)

Case A: If x-1 is positive, then x-1 > 2 ---> x > 3
Case B: If x-1 is negative, then the absolute value flips the signs on the left: -x+1 > 2 ---> x < -1 ---> this doesn't apply, because the question says "If x is positive".
Therefore, our answer to the question, "is x>3?", is YES, and (1) is sufficient.

We do the same process for statement 2:
(2) \((x - 2)^2\) > 9
|x-2| > 3
x > 5
Again, the negative case doesn't apply here. (If x-2 is negative, then the absolute value flips the signs on the left: -x+2 > 3 ---> x < -1 ---> this doesn't apply, because the question says "If x is positive")
Therefore, our answer to the question, "is x>3?", is YES, and (2) is sufficient.

Answer is D
User avatar
QuantMadeEasy
Joined: 28 Feb 2014
Last visit: 01 Mar 2026
Posts: 502
Own Kudos:
805
 [1]
Given Kudos: 78
Location: India
Concentration: General Management, International Business
GPA: 3.97
WE:Engineering (Education)
Posts: 502
Kudos: 805
 [1]
1
Kudos
Add Kudos
Bookmarks
Bookmark this Post
rohitgoel15
If x is positive, is x > 3 ?

(1) (x - 1)^2 > 4
(2) (x - 2)^2 > 9

x is positive

(1) |x-1| >2
x>3. Sufficient

(2) |x-2|>3
x>5 Sufficient

D is correct.
User avatar
M838TE
Joined: 25 Jul 2020
Last visit: 30 Jul 2023
Posts: 44
Own Kudos:
Given Kudos: 15
Posts: 44
Kudos: 6
Kudos
Add Kudos
Bookmarks
Bookmark this Post
fozzzy
Hi bunuel,

Just wanted to clarify in the alternative approach you mentioned "non-negative" so if the other side of the inequality has a negative number, the only way to proceed with the problem is by expansion?

is the only way to deduce your comment on X must be to the *left of the smaller root and right of the greater root on the x domain* by graphical interpretation since its a parabola? at first I was only able to test out the numbers to show that the solution only lies in the above * section by plugging in numbers because the expansion illustrated the number you plug in must result in x ">"0.
User avatar
CrackverbalGMAT
User avatar
Major Poster
Joined: 03 Oct 2013
Last visit: 14 May 2026
Posts: 4,849
Own Kudos:
9,203
 [1]
Given Kudos: 227
Affiliations: CrackVerbal
Location: India
Expert
Expert reply
Posts: 4,849
Kudos: 9,203
 [1]
Kudos
Add Kudos
1
Bookmarks
Bookmark this Post
If x is positive, is \(x > 3 \)?

(1) \((x - 1)^2 > 4\)

\((x - 1)^2 - 2^2 > 0\)

\((x-1+2)(x-1-2) >0\)
\((x+1) (x-3)>0\)

The values of x that satisfies the quadratic inequality : \(x < -1\) or \(x > 3\)

Since x is positive , we can confirm that \(x > 3.\)

Statement 1 alone is sufficient.

(2) \((x - 2)^2 > 9\)

\((x - 2)^2 - 3^2 >0\)
\((x-2+3) (x-2-3) >0\)
\((x+1)(x-5)>0\)

The values of x that satisfies the quadratic inequality : \(x < -1 \) or \(x > 5 \)

Since x is positive , we can confirm that \(x > 5.\)

So is x > 3 ? Always YES

Statement 2 alone is sufficient.

Option D is the answer.

Thanks,
Clifin J Francis,
GMAT SME
User avatar
yoannnesme
Joined: 17 May 2018
Last visit: 25 Nov 2022
Posts: 65
Own Kudos:
Given Kudos: 26
Expert
Expert reply
Posts: 65
Kudos: 106
Kudos
Add Kudos
Bookmarks
Bookmark this Post
1) If (x-1)^2 must be greater than 4 it means that (x-1) must be either greater than 2 OR smaller than -2.
x-1>2 ==> x>3
x-1<-2 ==> x<-1
Because x must be positive then x must be greater than 3. Sufficient.

2) Same reasoning.
x-2>3 ==> x>5
x-2<-3 ==> x<-1
Because x must be positive then x must be greater than 3. Sufficient.

Answer D
avatar
GK002
Joined: 03 May 2021
Last visit: 27 Jun 2022
Posts: 29
Own Kudos:
14
 [1]
Given Kudos: 13
Location: Kuwait
Posts: 29
Kudos: 14
 [1]
1
Kudos
Add Kudos
Bookmarks
Bookmark this Post
CrackverbalGMAT
If x is positive, is \(x > 3 \)?

(1) \((x - 1)^2 > 4\)

\((x - 1)^2 - 2^2 > 0\)

\((x-1+2)(x-1-2) >0\)
\((x+1) (x-3)>0\)

The values of x that satisfies the quadratic inequality : \(x < -1\) or \(x > 3\)

Since x is positive , we can confirm that \(x > 3.\)

Statement 1 alone is sufficient.

(2) \((x - 2)^2 > 9\)

\((x - 2)^2 - 3^2 >0\)
\((x-2+3) (x-2-3) >0\)
\((x+1)(x-5)>0\)

The values of x that satisfies the quadratic inequality : \(x < -1 \) or \(x > 5 \)

Since x is positive , we can confirm that \(x > 5.\)

So is x > 3 ? Always YES

Statement 2 alone is sufficient.

Option D is the answer.

Thanks,
Clifin J Francis,
GMAT SME

Hello,

I'm confused as to how you went from

this:
\((x+1) (x-3)>0\)

to this:
The values of x that satisfies the quadratic inequality : \(x < -1\) or \(x > 3\)

Inequalities is definitely not my strong suit. My approach was basically involved me looking at (x-1)(x-1) > 4 and saying to myself, okay, x-1 must be greater than 2 to satisfy the inequality OR x-1 must be less than -2, which leads to X>3 or X<-1... but apparently from looking at these comments, this is not the way to do it.
avatar
Paris75003
Joined: 25 Mar 2021
Last visit: 08 Aug 2022
Posts: 5
Own Kudos:
Given Kudos: 126
Posts: 5
Kudos: 1
Kudos
Add Kudos
Bookmarks
Bookmark this Post
Hi Bunuel,

About your approach down below, it doesn't necessarily state that x is an integer, so by using this aproach you could argue that x can equal 2.1. In that case it's not sufficient to answer the question?


Another approach:

If x is positive, is x > 3 ?

(1) (x - 1)^2 > 4 --> since both sides of the inequality are non-negative then we can take square root from both parts: \(|x-1|>2\). \(|x-1|\) is just the distance between 1 and \(x\) on the number line. We are told that this distance is more than 2: --(-1)----1----3-- so, \(x<-1\) or \(x>3\). Since given that \(x\) is positive then only one range is valid: \(x>3\). Sufficient.

(2) (x - 2)^2 > 9 --> \(|x-2|>3\). The same here: \(|x-2|\) is just the distance between 2 and \(x\) on the number line. We are told that this distance is more than 3: --(-1)----2----5-- so, \(x<-1\) or \(x>5\). Since given that \(x\) is positive then only one range is valid: \(x>5\). Sufficient.

Answer: D.

Hope it helps.[/quote]
User avatar
achloes
Joined: 16 Oct 2020
Last visit: 19 May 2025
Posts: 243
Own Kudos:
Given Kudos: 2,374
GMAT 1: 460 Q28 V26
GMAT 2: 550 Q39 V27
GMAT 3: 610 Q39 V35
GMAT 4: 650 Q42 V38
GMAT 5: 720 Q48 V41
GMAT 5: 720 Q48 V41
Posts: 243
Kudos: 221
Kudos
Add Kudos
Bookmarks
Bookmark this Post
avigutman GMATCoachBen

I'm not sure if my way of solving this problem is correct but wanted to share it as it took less than 20 seconds (screenshot below). I'd love your input on whether such an approach makes sense for similar questions where the quadratic approach may be too time consuming.
Attachments

Screenshot 2022-11-06 at 1.00.22 PM.png
Screenshot 2022-11-06 at 1.00.22 PM.png [ 3.26 MiB | Viewed 20961 times ]

User avatar
GMATCoachBen
Joined: 21 Mar 2017
Last visit: 12 May 2026
Posts: 461
Own Kudos:
3,110
 [2]
Given Kudos: 215
Status:Professional GMAT Trainer
Affiliations: GMAT Coach
Location: United States (WA)
GMAT Focus 1: 775 Q87 V90 DI88 (Online)
GMAT 1: 760 Q50 V44
GMAT 2: 770 Q51 V44
GMAT 3: 770 Q50 V44
GMAT 4: 770 Q50 V45 (Online)
GMAT 5: 780 Q51 V48
Expert
Expert reply
GMAT Focus 1: 775 Q87 V90 DI88 (Online)
GMAT 5: 780 Q51 V48
Posts: 461
Kudos: 3,110
 [2]
1
Kudos
Add Kudos
1
Bookmarks
Bookmark this Post
achloes
avigutman GMATCoachBen

I'm not sure if my way of solving this problem is correct but wanted to share it as it took less than 20 seconds (screenshot below). I'd love your input on whether such an approach makes sense for similar questions where the quadratic approach may be too time consuming.

achloes The work you showed works ok for this problem, because it says "x is positive", so the negative case doesn't apply when you take the square root. When you took the square roots, you didn't write out the absolute value signs: |x-1| > 2 and |x-2| > 3

It's good that you are able to work quickly, but as a habit, be careful on that step to avoid the common trap of ignoring the absolute value.


Here's my full solution below, showing all the work of taking the square root on both sides:

(1) \((x−1)^2 > 4\)
|x-1| > 2 (Important: when we take the square root of a square, we get the absolute value. It's a common mistake to forget this. For this problem, it doesn't affect the answer, because the question says "if x is positive", and the negative values don't apply. Another common mistake is to miss the "If x is positive" — read carefully!)

Case A: If x-1 is positive, then x-1 > 2 ---> x > 3
Case B: If x-1 is negative, then the absolute value flips the signs on the left: -x+1 > 2 ---> x < -1 ---> this doesn't apply, because the question says "If x is positive".
Therefore, our answer to the question, "is x > 3?", is YES, and (1) is sufficient.

We do the same process for statement 2:
(2) \((x−2)^2 > 9\)
|x-2| > 3
x > 5
Again, the negative case doesn't apply here. (If x-2 is negative, then the absolute value flips the signs on the left: -x+2 > 3 ---> x < -1 ---> this doesn't apply, because the question says "If x is positive")
Therefore, our answer to the question, "is x > 3?", is YES, and (2) is sufficient.
 1   2   
Moderators:
Math Expert
110357 posts
498 posts
250 posts