Last visit was: 24 Apr 2026, 03:04 It is currently 24 Apr 2026, 03:04
Close
GMAT Club Daily Prep
Thank you for using the timer - this advanced tool can estimate your performance and suggest more practice questions. We have subscribed you to Daily Prep Questions via email.

Customized
for You

we will pick new questions that match your level based on your Timer History

Track
Your Progress

every week, we’ll send you an estimated GMAT score based on your performance

Practice
Pays

we will pick new questions that match your level based on your Timer History
Not interested in getting valuable practice questions and articles delivered to your email? No problem, unsubscribe here.
Close
Request Expert Reply
Confirm Cancel
User avatar
Bunuel
User avatar
Math Expert
Joined: 02 Sep 2009
Last visit: 24 Apr 2026
Posts: 109,803
Own Kudos:
810,925
 [5]
Given Kudos: 105,868
Products:
Expert
Expert reply
Active GMAT Club Expert! Tag them with @ followed by their username for a faster response.
Posts: 109,803
Kudos: 810,925
 [5]
1
Kudos
Add Kudos
4
Bookmarks
Bookmark this Post
User avatar
zhanbo
Joined: 27 Feb 2017
Last visit: 07 Jul 2024
Posts: 1,464
Own Kudos:
2,479
 [4]
Given Kudos: 114
Location: United States (WA)
GMAT 1: 760 Q50 V42
GMAT 2: 760 Q50 V42
GRE 1: Q169 V168
GRE 2: Q170 V170
Expert
Expert reply
GMAT 2: 760 Q50 V42
GRE 1: Q169 V168
GRE 2: Q170 V170
Posts: 1,464
Kudos: 2,479
 [4]
3
Kudos
Add Kudos
Bookmarks
Bookmark this Post
User avatar
zhanbo
Joined: 27 Feb 2017
Last visit: 07 Jul 2024
Posts: 1,464
Own Kudos:
2,479
 [1]
Given Kudos: 114
Location: United States (WA)
GMAT 1: 760 Q50 V42
GMAT 2: 760 Q50 V42
GRE 1: Q169 V168
GRE 2: Q170 V170
Expert
Expert reply
GMAT 2: 760 Q50 V42
GRE 1: Q169 V168
GRE 2: Q170 V170
Posts: 1,464
Kudos: 2,479
 [1]
1
Kudos
Add Kudos
Bookmarks
Bookmark this Post
User avatar
Bunuel
User avatar
Math Expert
Joined: 02 Sep 2009
Last visit: 24 Apr 2026
Posts: 109,803
Own Kudos:
Given Kudos: 105,868
Products:
Expert
Expert reply
Active GMAT Club Expert! Tag them with @ followed by their username for a faster response.
Posts: 109,803
Kudos: 810,925
Kudos
Add Kudos
Bookmarks
Bookmark this Post
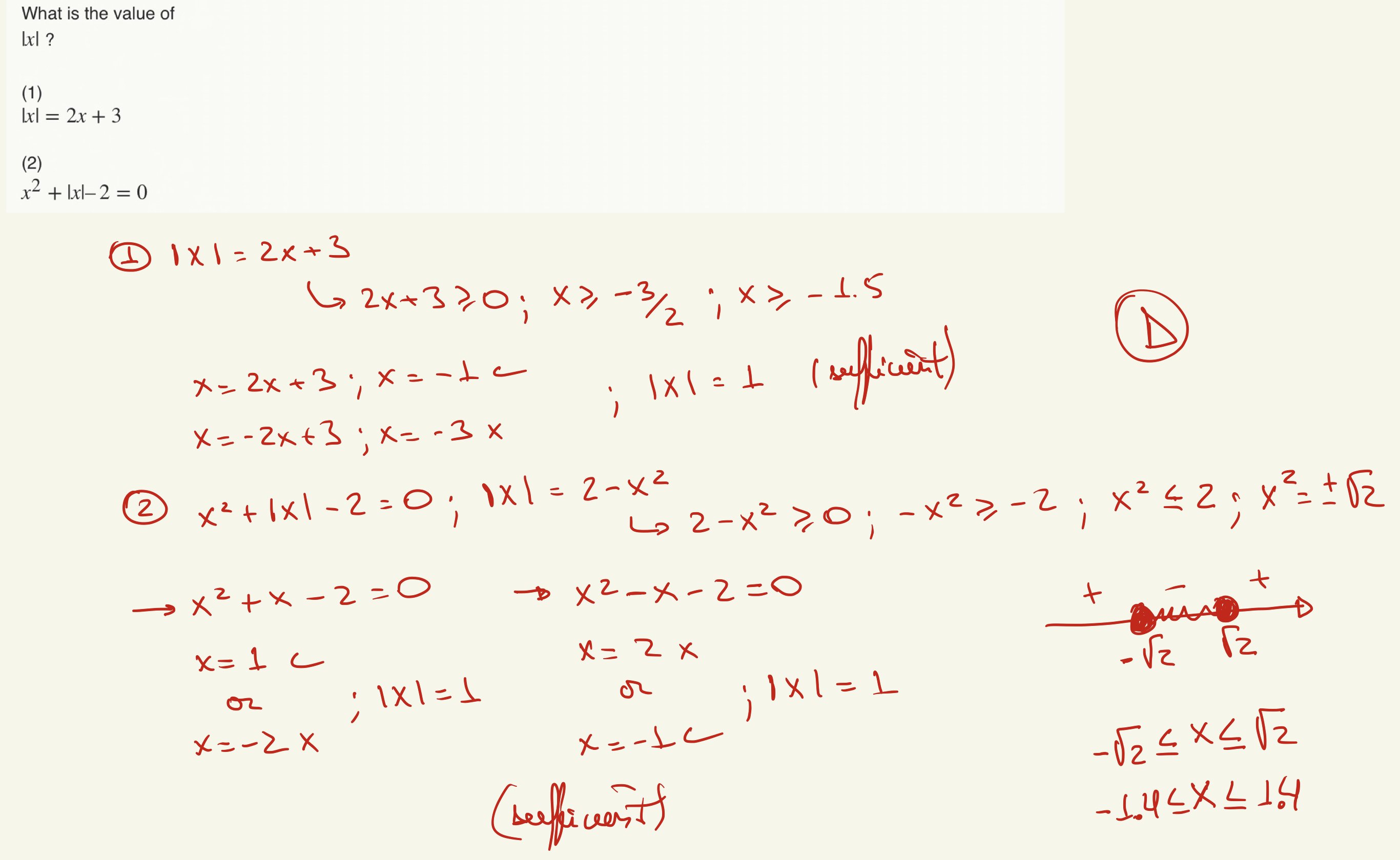
zhanbo
OA is shown as "C".

Can Bunuel please enlighten me?

It's D. Edited. Thank you for reporting!
User avatar
MBAHOUSE
User avatar
MBA House Admissions Consultant
Joined: 26 May 2022
Last visit: 23 Apr 2024
Posts: 337
Own Kudos:
Expert
Expert reply
Posts: 337
Kudos: 98
Kudos
Add Kudos
Bookmarks
Bookmark this Post
Absolute value is very important for the gmat test.
Attachments

C644EBF6-6AB7-4DAD-82A2-A51422EE2EEB.jpeg
C644EBF6-6AB7-4DAD-82A2-A51422EE2EEB.jpeg [ 851.96 KiB | Viewed 1707 times ]

User avatar
bumpbot
User avatar
Non-Human User
Joined: 09 Sep 2013
Last visit: 04 Jan 2021
Posts: 38,966
Own Kudos:
Posts: 38,966
Kudos: 1,117
Kudos
Add Kudos
Bookmarks
Bookmark this Post
Automated notice from GMAT Club BumpBot:

A member just gave Kudos to this thread, showing it’s still useful. I’ve bumped it to the top so more people can benefit. Feel free to add your own questions or solutions.

This post was generated automatically.
Moderators:
Math Expert
109803 posts
498 posts
212 posts