Last visit was: 22 Apr 2026, 15:18 It is currently 22 Apr 2026, 15:18
Close
GMAT Club Daily Prep
Thank you for using the timer - this advanced tool can estimate your performance and suggest more practice questions. We have subscribed you to Daily Prep Questions via email.

Customized
for You

we will pick new questions that match your level based on your Timer History

Track
Your Progress

every week, we’ll send you an estimated GMAT score based on your performance

Practice
Pays

we will pick new questions that match your level based on your Timer History
Not interested in getting valuable practice questions and articles delivered to your email? No problem, unsubscribe here.
Close
Request Expert Reply
Confirm Cancel
User avatar
MathRevolution
User avatar
Math Revolution GMAT Instructor
Joined: 16 Aug 2015
Last visit: 27 Sep 2022
Posts: 10,063
Own Kudos:
20,000
 [56]
Given Kudos: 4
GMAT 1: 760 Q51 V42
GPA: 3.82
Expert
Expert reply
GMAT 1: 760 Q51 V42
Posts: 10,063
Kudos: 20,000
 [56]
4
Kudos
Add Kudos
52
Bookmarks
Bookmark this Post
Most Helpful Reply
User avatar
chetan2u
User avatar
GMAT Expert
Joined: 02 Aug 2009
Last visit: 22 Apr 2026
Posts: 11,229
Own Kudos:
44,994
 [18]
Given Kudos: 335
Status:Math and DI Expert
Location: India
Concentration: Human Resources, General Management
GMAT Focus 1: 735 Q90 V89 DI81
Products:
Expert
Expert reply
GMAT Focus 1: 735 Q90 V89 DI81
Posts: 11,229
Kudos: 44,994
 [18]
11
Kudos
Add Kudos
7
Bookmarks
Bookmark this Post
General Discussion
User avatar
MathRevolution
User avatar
Math Revolution GMAT Instructor
Joined: 16 Aug 2015
Last visit: 27 Sep 2022
Posts: 10,063
Own Kudos:
20,000
 [4]
Given Kudos: 4
GMAT 1: 760 Q51 V42
GPA: 3.82
Expert
Expert reply
GMAT 1: 760 Q51 V42
Posts: 10,063
Kudos: 20,000
 [4]
2
Kudos
Add Kudos
2
Bookmarks
Bookmark this Post
User avatar
chetan2u
User avatar
GMAT Expert
Joined: 02 Aug 2009
Last visit: 22 Apr 2026
Posts: 11,229
Own Kudos:
44,994
 [1]
Given Kudos: 335
Status:Math and DI Expert
Location: India
Concentration: Human Resources, General Management
GMAT Focus 1: 735 Q90 V89 DI81
Products:
Expert
Expert reply
GMAT Focus 1: 735 Q90 V89 DI81
Posts: 11,229
Kudos: 44,994
 [1]
Kudos
Add Kudos
1
Bookmarks
Bookmark this Post
mkrishnabdrr
What is the remainder when -100 is divided by -30?
A. -10
B. 0
C. 10
D. 15
E. 20


The main point here is that the remainder is always POSITIVE
So don't get trapped in -100=-30*3-10 and take -10 as remainder.
The remainder will be -100=-120+20=-30*4+20...
20..
E
User avatar
GMATBusters
User avatar
GMAT Tutor
Joined: 27 Oct 2017
Last visit: 21 Apr 2026
Posts: 1,921
Own Kudos:
Given Kudos: 241
WE:General Management (Education)
Expert
Expert reply
Posts: 1,921
Kudos: 6,855
Kudos
Add Kudos
Bookmarks
Bookmark this Post
Hiii
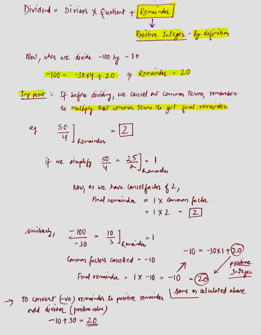
Whenever we cancel out common terms before dividing to find reminder, always remember to multiply that common factor to get the actual remainder.
Please see this.
Attachment:
IMG-20180806-WA0000_1533518866835.jpg
IMG-20180806-WA0000_1533518866835.jpg [ 73.05 KiB | Viewed 12357 times ]
avatar
LATIFA221B
Joined: 30 Aug 2019
Last visit: 12 Dec 2019
Posts: 6
Own Kudos:
Posts: 6
Kudos: 1
Kudos
Add Kudos
Bookmarks
Bookmark this Post
when we divide -100/-30, we got -10 and the reminder can not be negative so we add 30 to correct it the solution will be 20
User avatar
bumpbot
User avatar
Non-Human User
Joined: 09 Sep 2013
Last visit: 04 Jan 2021
Posts: 38,966
Own Kudos:
Posts: 38,966
Kudos: 1,117
Kudos
Add Kudos
Bookmarks
Bookmark this Post
Automated notice from GMAT Club BumpBot:

A member just gave Kudos to this thread, showing it’s still useful. I’ve bumped it to the top so more people can benefit. Feel free to add your own questions or solutions.

This post was generated automatically.
Moderators:
Math Expert
109754 posts
Tuck School Moderator
853 posts