Last visit was: 21 Apr 2026, 09:37 It is currently 21 Apr 2026, 09:37
Close
GMAT Club Daily Prep
Thank you for using the timer - this advanced tool can estimate your performance and suggest more practice questions. We have subscribed you to Daily Prep Questions via email.

Customized
for You

we will pick new questions that match your level based on your Timer History

Track
Your Progress

every week, we’ll send you an estimated GMAT score based on your performance

Practice
Pays

we will pick new questions that match your level based on your Timer History
Not interested in getting valuable practice questions and articles delivered to your email? No problem, unsubscribe here.
Close
Request Expert Reply
Confirm Cancel
505-555 (Easy)|   Roots|                           
User avatar
Bunuel
User avatar
Math Expert
Joined: 02 Sep 2009
Last visit: 21 Apr 2026
Posts: 109,729
Own Kudos:
Given Kudos: 105,798
Products:
Expert
Expert reply
Active GMAT Club Expert! Tag them with @ followed by their username for a faster response.
Posts: 109,729
Kudos: 810,416
 [94]
12
Kudos
Add Kudos
82
Bookmarks
Bookmark this Post
Most Helpful Reply
User avatar
Bunuel
User avatar
Math Expert
Joined: 02 Sep 2009
Last visit: 21 Apr 2026
Posts: 109,729
Own Kudos:
Given Kudos: 105,798
Products:
Expert
Expert reply
Active GMAT Club Expert! Tag them with @ followed by their username for a faster response.
Posts: 109,729
Kudos: 810,416
 [55]
19
Kudos
Add Kudos
36
Bookmarks
Bookmark this Post
19
Kudos
Add Kudos
8
Bookmarks
Bookmark this Post
General Discussion
avatar
bhavinshah5685
Joined: 25 Jun 2012
Last visit: 19 Jun 2017
Posts: 49
Own Kudos:
321
 [3]
Given Kudos: 21
Location: India
WE:General Management (Energy)
Posts: 49
Kudos: 321
 [3]
2
Kudos
Add Kudos
1
Bookmarks
Bookmark this Post
E it is...

= [(64/1000000)^1/3]^1/2
= [(4^3/10^6)^1/3]^1/2
= [ 4/10^2]^1/2
= 2/10
=0.2
User avatar
Bunuel
User avatar
Math Expert
Joined: 02 Sep 2009
Last visit: 21 Apr 2026
Posts: 109,729
Own Kudos:
Given Kudos: 105,798
Products:
Expert
Expert reply
Active GMAT Club Expert! Tag them with @ followed by their username for a faster response.
Posts: 109,729
Kudos: 810,416
Kudos
Add Kudos
Bookmarks
Bookmark this Post
Bumping for review and further discussion*. Get a kudos point for an alternative solution!

*New project from GMAT Club!!! Check HERE

Theory on roots problems: math-number-theory-88376.html

All DS roots problems to practice: search.php?search_id=tag&tag_id=49
All PS roots problems to practice: search.php?search_id=tag&tag_id=113

Tough and tricky exponents and roots questions (DS): tough-and-tricky-exponents-and-roots-questions-125967.html
Tough and tricky exponents and roots questions (PS): new-tough-and-tricky-exponents-and-roots-questions-125956.html
avatar
lchen
Joined: 09 Apr 2013
Last visit: 20 Apr 2019
Posts: 37
Own Kudos:
180
 [7]
Given Kudos: 2
Location: United States (DC)
Concentration: Strategy, Social Entrepreneurship
GMAT 1: 750 Q50 V41
GPA: 3.55
WE:General Management (Non-Profit and Government)
Products:
GMAT 1: 750 Q50 V41
Posts: 37
Kudos: 180
 [7]
4
Kudos
Add Kudos
3
Bookmarks
Bookmark this Post
Which of the following is the value of \(\sqrt{\sqrt[3]{0.000064}}\)

(A) 0.004
(B) 0.008
(C) 0.02
(D) 0.04
(E) 0.2

If you know how to do calculations as is, then it is:
\(\sqrt{\sqrt[3]{0.000064}} = \sqrt{0.04} = 0.2\)

or

If you know that \(\sqrt{\sqrt[3]{0.000064}} = \sqrt[6]{0.000064}\) and \(2^6 = 64\)
Then you can eliminate A, B, and D. Then just move decimals from C and E. C would be 12 decimal places which is WAY too much. 0.2 is 6 which is exactly what you want

Answer is E
User avatar
shivanigs
Joined: 27 Apr 2012
Last visit: 17 Aug 2016
Posts: 55
Own Kudos:
250
 [1]
Given Kudos: 21
Location: United States
GMAT Date: 06-11-2013
GPA: 3.5
WE:Marketing (Consumer Packaged Goods)
Posts: 55
Kudos: 250
 [1]
1
Kudos
Add Kudos
Bookmarks
Bookmark this Post
The above question can be re written as ((10^-6)^1/3)^1/2 * ((64^1/3)^1/2)

= (10^-6)^1/6 * (2^6)^1/6

= 10^1 * 2^1 = 0.2
User avatar
amjet12
Joined: 22 Jul 2013
Last visit: 22 Aug 2014
Posts: 14
Own Kudos:
Given Kudos: 5
Concentration: International Business, Marketing
GPA: 3.89
Posts: 14
Kudos: 4
Kudos
Add Kudos
Bookmarks
Bookmark this Post
Could I just clarify something with a solution to this problem? The explanation in the book was given as: 64 * 10^-6 under the square root and cubed signs (I can't figure out how to write them in). Then from there it goes down to square root of 4 * 10^-2 then 2 * 10^-1 which then equals to .2 which is the answer. I think I've figured out how they got from beginning to end by reading the Number Theory post mentioned at the top, but just need clarification. When you have a base to a fraction power like a^n/m that turns to into n root sign a^m correct? So in this case where you have cubed 10^-6 it would reverse to 10^-6/3 which can be reduced to 10^-2 right? I think that's how the book answer went about getting to .2 but would just like clarification. Also this strategy can be used with any large decimaled number that is under a root or cube sign right?

Thanks for your help!
User avatar
Bunuel
User avatar
Math Expert
Joined: 02 Sep 2009
Last visit: 21 Apr 2026
Posts: 109,729
Own Kudos:
Given Kudos: 105,798
Products:
Expert
Expert reply
Active GMAT Club Expert! Tag them with @ followed by their username for a faster response.
Posts: 109,729
Kudos: 810,416
Kudos
Add Kudos
Bookmarks
Bookmark this Post
amjet12
Could I just clarify something with a solution to this problem? The explanation in the book was given as: 64 * 10^-6 under the square root and cubed signs (I can't figure out how to write them in). Then from there it goes down to square root of 4 * 10^-2 then 2 * 10^-1 which then equals to .2 which is the answer. I think I've figured out how they got from beginning to end by reading the Number Theory post mentioned at the top, but just need clarification. When you have a base to a fraction power like a^n/m that turns to into n root sign a^m correct? So in this case where you have cubed 10^-6 it would reverse to 10^-6/3 which can be reduced to 10^-2 right? I think that's how the book answer went about getting to .2 but would just like clarification. Also this strategy can be used with any large decimaled number that is under a root or cube sign right?

Thanks for your help!

Yes, your reasoning is correct.
avatar
PareshGmat
Joined: 27 Dec 2012
Last visit: 10 Jul 2016
Posts: 1,531
Own Kudos:
8,270
 [4]
Given Kudos: 193
Status:The Best Or Nothing
Location: India
Concentration: General Management, Technology
WE:Information Technology (Computer Software)
Posts: 1,531
Kudos: 8,270
 [4]
2
Kudos
Add Kudos
2
Bookmarks
Bookmark this Post
Bunuel
Which of the following is the value of \(\sqrt{\sqrt[3]{0.000064}}\)

(A) 0.004
(B) 0.008
(C) 0.02
(D) 0.04
(E) 0.2

Practice Questions
Question: 9
Page: 153
Difficulty: 650

\(\sqrt{\sqrt[3]{0.000064}} = \sqrt[(2*3)]{\frac{64}{10^6}} = (\frac{2^6}{10^6})^{\frac{1}{6}} = \frac{2}{10} = 0.2\)

Answer = E
User avatar
JackSparr0w
Joined: 08 Feb 2014
Last visit: 23 Mar 2016
Posts: 168
Own Kudos:
116
 [1]
Given Kudos: 145
Location: United States
Concentration: Finance
GMAT 1: 650 Q39 V41
WE:Analyst (Commercial Banking)
1
Kudos
Add Kudos
Bookmarks
Bookmark this Post
cube root of 64 is 4. because we need the cube root of 0.000064, 4 needs to have (1/3) as many digits to the right of the decimal as 64, so 0.04.

Similarly, we need the square root of 0.04, so the square root of 4 is 2, but we need half the digits to the right of the decimal, so 0.2
User avatar
mcelroytutoring
Joined: 10 Jul 2015
Last visit: 19 Mar 2026
Posts: 1,206
Own Kudos:
2,675
 [1]
Given Kudos: 282
Status:Expert GMAT, GRE, and LSAT Tutor / Coach
Affiliations: Harvard University, A.B. with honors in Government, 2002
Location: United States (CO)
Age: 45 (10 years and counting on GMAT Club!)
GMAT 1: 770 Q47 V48
GMAT 2: 730 Q44 V47
GMAT 3: 750 Q50 V42
GMAT 4: 730 Q48 V42 (Online)
GRE 1: Q168 V169
GRE 2: Q170 V170
Expert
Expert reply
GMAT 4: 730 Q48 V42 (Online)
GRE 1: Q168 V169
GRE 2: Q170 V170
Posts: 1,206
Kudos: 2,675
 [1]
Kudos
Add Kudos
1
Bookmarks
Bookmark this Post
Attached is a visual that should help.
Attachments

Screen Shot 2016-04-11 at 4.29.25 PM.png
Screen Shot 2016-04-11 at 4.29.25 PM.png [ 148.45 KiB | Viewed 48071 times ]

User avatar
JeffTargetTestPrep
User avatar
Target Test Prep Representative
Joined: 04 Mar 2011
Last visit: 05 Jan 2024
Posts: 2,974
Own Kudos:
8,708
 [6]
Given Kudos: 1,646
Status:Head GMAT Instructor
Affiliations: Target Test Prep
Expert
Expert reply
Posts: 2,974
Kudos: 8,708
 [6]
4
Kudos
Add Kudos
2
Bookmarks
Bookmark this Post
Bunuel
Which of the following is the value of \(\sqrt{\sqrt[3]{0.000064}}\)

(A) 0.004
(B) 0.008
(C) 0.02
(D) 0.04
(E) 0.2


Solution:

Let's review the notation first. When an exponent is a fraction, that exponent indicates taking a root. So if we have, for example, 27^1/3, the 1/3 instructs us to take the cube root of 27, which is 3. Similarly, if the exponent were 1/2, such as in 25^1/2, the 1/2 instructs us to take the square root of 25, which is 5.

To solve this question, we can refer to two rules:

1) If a decimal with a finite number of decimal places is a perfect cube, its cube root will have exactly one-third of the number of decimal places. Thus, a perfect cube decimal must have a number of decimal places that is a multiple of 3.

2) If a decimal with a finite number of decimal places is a perfect square, its square root will have exactly half of the number of decimal places. Thus, a perfect square decimal must have an even number of decimal places.

Let's look first at (0.000064)^1/3. The 1/3 instructs us to take the cube root of 0.000064. By rule number 1, the cube root of 0.000064 = 0.04. We were able obtain this value because 0.000064 has 6 DECIMAL PLACES and because the cube root of 64 is 4.

The problem now looks like this: (0.04)^1/2. The ½ instructs us to find the square root of 0.04. By rule number 2, the square root of 0.04 = 0.2. We were able to obtain this value because 0.04 has 2 DECIMAL PLACES and the square root of 4 is 2.

Answer E.
avatar
OptimusPrepJanielle
Joined: 06 Nov 2014
Last visit: 08 Sep 2017
Posts: 1,777
Own Kudos:
Given Kudos: 23
Expert
Expert reply
Posts: 1,777
Kudos: 1,507
Kudos
Add Kudos
Bookmarks
Bookmark this Post
(3√0,000064)^(1/2) Or [(0.000064)^(1/3) ]^(1/2)

Start from the inner most value.

0.000064 = 64/1000000
(0.000064)^(1/3) = 4/100
{(0.000064)^(1/3) ]^(1/2) = (4/100)^(1/2) = 2/10

Correct Option: E
User avatar
zxcvbnmas
Joined: 06 Jun 2014
Last visit: 22 Oct 2016
Posts: 71
Own Kudos:
644
 [4]
Given Kudos: 109
Location: United States
Concentration: Finance, General Management
GMAT 1: 450 Q27 V21
GPA: 3.47
GMAT 1: 450 Q27 V21
Posts: 71
Kudos: 644
 [4]
2
Kudos
Add Kudos
2
Bookmarks
Bookmark this Post
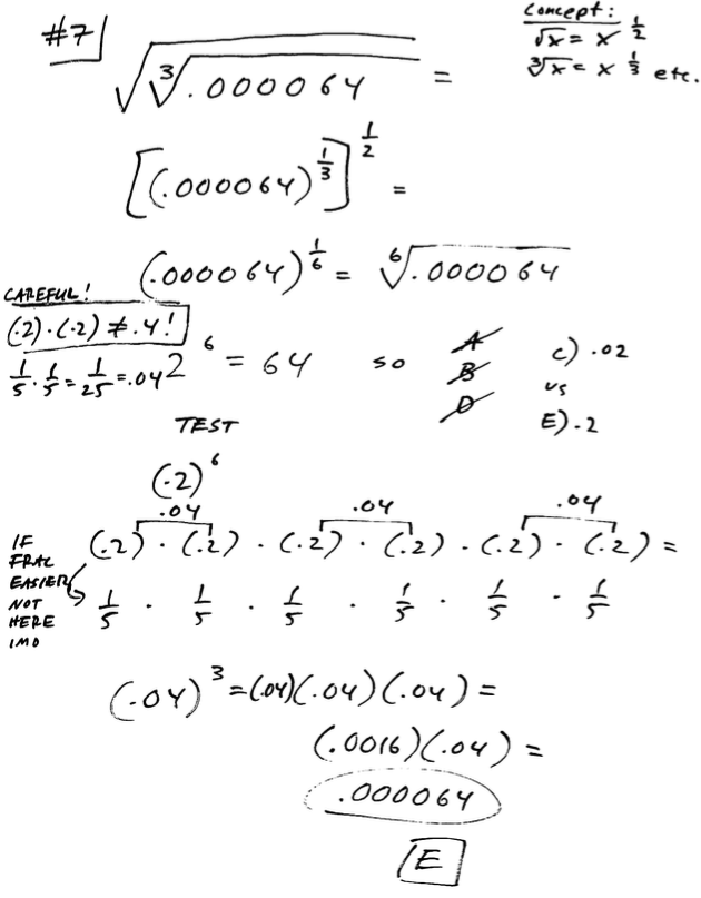
Here is another version..
Attachments

qustion.jpg
qustion.jpg [ 302.81 KiB | Viewed 40752 times ]

User avatar
ablatt4
Joined: 18 Dec 2024
Last visit: 24 Sep 2025
Posts: 88
Own Kudos:
Given Kudos: 89
Location: United States (FL)
Concentration: Finance
Posts: 88
Kudos: 3
Kudos
Add Kudos
Bookmarks
Bookmark this Post
(0.000064^1/2)^1/3 = 0.000064 ^1/6

= (64*10^-6)^1/6
=2*10^-1
=0.2
Bunuel
Which of the following is the value of \(\sqrt{\sqrt[3]{0.000064}}\)

(A) 0.004
(B) 0.008
(C) 0.02
(D) 0.04
(E) 0.2
User avatar
totaltestprepNick
Joined: 25 Aug 2014
Last visit: 20 Apr 2026
Posts: 469
Own Kudos:
Given Kudos: 2
GMAT 1: 750 Q49 V42
GMAT 1: 750 Q49 V42
Posts: 469
Kudos: 4
Kudos
Add Kudos
Bookmarks
Bookmark this Post
Bunuel
Which of the following is the value of \(\sqrt{\sqrt[3]{0.000064}}\)

(A) 0.004
(B) 0.008
(C) 0.02
(D) 0.04
(E) 0.2





Nick Slavkovich, GMAT/GRE tutor with 20+ years of experience

[email protected]
Moderators:
Math Expert
109729 posts
Tuck School Moderator
853 posts