Last visit was: 24 Apr 2026, 03:11 It is currently 24 Apr 2026, 03:11
Close
GMAT Club Daily Prep
Thank you for using the timer - this advanced tool can estimate your performance and suggest more practice questions. We have subscribed you to Daily Prep Questions via email.

Customized
for You

we will pick new questions that match your level based on your Timer History

Track
Your Progress

every week, we’ll send you an estimated GMAT score based on your performance

Practice
Pays

we will pick new questions that match your level based on your Timer History
Not interested in getting valuable practice questions and articles delivered to your email? No problem, unsubscribe here.
Close
Request Expert Reply
Confirm Cancel
User avatar
Bunuel
User avatar
Math Expert
Joined: 02 Sep 2009
Last visit: 24 Apr 2026
Posts: 109,804
Own Kudos:
810,927
 [2]
Given Kudos: 105,868
Products:
Expert
Expert reply
Active GMAT Club Expert! Tag them with @ followed by their username for a faster response.
Posts: 109,804
Kudos: 810,927
 [2]
Kudos
Add Kudos
2
Bookmarks
Bookmark this Post
User avatar
sood1596
Joined: 15 Apr 2020
Last visit: 17 Jul 2024
Posts: 209
Own Kudos:
173
 [1]
Given Kudos: 96
Location: United Arab Emirates
Concentration: General Management, Strategy
WE:Analyst (Consulting)
Products:
Posts: 209
Kudos: 173
 [1]
1
Kudos
Add Kudos
Bookmarks
Bookmark this Post
User avatar
Shubhradeep
Joined: 11 Jan 2024
Last visit: 07 Feb 2026
Posts: 120
Own Kudos:
247
 [1]
Given Kudos: 108
Location: India
Posts: 120
Kudos: 247
 [1]
1
Kudos
Add Kudos
Bookmarks
Bookmark this Post
User avatar
PranavVyas
Joined: 13 Aug 2020
Last visit: 19 Apr 2026
Posts: 97
Own Kudos:
107
 [1]
Given Kudos: 94
Concentration: Marketing, Operations
GMAT 1: 540 Q15 V29
WE:Operations (Manufacturing)
GMAT 1: 540 Q15 V29
Posts: 97
Kudos: 107
 [1]
1
Kudos
Add Kudos
Bookmarks
Bookmark this Post
x=7k+3 for integer k.
Find (7k+3)^3 divided by 7
(7k+3)^3 ,after expanding the only number 27 is not divisible by 7 , remainder will 6

IMO-E
User avatar
VivekSri
Joined: 01 May 2022
Last visit: 05 Feb 2026
Posts: 468
Own Kudos:
770
 [3]
Given Kudos: 117
Location: India
WE:Engineering (Consulting)
Posts: 468
Kudos: 770
 [3]
2
Kudos
Add Kudos
1
Bookmarks
Bookmark this Post
Bunuel
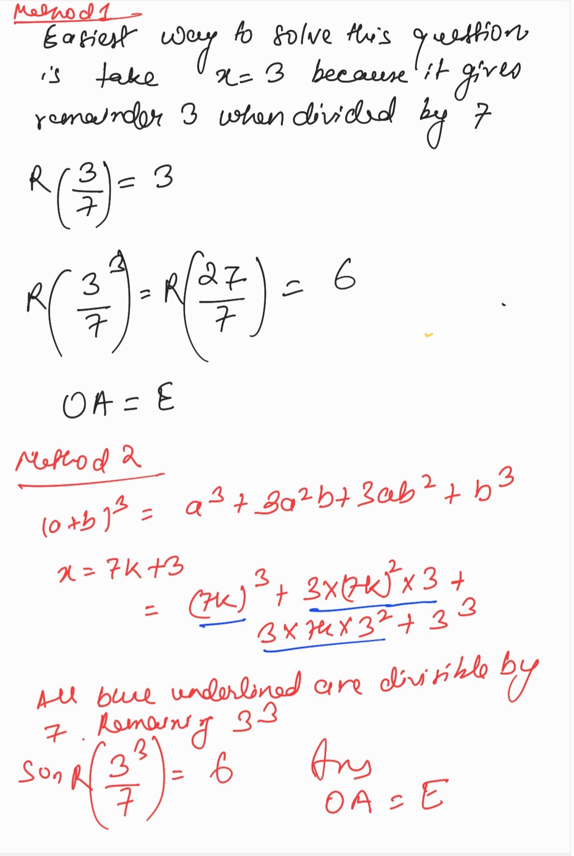
When a positive integer x is divided by 7, the remainder is 3. What is the remainder when x^3 is divided by 7?

A. 2
B. 3
C. 4
D. 5
E. 6



When x is divided by 7, the remainder is 3. When x^3 is divided by 7, what is the remainder?

Attachments

Screenshot_20240203_095947_Samsung Notes.jpg
Screenshot_20240203_095947_Samsung Notes.jpg [ 241.89 KiB | Viewed 2457 times ]

User avatar
bumpbot
User avatar
Non-Human User
Joined: 09 Sep 2013
Last visit: 04 Jan 2021
Posts: 38,967
Own Kudos:
Posts: 38,967
Kudos: 1,117
Kudos
Add Kudos
Bookmarks
Bookmark this Post
Automated notice from GMAT Club BumpBot:

A member just gave Kudos to this thread, showing it’s still useful. I’ve bumped it to the top so more people can benefit. Feel free to add your own questions or solutions.

This post was generated automatically.
Moderators:
Math Expert
109804 posts
Tuck School Moderator
853 posts