Last visit was: 23 Apr 2026, 22:40 It is currently 23 Apr 2026, 22:40
Close
GMAT Club Daily Prep
Thank you for using the timer - this advanced tool can estimate your performance and suggest more practice questions. We have subscribed you to Daily Prep Questions via email.

Customized
for You

we will pick new questions that match your level based on your Timer History

Track
Your Progress

every week, we’ll send you an estimated GMAT score based on your performance

Practice
Pays

we will pick new questions that match your level based on your Timer History
Not interested in getting valuable practice questions and articles delivered to your email? No problem, unsubscribe here.
Close
Request Expert Reply
Confirm Cancel
Sub 505 (Easy)|   Algebra|                     
User avatar
Bunuel
User avatar
Math Expert
Joined: 02 Sep 2009
Last visit: 23 Apr 2026
Posts: 109,802
Own Kudos:
810,890
 [9]
Given Kudos: 105,868
Products:
Expert
Expert reply
Active GMAT Club Expert! Tag them with @ followed by their username for a faster response.
Posts: 109,802
Kudos: 810,890
 [9]
Kudos
Add Kudos
9
Bookmarks
Bookmark this Post
Most Helpful Reply
User avatar
Bunuel
User avatar
Math Expert
Joined: 02 Sep 2009
Last visit: 23 Apr 2026
Posts: 109,802
Own Kudos:
810,890
 [6]
Given Kudos: 105,868
Products:
Expert
Expert reply
Active GMAT Club Expert! Tag them with @ followed by their username for a faster response.
Posts: 109,802
Kudos: 810,890
 [6]
5
Kudos
Add Kudos
1
Bookmarks
Bookmark this Post
General Discussion
avatar
bhavinshah5685
Joined: 25 Jun 2012
Last visit: 19 Jun 2017
Posts: 49
Own Kudos:
321
 [1]
Given Kudos: 21
Location: India
WE:General Management (Energy)
Posts: 49
Kudos: 321
 [1]
1
Kudos
Add Kudos
Bookmarks
Bookmark this Post
User avatar
fameatop
Joined: 24 Aug 2009
Last visit: 09 Jun 2017
Posts: 382
Own Kudos:
2,550
 [1]
Given Kudos: 275
Concentration: Finance
Schools:Harvard, Columbia, Stern, Booth, LSB,
Posts: 382
Kudos: 2,550
 [1]
1
Kudos
Add Kudos
Bookmarks
Bookmark this Post
Bunuel
The Official Guide for GMAT® Review, 13th Edition - Quantitative Questions Project

If \(\frac{1.5}{0.2+x}=5\), then \(x=\)

(A) -3.7
(B) 0.1
(C) 0.3
(D) 0.5
(E) 2.8

Practice Questions
Question: 42
Page: 157
Difficulty: 550

GMAT Club is introducing a new project: The Official Guide for GMAT® Review, 13th Edition - Quantitative Questions Project

Each week we'll be posting several questions from The Official Guide for GMAT® Review, 13th Edition and then after couple of days we'll provide Official Answer (OA) to them along with a slution.

We'll be glad if you participate in development of this project:
1. Please provide your solutions to the questions;
2. Please vote for the best solutions by pressing Kudos button;
3. Please vote for the questions themselves by pressing Kudos button;
4. Please share your views on difficulty level of the questions, so that we have most precise evaluation.

Thank you!
Solving the equation we get,
.3 = .2 + x
x = .1

Answer B
User avatar
EvaJager
Joined: 22 Mar 2011
Last visit: 31 Aug 2016
Posts: 513
Own Kudos:
2,370
 [2]
Given Kudos: 43
WE:Science (Education)
Posts: 513
Kudos: 2,370
 [2]
2
Kudos
Add Kudos
Bookmarks
Bookmark this Post
Bunuel
The Official Guide for GMAT® Review, 13th Edition - Quantitative Questions Project

If \(\frac{1.5}{0.2+x}=5\), then \(x=\)

(A) -3.7
(B) 0.1
(C) 0.3
(D) 0.5
(E) 2.8

Practice Questions
Question: 42
Page: 157
Difficulty: 550

GMAT Club is introducing a new project: The Official Guide for GMAT® Review, 13th Edition - Quantitative Questions Project

Each week we'll be posting several questions from The Official Guide for GMAT® Review, 13th Edition and then after couple of days we'll provide Official Answer (OA) to them along with a slution.

We'll be glad if you participate in development of this project:
1. Please provide your solutions to the questions;
2. Please vote for the best solutions by pressing Kudos button;
3. Please vote for the questions themselves by pressing Kudos button;
4. Please share your views on difficulty level of the questions, so that we have most precise evaluation.

Thank you!

When we divide a number \(D,\) the dividend, by another number \(d,\) the divisor, we obtain the quotient \(Q.\) Obviously, the dividend is the product of the quotient and the divisor: \(D=dQ.\)

In our case, \(1.5=5(0.2+x)\) or \(1.5=1+5x,\) from which \(5x=0.5\), and finally, \(x=0.5/5=0.1.\)

Answer B.
User avatar
dexerash
Joined: 12 Mar 2012
Last visit: 05 Sep 2019
Posts: 76
Own Kudos:
116
 [4]
Given Kudos: 17
Location: India
Concentration: Technology, General Management
GMAT Date: 07-23-2012
WE:Programming (Telecommunications)
Posts: 76
Kudos: 116
 [4]
4
Kudos
Add Kudos
Bookmarks
Bookmark this Post
Bunuel

If \(\frac{1.5}{0.2+x}=5\), then \(x=\)

(A) -3.7
(B) 0.1
(C) 0.3
(D) 0.5
(E) 2.8


Cross-multiplying both sides:
1.5 = 5(.2 + x)
=> 1.5 = 1 + 5x
=> 0.5 = 5x
=> x = .5/5
=> x = 0.1

B
User avatar
Bunuel
User avatar
Math Expert
Joined: 02 Sep 2009
Last visit: 23 Apr 2026
Posts: 109,802
Own Kudos:
Given Kudos: 105,868
Products:
Expert
Expert reply
Active GMAT Club Expert! Tag them with @ followed by their username for a faster response.
Posts: 109,802
Kudos: 810,890
Kudos
Add Kudos
Bookmarks
Bookmark this Post
SOLUTION

If \(\frac{1.5}{0.2+x}=5\), then \(x=\)

(A) -3.7
(B) 0.1
(C) 0.3
(D) 0.5
(E) 2.8

The denominator must be equal to 0.3 in order the equation to hold true, thus \(0.2+x=0.3\) --> \(x=0.1\).

Answer: B.

Kudos points given to everyone with correct solution. Let me know if I missed someone.
User avatar
mbaiseasy
Joined: 13 Aug 2012
Last visit: 29 Dec 2013
Posts: 316
Own Kudos:
Given Kudos: 11
Concentration: Marketing, Finance
GPA: 3.23
Posts: 316
Kudos: 2,095
Kudos
Add Kudos
Bookmarks
Bookmark this Post
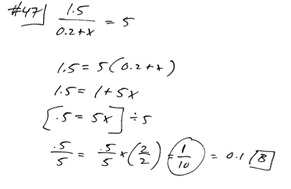
\(\frac{1.5}{0.2+x}=5\)
\(1.5=5(0.2+x)\)
\(1.5=1 + 5x\)
\(1.5-1=5x\)
\(0.5=5x\)
\(x=0.1\)

Answer: B
avatar
PareshGmat
Joined: 27 Dec 2012
Last visit: 10 Jul 2016
Posts: 1,531
Own Kudos:
Given Kudos: 193
Status:The Best Or Nothing
Location: India
Concentration: General Management, Technology
WE:Information Technology (Computer Software)
Posts: 1,531
Kudos: 8,272
Kudos
Add Kudos
Bookmarks
Bookmark this Post
\(\frac{1.5}{0.2 + x} = 5\)

\(\frac{1.5}{5} = 0.2+x\)

\(x = 0.3-0.2 = 0.1\)

Answer = B
User avatar
mcelroytutoring
Joined: 10 Jul 2015
Last visit: 19 Mar 2026
Posts: 1,206
Own Kudos:
Given Kudos: 282
Status:Expert GMAT, GRE, and LSAT Tutor / Coach
Affiliations: Harvard University, A.B. with honors in Government, 2002
Location: United States (CO)
Age: 45 (10 years and counting on GMAT Club!)
GMAT 1: 770 Q47 V48
GMAT 2: 730 Q44 V47
GMAT 3: 750 Q50 V42
GMAT 4: 730 Q48 V42 (Online)
GRE 1: Q168 V169
GRE 2: Q170 V170
Expert
Expert reply
GMAT 4: 730 Q48 V42 (Online)
GRE 1: Q168 V169
GRE 2: Q170 V170
Posts: 1,206
Kudos: 2,675
Kudos
Add Kudos
Bookmarks
Bookmark this Post
Attached is a visual that should help.
Attachments

Screen Shot 2016-05-10 at 5.49.34 PM.png
Screen Shot 2016-05-10 at 5.49.34 PM.png [ 50.93 KiB | Viewed 23838 times ]

User avatar
ScottTargetTestPrep
User avatar
Target Test Prep Representative
Joined: 14 Oct 2015
Last visit: 23 Apr 2026
Posts: 22,283
Own Kudos:
Given Kudos: 302
Status:Founder & CEO
Affiliations: Target Test Prep
Location: United States (CA)
Expert
Expert reply
Active GMAT Club Expert! Tag them with @ followed by their username for a faster response.
Posts: 22,283
Kudos: 26,531
Kudos
Add Kudos
Bookmarks
Bookmark this Post
Bunuel
If \(\frac{1.5}{0.2+x}=5\), then \(x=\)

(A) -3.7
(B) 0.1
(C) 0.3
(D) 0.5
(E) 2.8


Solution:

We are given the following equation:

1.5/(0.2+x) = 5

We begin by multiplying both sides of the equation by (0.2 + x), and we obtain:

1.5 = 5(0.2 + x)

1.5 = 1 + 5x

0.5 = 5x

0.5/5 = x

0.1 = x

The answer is B.
User avatar
diegocml
Joined: 22 Apr 2016
Last visit: 22 Jun 2018
Posts: 122
Own Kudos:
Given Kudos: 392
Status:On a 600-long battle
Location: Hungary
Concentration: Accounting, Leadership
Schools: Erasmus '19
GMAT 1: 410 Q18 V27
GMAT 2: 490 Q35 V23
Schools: Erasmus '19
GMAT 2: 490 Q35 V23
Posts: 122
Kudos: 130
Kudos
Add Kudos
Bookmarks
Bookmark this Post
\(\frac { 1.5 }{ 0.2+x } =5,\quad x=?\\ 1.5=5(0.2+x)\\ 1.5=1+5x\\ 1.5-1=5x\\ 0.5=5x\\ x=\frac { 0.5 }{ 5 } \\ x=0.1\)
OA
avatar
anshul1989
Joined: 15 Oct 2016
Last visit: 26 Feb 2019
Posts: 7
Own Kudos:
Given Kudos: 44
Posts: 7
Kudos: 6
Kudos
Add Kudos
Bookmarks
Bookmark this Post
1.5/0.2+x =5 => cross mutiply => 1.5 = 1.0+5x =>0.5/5 = x => 0.1
User avatar
Kinshook
User avatar
Major Poster
Joined: 03 Jun 2019
Last visit: 23 Apr 2026
Posts: 5,987
Own Kudos:
Given Kudos: 163
Location: India
GMAT 1: 690 Q50 V34
WE:Engineering (Transportation)
Products:
GMAT 1: 690 Q50 V34
Posts: 5,987
Kudos: 5,858
Kudos
Add Kudos
Bookmarks
Bookmark this Post
Bunuel
If \(\frac{1.5}{0.2+x}=5\), then \(x=\)

(A) -3.7
(B) 0.1
(C) 0.3
(D) 0.5
(E) 2.8

Practice Questions
Question: 42
Page: 157
Difficulty: 550

1.5/.3=5
.2+x=.3
x=.1

IMO B

Posted from my mobile device
User avatar
LeenaSai
Joined: 31 Mar 2019
Last visit: 11 Nov 2021
Posts: 87
Own Kudos:
Given Kudos: 105
Posts: 87
Kudos: 102
Kudos
Add Kudos
Bookmarks
Bookmark this Post
Solve the equation and get the answer , it’s a straight forward question .

One can even go for plugging in the answer choice and check .
Correct answer is 0.1 , (B)

Posted from my mobile device
User avatar
rxb266
Joined: 30 Nov 2018
Last visit: 27 Jun 2024
Posts: 138
Own Kudos:
Given Kudos: 79
Location: India
Concentration: Strategy, Marketing
GPA: 4
Kudos
Add Kudos
Bookmarks
Bookmark this Post
-> 1.5 = 5 (0.2 + x)
-> 0.3 = 0.2 + x
-> 0.1 = x

OA Option B

Posted from my mobile device
User avatar
Abhishek009
User avatar
Board of Directors
Joined: 11 Jun 2011
Last visit: 17 Dec 2025
Posts: 5,903
Own Kudos:
5,452
 [1]
Given Kudos: 463
Status:QA & VA Forum Moderator
Location: India
GPA: 3.5
WE:Business Development (Commercial Banking)
Posts: 5,903
Kudos: 5,452
 [1]
Kudos
Add Kudos
1
Bookmarks
Bookmark this Post
Bunuel
If \(\frac{1.5}{0.2+x}=5\), then \(x=\)

(A) -3.7
(B) 0.1
(C) 0.3
(D) 0.5
(E) 2.8

Practice Questions
Question: 42
Page: 157
Difficulty: 550
\(\frac{1.5}{0.2+x}=5\)

Or, \(\frac{0.30}{0.20+x}=1\)

Or, \(0.30=0.20+x\)

Or, \(x = 0.10\), Answer is clearly (B)
User avatar
totaltestprepNick
Joined: 25 Aug 2014
Last visit: 23 Apr 2026
Posts: 469
Own Kudos:
Given Kudos: 2
GMAT 1: 750 Q49 V42
GMAT 1: 750 Q49 V42
Posts: 469
Kudos: 4
Kudos
Add Kudos
Bookmarks
Bookmark this Post
Bunuel
If \(\frac{1.5}{0.2+x}=5\), then \(x=\)

(A) -3.7
(B) 0.1
(C) 0.3
(D) 0.5
(E) 2.8





Nick Slavkovich, GMAT/GRE tutor with 20+ years of experience

[email protected]
Moderators:
Math Expert
109802 posts
Tuck School Moderator
853 posts