Events & Promotions
| Last visit was: 18 May 2026, 09:27 |
It is currently 18 May 2026, 09:27 |
|
|
Customized
for You
Track
Your Progress
Practice
Pays
10:00 AM PDT
-11:00 AM PDT
12:00 PM EDT
-11:59 PM EDT
01:00 PM IST
-11:00 AM IST
12:00 PM PDT
-01:00 PM PDT
12:30 AM EDT
-01:30 AM EDT
01:00 AM EDT
-02:00 AM EDT
10:00 AM PDT
-11:00 AM PDT
06:00 AM PDT
-06:15 PM PDT
Difficulty:
Question Stats:
56% (01:03) correct
44%
(00:57)
wrong
based on 1986
sessions
History



image.jpg [ 506.41 KiB | Viewed 21770 times ]
D331858C-8EFD-4DE3-B94F-2D0477E9D86A.jpeg [ 258.38 KiB | Viewed 8221 times ]
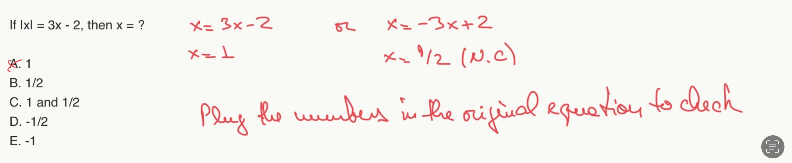
| As we have |x| in the equation so we will have two cases | |
| -Case 1: x ≥ 0 => |x| = x => x = 3x - 2 => 2x = 2 => x = 1 And 1 ≥ 0 => This is a Solution We don't need to solve further as 1 is an option choice, but solving to complete the solution | -Case 2: x < 0 => |x| = -x => -x = 3x - 2 => 4x = 2 => x = \(\frac{2}{4}\) = \(\frac{1}{2}\) But condition was x < 0 => x = \(\frac{1}{2}\) is NOT a SOLUTION |
Success stories and strategies from high-scoring candidates.