Events & Promotions
| Last visit was: 23 May 2026, 02:21 |
It is currently 23 May 2026, 02:21 |
|
|
Customized
for You
Track
Your Progress
Practice
Pays
10:00 AM EDT
-11:59 PM EDT
11:00 AM EDT
-11:59 PM EDT
06:00 AM PDT
-06:15 PM PDT
Difficulty:
Question Stats:
83% (00:57) correct
17%
(01:05)
wrong
based on 6907
sessions
History

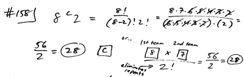
Screen Shot 2016-05-25 at 9.41.57 PM.png [ 75.15 KiB | Viewed 296670 times ]
Success stories and strategies from high-scoring candidates.