Last visit was: 24 Apr 2026, 12:37 It is currently 24 Apr 2026, 12:37
Close
GMAT Club Daily Prep
Thank you for using the timer - this advanced tool can estimate your performance and suggest more practice questions. We have subscribed you to Daily Prep Questions via email.

Customized
for You

we will pick new questions that match your level based on your Timer History

Track
Your Progress

every week, we’ll send you an estimated GMAT score based on your performance

Practice
Pays

we will pick new questions that match your level based on your Timer History
Not interested in getting valuable practice questions and articles delivered to your email? No problem, unsubscribe here.
Close
Request Expert Reply
Confirm Cancel
User avatar
samarth1222
Joined: 30 Dec 2021
Last visit: 31 Dec 2024
Posts: 48
Own Kudos:
11
 [2]
Given Kudos: 71
Posts: 48
Kudos: 11
 [2]
Kudos
Add Kudos
1
Bookmarks
Bookmark this Post
User avatar
yashikaaggarwal
User avatar
Senior Moderator - Masters Forum
Joined: 19 Jan 2020
Last visit: 29 Mar 2026
Posts: 3,089
Own Kudos:
Given Kudos: 1,510
Location: India
GPA: 4
WE:Analyst (Internet and New Media)
Kudos
Add Kudos
Bookmarks
Bookmark this Post
User avatar
samarth1222
Joined: 30 Dec 2021
Last visit: 31 Dec 2024
Posts: 48
Own Kudos:
Given Kudos: 71
Posts: 48
Kudos: 11
Kudos
Add Kudos
Bookmarks
Bookmark this Post
User avatar
yashikaaggarwal
User avatar
Senior Moderator - Masters Forum
Joined: 19 Jan 2020
Last visit: 29 Mar 2026
Posts: 3,089
Own Kudos:
3,158
 [1]
Given Kudos: 1,510
Location: India
GPA: 4
WE:Analyst (Internet and New Media)
Posts: 3,089
Kudos: 3,158
 [1]
1
Kudos
Add Kudos
Bookmarks
Bookmark this Post
samarth1222


Hi,
Thanks for the reply but can you please simplify the equation like how can we make the base the same I faced difficulty in this because I was not able to simplify the base and make both the bases the same.

THANKS

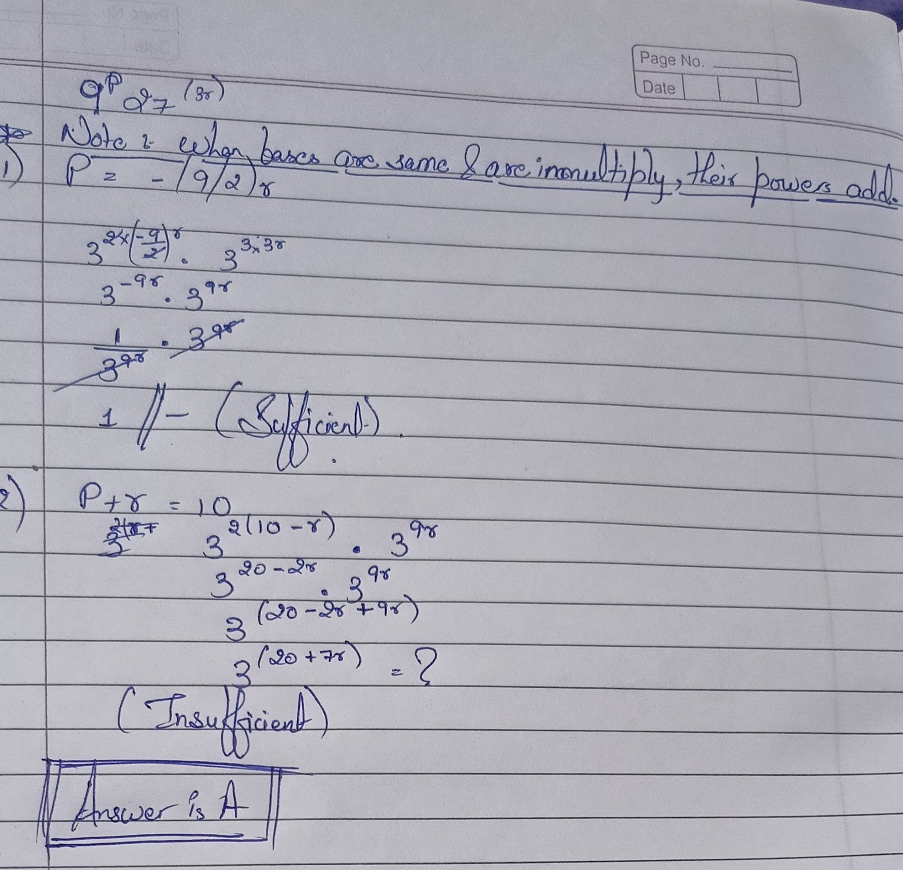
An exponent shows how many times a given variable or number is multiplied by itself. For example, 64 means we are multiplying 6 four times. In the expanded form, it is written as 6 × 6 × 6 × 6. When two exponential terms with the same base are multiplied, their powers are added while the base remains the same. However, when two exponential terms having the same base are divided, their powers are subtracted.
Hope this helps.

Posted from my mobile device
Attachments

IMG_20220831_084725.jpg
IMG_20220831_084725.jpg [ 1.41 MiB | Viewed 1280 times ]

User avatar
samarth1222
Joined: 30 Dec 2021
Last visit: 31 Dec 2024
Posts: 48
Own Kudos:
Given Kudos: 71
Posts: 48
Kudos: 11
Kudos
Add Kudos
Bookmarks
Bookmark this Post
yashikaaggarwal
samarth1222


Hi,
Thanks for the reply but can you please simplify the equation like how can we make the base the same I faced difficulty in this because I was not able to simplify the base and make both the bases the same.

THANKS

An exponent shows how many times a given variable or number is multiplied by itself. For example, 64 means we are multiplying 6 four times. In the expanded form, it is written as 6 × 6 × 6 × 6. When two exponential terms with the same base are multiplied, their powers are added while the base remains the same. However, when two exponential terms having the same base are divided, their powers are subtracted.
Hope this helps.

Posted from my mobile device




Hi,
Thanks for the solution understood now
Moderators:
Math Expert
109820 posts
498 posts
212 posts