Last visit was: 18 Nov 2025, 19:50 It is currently 18 Nov 2025, 19:50
Close
GMAT Club Daily Prep
Thank you for using the timer - this advanced tool can estimate your performance and suggest more practice questions. We have subscribed you to Daily Prep Questions via email.

Customized
for You

we will pick new questions that match your level based on your Timer History

Track
Your Progress

every week, we’ll send you an estimated GMAT score based on your performance

Practice
Pays

we will pick new questions that match your level based on your Timer History
Not interested in getting valuable practice questions and articles delivered to your email? No problem, unsubscribe here.
Close
Request Expert Reply
Confirm Cancel
Sub 505 Level|   Algebra|                     
User avatar
Bunuel
User avatar
Math Expert
Joined: 02 Sep 2009
Last visit: 18 Nov 2025
Posts: 105,355
Own Kudos:
Given Kudos: 99,964
Products:
Expert
Expert reply
Active GMAT Club Expert! Tag them with @ followed by their username for a faster response.
Posts: 105,355
Kudos: 778,086
 [43]
4
Kudos
Add Kudos
39
Bookmarks
Bookmark this Post
Most Helpful Reply
User avatar
Bunuel
User avatar
Math Expert
Joined: 02 Sep 2009
Last visit: 18 Nov 2025
Posts: 105,355
Own Kudos:
Given Kudos: 99,964
Products:
Expert
Expert reply
Active GMAT Club Expert! Tag them with @ followed by their username for a faster response.
Posts: 105,355
Kudos: 778,086
 [30]
15
Kudos
Add Kudos
15
Bookmarks
Bookmark this Post
User avatar
dexerash
Joined: 12 Mar 2012
Last visit: 05 Sep 2019
Posts: 77
Own Kudos:
114
 [7]
Given Kudos: 17
Location: India
Concentration: Technology, General Management
GMAT Date: 07-23-2012
WE:Programming (Telecommunications)
Posts: 77
Kudos: 114
 [7]
7
Kudos
Add Kudos
Bookmarks
Bookmark this Post
General Discussion
avatar
Javoni
Joined: 31 Jul 2011
Last visit: 01 Jul 2013
Posts: 35
Own Kudos:
52
 [2]
Given Kudos: 4
Status:Life begins at the End of your Comfort Zone
Location: Tajikistan
Concentration: General Management, Technology
GPA: 3.86
Posts: 35
Kudos: 52
 [2]
2
Kudos
Add Kudos
Bookmarks
Bookmark this Post
Apparently (D), since after dividing by 2, we should get 5y^2=(x^2-4)/2
User avatar
fameatop
Joined: 24 Aug 2009
Last visit: 09 Jun 2017
Posts: 383
Own Kudos:
2,495
 [3]
Given Kudos: 275
Concentration: Finance
Schools:Harvard, Columbia, Stern, Booth, LSB,
Posts: 383
Kudos: 2,495
 [3]
3
Kudos
Add Kudos
Bookmarks
Bookmark this Post
Which of the following equations is NOT equivalent to 10y^2=(x+2)(x-2) ?
(A) 30y^2=3x^2-12
(B) 20y^2=(2x-4)(x+2)
(C) 10y^2+4=x^2
(D) 5y^2=x^2-2
(E) y^2=(x^2-4)/10

The original equation reduces to 10y^2 = x^2 -4
Option 1 - 3 times of equation
Option 2 - 2 times of equation
Option 3 - Same as original of equation
Option 4 - Answer (Skip this option & jump to option 5, which in turn is right. Thus using POE this will be the answer. To cross check one can solve it)
Option 5 - 1/10 times of equation
Answer D

Hope it helps
User avatar
mbaiseasy
Joined: 13 Aug 2012
Last visit: 29 Dec 2013
Posts: 322
Own Kudos:
2,049
 [6]
Given Kudos: 11
Concentration: Marketing, Finance
GPA: 3.23
Posts: 322
Kudos: 2,049
 [6]
5
Kudos
Add Kudos
1
Bookmarks
Bookmark this Post
\(10y^2=(x+2)(x-2)\) expands as \(10y^2=x^2-4\)

(A) \(30y^2=3x^2-12\)
Divide by 3 yields \(10y^2=x^2-4\)
Eliminate!


(B) \(20y^2=(2x-4)(x+2)\) expands as \(20y2=2x^2-8\)
Divide by 2 yields \(10y^2 = x^2-4\)
Eliminate!


(C) \(10y^2+4=x^2\)Exactly the orginal.
Eliminate!


(D) \(5y^2=x^2-2\)
Multiply by 2 expands as \(10y^2=2x^2-4\)
It's totally different!

(E) \(y^2=\frac{{x^2-4}}{{10}}\)
Multiply by 10 expands as \(10y^2=x^2-4\)
Eliminate!


Answer: D
avatar
runningguy
Joined: 09 Sep 2013
Last visit: 24 Feb 2014
Posts: 13
Own Kudos:
Given Kudos: 7
Posts: 13
Kudos: 11
Kudos
Add Kudos
Bookmarks
Bookmark this Post
Bunuel
SOLUTION

Which of the following equations is NOT equivalent to \(10y^2=(x+2)(x-2)\) ?

(A) 30y^2=3x^2-12
(B) 20y^2=(2x-4)(x+2)
(C) 10y^2+4=x^2
(D) 5y^2=x^2-2
(E) y^2=(x^2-4)/10

When \(x=2\), then \(10y^2=(2+2)(2-2)=0\) --> \(y=0\).

Now, plug \(x=2\) into the answer choices and look for the option which does not give \(y=0\). Only option D gives the value of \(y\) different from zero.

Answer: D.

Bunuel could we also use -2??

Thanks,
C
User avatar
Bunuel
User avatar
Math Expert
Joined: 02 Sep 2009
Last visit: 18 Nov 2025
Posts: 105,355
Own Kudos:
Given Kudos: 99,964
Products:
Expert
Expert reply
Active GMAT Club Expert! Tag them with @ followed by their username for a faster response.
Posts: 105,355
Kudos: 778,086
Kudos
Add Kudos
Bookmarks
Bookmark this Post
runningguy
Bunuel
SOLUTION

Which of the following equations is NOT equivalent to \(10y^2=(x+2)(x-2)\) ?

(A) 30y^2=3x^2-12
(B) 20y^2=(2x-4)(x+2)
(C) 10y^2+4=x^2
(D) 5y^2=x^2-2
(E) y^2=(x^2-4)/10

When \(x=2\), then \(10y^2=(2+2)(2-2)=0\) --> \(y=0\).

Now, plug \(x=2\) into the answer choices and look for the option which does not give \(y=0\). Only option D gives the value of \(y\) different from zero.

Answer: D.

Bunuel could we also use -2??

Thanks,
C

Yes we can. We can use the same exact logic.
avatar
PareshGmat
Joined: 27 Dec 2012
Last visit: 10 Jul 2016
Posts: 1,534
Own Kudos:
Given Kudos: 193
Status:The Best Or Nothing
Location: India
Concentration: General Management, Technology
WE:Information Technology (Computer Software)
Posts: 1,534
Kudos: 8,099
Kudos
Add Kudos
Bookmarks
Bookmark this Post
One good thing of this question is that \(y^2\) term is on LHS of the question as well as all 5 options given.

\(10y^2 = (x+2)(x-2)\)

For y = 0, x = 2 (Ignore -ve sign aspect)

Placing value of y = 0 in the OA

A: \(3x^2 - 12 = 0; x = 2\)

B: (2x-4)(x+2) = 0; x = 2

C: \(x^2 = 4; x = 2\)

D:\(x^2 - 2 = 0; x = \sqrt{2}\) >> Does not stand >> This is the answer

E: Same as option C

Answer = D
User avatar
aces021
Joined: 16 Feb 2015
Last visit: 12 Sep 2015
Posts: 9
Own Kudos:
Posts: 9
Kudos: 1
Kudos
Add Kudos
Bookmarks
Bookmark this Post
Bunuel
SOLUTION

Which of the following equations is NOT equivalent to \(10y^2=(x+2)(x-2)\) ?

(A) 30y^2=3x^2-12
(B) 20y^2=(2x-4)(x+2)
(C) 10y^2+4=x^2
(D) 5y^2=x^2-2
(E) y^2=(x^2-4)/10

When \(x=2\), then \(10y^2=(2+2)(2-2)=0\) --> \(y=0\).

Now, plug \(x=2\) into the answer choices and look for the option which does not give \(y=0\). Only option D gives the value of \(y\) different from zero.

Answer: D.

How do you actually solve using smart numbers? When I did it, all of my answers were y=0, x=2.

Let's pick x=2, when this is plugged into the equation we get y=0. So we're going to plug in 2 for all x's that we see, when y = 0 that is our answer.

a. 30y^2=3x^2-12
3(2)^2-12 = 0, therefore y=0 when x=2

b. 20y^2=(2x-4)(x+2)
(2(2)-4)(2+2) = 0, therefore y=0 when x=2

What am I doing wrong?
User avatar
ENGRTOMBA2018
Joined: 20 Mar 2014
Last visit: 01 Dec 2021
Posts: 2,325
Own Kudos:
Given Kudos: 816
Concentration: Finance, Strategy
GMAT 1: 750 Q49 V44
GPA: 3.7
WE:Engineering (Aerospace and Defense)
Products:
GMAT 1: 750 Q49 V44
Posts: 2,325
Kudos: 3,837
Kudos
Add Kudos
Bookmarks
Bookmark this Post
aces021
Bunuel
SOLUTION

Which of the following equations is NOT equivalent to \(10y^2=(x+2)(x-2)\) ?

(A) 30y^2=3x^2-12
(B) 20y^2=(2x-4)(x+2)
(C) 10y^2+4=x^2
(D) 5y^2=x^2-2
(E) y^2=(x^2-4)/10

When \(x=2\), then \(10y^2=(2+2)(2-2)=0\) --> \(y=0\).

Now, plug \(x=2\) into the answer choices and look for the option which does not give \(y=0\). Only option D gives the value of \(y\) different from zero.

Answer: D.

How do you actually solve using smart numbers? When I did it, all of my answers were y=0, x=2.

Let's pick x=2, when this is plugged into the equation we get y=0. So we're going to plug in 2 for all x's that we see, when y = 0 that is our answer.

a. 30y^2=3x^2-12
3(2)^2-12 = 0, therefore y=0 when x=2

b. 20y^2=(2x-4)(x+2)
(2(2)-4)(2+2) = 0, therefore y=0 when x=2

What am I doing wrong?

I think you are missing out on what the question is asking. It is asking to find the expression that will NOT give you the same value as \(10y^2=(x+2)(x-2)\)

When you do use, x=2, you get the following values of 'y'

A) 0
B) 0
C) 0
D) 2/5
E) 0

From the original expression you see that when you get y=0 for x=2 for options A-C and E.

Thus, with your 'smart numbers', D is the only expression that DOES NOT give you the same values on the left hand side as those on the right hand side. D is thus the correct answer.

FYI, using smart numbers is not the best strategy for this question. You need to realize that \((A+B)(A-B) = A^2-B^2\) and thus the original expression becomes \(10y^2 = x^2-4\)

D will not give you this expression and is thus the correct answer.
User avatar
aces021
Joined: 16 Feb 2015
Last visit: 12 Sep 2015
Posts: 9
Own Kudos:
1
 [1]
Posts: 9
Kudos: 1
 [1]
1
Kudos
Add Kudos
Bookmarks
Bookmark this Post
Engr2012
aces021
Bunuel
SOLUTION

Which of the following equations is NOT equivalent to \(10y^2=(x+2)(x-2)\) ?

(A) 30y^2=3x^2-12
(B) 20y^2=(2x-4)(x+2)
(C) 10y^2+4=x^2
(D) 5y^2=x^2-2
(E) y^2=(x^2-4)/10

When \(x=2\), then \(10y^2=(2+2)(2-2)=0\) --> \(y=0\).

Now, plug \(x=2\) into the answer choices and look for the option which does not give \(y=0\). Only option D gives the value of \(y\) different from zero.

Answer: D.

How do you actually solve using smart numbers? When I did it, all of my answers were y=0, x=2.

Let's pick x=2, when this is plugged into the equation we get y=0. So we're going to plug in 2 for all x's that we see, when y = 0 that is our answer.

a. 30y^2=3x^2-12
3(2)^2-12 = 0, therefore y=0 when x=2

b. 20y^2=(2x-4)(x+2)
(2(2)-4)(2+2) = 0, therefore y=0 when x=2

What am I doing wrong?

I think you are missing out on what the question is asking. It is asking to find the expression that will NOT give you the same value as \(10y^2=(x+2)(x-2)\)

When you do use, y = 0 and x=2, you get the following

A) 15 = 15
B) 10 = 10
C) 9=9
D) 2.5 \(\neq\) 7
E) 0.5 = 0.5

From the original expression you see that when you use y=0 and x=2, you get 0=0 (LHS=RHS).

Thus, with your 'smart numbers', D is the only expression that DOES NOT give you the same values on the left hand side as those on the right hand side. D is thus the correct answer.

FYI, using smart numbers is not the best strategy for this question. You need to realize that \((A+B)(A-B) = A^2-B^2\) and thus the original expression becomes \(10y^2 = x^2-4\)

D will not give you this expression and is thus the correct answer.


Thanks for the response, how are you actually getting for a. 15=15 using x=2, y=0?

30y^2=3x^2-12
30(0)^2 = 3(2)^2 - 12

What is the order of operations? Does the above equal to
0 = 0

Or does it equal to
30*1 = 36-12
30 = 24 ?

Either way I'm not getting 15=15. Thanks!
User avatar
ENGRTOMBA2018
Joined: 20 Mar 2014
Last visit: 01 Dec 2021
Posts: 2,325
Own Kudos:
Given Kudos: 816
Concentration: Finance, Strategy
GMAT 1: 750 Q49 V44
GPA: 3.7
WE:Engineering (Aerospace and Defense)
Products:
GMAT 1: 750 Q49 V44
Posts: 2,325
Kudos: 3,837
Kudos
Add Kudos
Bookmarks
Bookmark this Post
aces021


Thanks for the response, how are you actually getting for a. 15=15 using x=2, y=0?

30y^2=3x^2-12
30(0)^2 = 3(2)^2 - 12

What is the order of operations? Does the above equal to
0 = 0

Or does it equal to
30*1 = 36-12
30 = 24 ?

Either way I'm not getting 15=15. Thanks!

Sorry. I had solved this using some other set of values and wrote those values. I have updated the solution. Yes, you are correct that option A will give you y=0 for x=2. As a matter of fact, options A-C and E give y=0 when you use x=2. Option D does not and is thus the correct answer.
User avatar
mcelroytutoring
Joined: 10 Jul 2015
Last visit: 15 Nov 2025
Posts: 1,204
Own Kudos:
Given Kudos: 282
Status:Expert GMAT, GRE, and LSAT Tutor / Coach
Affiliations: Harvard University, A.B. with honors in Government, 2002
Location: United States (CO)
Age: 45 (10 years and counting on GMAT Club!)
GMAT 1: 770 Q47 V48
GMAT 2: 730 Q44 V47
GMAT 3: 750 Q50 V42
GMAT 4: 730 Q48 V42 (Online)
GRE 1: Q168 V169
GRE 2: Q170 V170
Expert
Expert reply
GMAT 4: 730 Q48 V42 (Online)
GRE 1: Q168 V169
GRE 2: Q170 V170
Posts: 1,204
Kudos: 2,643
Kudos
Add Kudos
Bookmarks
Bookmark this Post
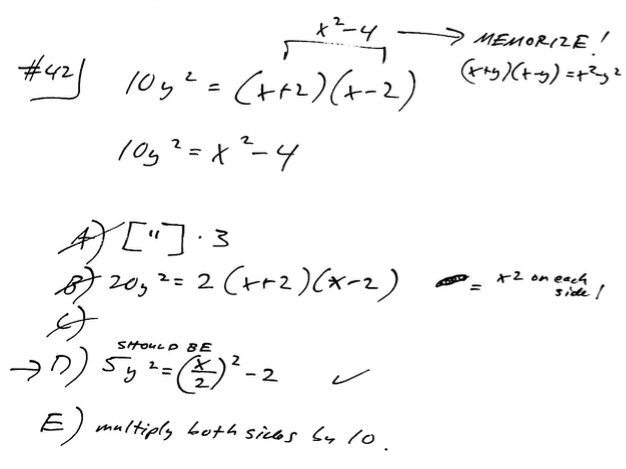
Attached is a visual that should help.
Attachments

Screen Shot 2016-05-10 at 5.50.11 PM.png
Screen Shot 2016-05-10 at 5.50.11 PM.png [ 76.13 KiB | Viewed 40054 times ]

User avatar
ScottTargetTestPrep
User avatar
Target Test Prep Representative
Joined: 14 Oct 2015
Last visit: 18 Nov 2025
Posts: 21,712
Own Kudos:
26,990
 [1]
Given Kudos: 300
Status:Founder & CEO
Affiliations: Target Test Prep
Location: United States (CA)
Expert
Expert reply
Active GMAT Club Expert! Tag them with @ followed by their username for a faster response.
Posts: 21,712
Kudos: 26,990
 [1]
1
Kudos
Add Kudos
Bookmarks
Bookmark this Post
Bunuel
Which of the following equations is NOT equivalent to \(10y^2=(x+2)(x-2)\) ?

(A) 30y^2=3x^2-12
(B) 20y^2=(2x-4)(x+2)
(C) 10y^2+4=x^2
(D) 5y^2=x^2-2
(E) y^2=(x^2-4)/10

To solve this question, we start by FOILing the right hand side of the given equation.

10y^2 = (x+2)(x-2)

10y^2 = x^2 – 4

We will manipulate each of the answer choices to see if it equals 10y^2 = x^2 – 4. Let’s start with A.

A) 30y^2 =3x^2 – 12

If we divide this entire equation by 3 we are left with:

10y^2 = x^2 – 4

Answer choice A is not correct.

B) 20y^2 = (2x-4)(x+2)

FOILing (2x-4)(x+2) we get:

20y^2 = 2x^2 – 8

If we divide this entire equation by 2 we obtain:

10y^2 = x^2 – 4

Answer choice B is not correct.

C) 10y^2 + 4 = x^2

If we subtract 4 from the both sides of the equation, we obtain:

10y^2 = x^2 – 4

Answer choice C is not correct.

D) 5y^2 = x^2 – 2

We should notice that no matter how we try to manipulate 5y^2 = x^2 – 2, it will never be equal to 10y^2 = x^2 – 4. For example, if we multiply both sides of 5y^2 = x^2 – 2 by 2, we will have 10y^2 = 2x^2 – 4. However, that is not the same as 10y^2 = x^2 – 4.

Answer D is correct.

To be certain, we should also test answer E.

E) y^2 = (x^2 – 4)/10

If we multiply the entire equation by 10 we obtain:

10y^2 = x^2 – 4

Answer choice E is not correct.

The answer is D.
User avatar
Kinshook
User avatar
Major Poster
Joined: 03 Jun 2019
Last visit: 18 Nov 2025
Posts: 5,793
Own Kudos:
Given Kudos: 161
Location: India
GMAT 1: 690 Q50 V34
WE:Engineering (Transportation)
Products:
GMAT 1: 690 Q50 V34
Posts: 5,793
Kudos: 5,509
Kudos
Add Kudos
Bookmarks
Bookmark this Post
Bunuel
Which of the following equations is NOT equivalent to \(10y^2=(x+2)(x-2)\) ?


(A) \(30y^2=3x^2-12\)
3*equation
(B) \(20y^2=(2x-4)(x+2)\)
2*equation
(C) \(10y^2+4=x^2\)
Equation
(D) \(5y^2=x^2-2\)
10y^2 = 2x^2-4
NOT THE EQUATION
(E) \(y^2=\frac{(x^2-4)}{10}\)
Equation/10

IMO D

Posted from my mobile device
User avatar
Rebaz
Joined: 14 Feb 2014
Last visit: 31 Oct 2025
Posts: 143
Own Kudos:
Given Kudos: 4,773
Posts: 143
Kudos: 35
Kudos
Add Kudos
Bookmarks
Bookmark this Post
Can someone please explain me where i go wrong with the process called FOIL (First, Outer, Inner, and Last)?

Here is how i do it according to Manhattan Gmat:

For example: (A+B)(A−B)=

First-------------(A*A)=A^2
Outer----------- (A*-B)= -AB
Inner------------(A*B)=+ AB
Last-------------(B*-B)=-B^2

Finally we get: A^2 - AB + AB -B^2= A^2 - B^2 (-AB and + AB cancel each other out in the addition process)

If i perform the exact same FOIL steps for the right side of choice B, 20y^2 = (2x-4)(x+2), then i get the following:

(2x-4)(x+2)=

First-------------(2x*x)=2X^2
Outer----------- (X*2)= 2X
Inner------------(2X*-4)=-8X
Last-------------(-4*2)=-8

Finally we get: 2X^2 + 2X - 8X - 8 = 2X^2 -6X - 8.

Where do i go wrong here?

I see that when other folks apply the FOIL process to the right side of option B, they get: 2x^2 – 8, which is different from my solution for the right side of option B.

This is how other folks have done it.

B) 20y^2 = (2x-4)(x+2)

FOILing (2x-4)(x+2) we get:

20y^2 = 2x^2 – 8



Please help!!!

Thanks in advanced!
User avatar
zaidi1212
Joined: 18 Dec 2021
Last visit: 17 Nov 2025
Posts: 16
Own Kudos:
Given Kudos: 189
Location: Germany
Concentration: Economics, Entrepreneurship
Schools: Booth '25
GPA: 3.25
Schools: Booth '25
Posts: 16
Kudos: 2
Kudos
Add Kudos
Bookmarks
Bookmark this Post
Question: Which of the following is not equal to 10y2 = x2 -4

Clearly it is D because:
(D) 5y2=x2−2
-> 10y2 = 2x2 - 4 which can't be equal to 10y2 = x2 -4
User avatar
bumpbot
User avatar
Non-Human User
Joined: 09 Sep 2013
Last visit: 04 Jan 2021
Posts: 38,589
Own Kudos:
Posts: 38,589
Kudos: 1,079
Kudos
Add Kudos
Bookmarks
Bookmark this Post
Hello from the GMAT Club BumpBot!

Thanks to another GMAT Club member, I have just discovered this valuable topic, yet it had no discussion for over a year. I am now bumping it up - doing my job. I think you may find it valuable (esp those replies with Kudos).

Want to see all other topics I dig out? Follow me (click follow button on profile). You will receive a summary of all topics I bump in your profile area as well as via email.
Moderators:
Math Expert
105355 posts
Tuck School Moderator
805 posts