Last visit was: 24 Apr 2026, 21:21 It is currently 24 Apr 2026, 21:21
Close
GMAT Club Daily Prep
Thank you for using the timer - this advanced tool can estimate your performance and suggest more practice questions. We have subscribed you to Daily Prep Questions via email.

Customized
for You

we will pick new questions that match your level based on your Timer History

Track
Your Progress

every week, we’ll send you an estimated GMAT score based on your performance

Practice
Pays

we will pick new questions that match your level based on your Timer History
Not interested in getting valuable practice questions and articles delivered to your email? No problem, unsubscribe here.
Close
Request Expert Reply
Confirm Cancel
User avatar
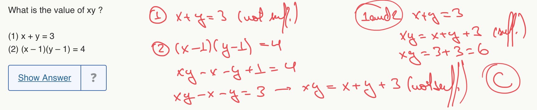
Bunuel
User avatar
Math Expert
Joined: 02 Sep 2009
Last visit: 24 Apr 2026
Posts: 109,818
Own Kudos:
Given Kudos: 105,873
Products:
Expert
Expert reply
Active GMAT Club Expert! Tag them with @ followed by their username for a faster response.
Posts: 109,818
Kudos: 811,089
Kudos
Add Kudos
Bookmarks
Bookmark this Post
User avatar
MBAHOUSE
User avatar
MBA House Admissions Consultant
Joined: 26 May 2022
Last visit: 23 Apr 2024
Posts: 337
Own Kudos:
98
 [1]
Expert
Expert reply
Posts: 337
Kudos: 98
 [1]
1
Kudos
Add Kudos
Bookmarks
Bookmark this Post
User avatar
Iotaa
User avatar
LBS Moderator
Joined: 25 Apr 2020
Last visit: 15 Mar 2023
Posts: 133
Own Kudos:
Given Kudos: 99
Location: India
Posts: 133
Kudos: 155
Kudos
Add Kudos
Bookmarks
Bookmark this Post
Moderators:
Math Expert
109818 posts
498 posts
212 posts