Last visit was: 23 Apr 2026, 01:44 It is currently 23 Apr 2026, 01:44
Close
GMAT Club Daily Prep
Thank you for using the timer - this advanced tool can estimate your performance and suggest more practice questions. We have subscribed you to Daily Prep Questions via email.

Customized
for You

we will pick new questions that match your level based on your Timer History

Track
Your Progress

every week, we’ll send you an estimated GMAT score based on your performance

Practice
Pays

we will pick new questions that match your level based on your Timer History
Not interested in getting valuable practice questions and articles delivered to your email? No problem, unsubscribe here.
Close
Request Expert Reply
Confirm Cancel
User avatar
bgribble
User avatar
Current Student
Joined: 04 Jul 2013
Last visit: 15 Apr 2015
Posts: 5
Own Kudos:
406
 [99]
Given Kudos: 13
Location: United Kingdom
Concentration: Strategy, Finance
Schools: LBS '16 (A)
GMAT 1: 650 Q42 V38
GMAT 2: 690 Q45 V40
WE:Consulting (Finance: Investment Banking)
Products:
Schools: LBS '16 (A)
GMAT 2: 690 Q45 V40
Posts: 5
Kudos: 406
 [99]
7
Kudos
Add Kudos
92
Bookmarks
Bookmark this Post
Most Helpful Reply
User avatar
Cbri
Joined: 10 May 2010
Last visit: 27 Aug 2015
Posts: 4
Own Kudos:
40
 [29]
Posts: 4
Kudos: 40
 [29]
21
Kudos
Add Kudos
8
Bookmarks
Bookmark this Post
User avatar
WillEconomistGMAT
User avatar
Economist GMAT Tutor Instructor
Joined: 01 Oct 2013
Last visit: 19 Dec 2013
Posts: 58
Own Kudos:
193
 [12]
Given Kudos: 7
Expert
Expert reply
Posts: 58
Kudos: 193
 [12]
7
Kudos
Add Kudos
5
Bookmarks
Bookmark this Post
General Discussion
avatar
jeremyl3763
Joined: 05 Dec 2013
Last visit: 08 May 2014
Posts: 1
Posts: 1
Kudos: 0
Kudos
Add Kudos
Bookmarks
Bookmark this Post
How do you get 1 and 5/2 for the 2nd statement? I am getting x=2 & x=5. Thanks.
User avatar
Bunuel
User avatar
Math Expert
Joined: 02 Sep 2009
Last visit: 22 Apr 2026
Posts: 109,763
Own Kudos:
810,720
 [9]
Given Kudos: 105,850
Products:
Expert
Expert reply
Active GMAT Club Expert! Tag them with @ followed by their username for a faster response.
Posts: 109,763
Kudos: 810,720
 [9]
3
Kudos
Add Kudos
6
Bookmarks
Bookmark this Post
jeremyl3763
How do you get 1 and 5/2 for the 2nd statement? I am getting x=2 & x=5. Thanks.

Substitute 2 and 5 into 2x^2 - 7x + 5 = 0 to see that neither is the root of the equation, while 1 and 5/2 are.

Factoring Quadratics: https://www.purplemath.com/modules/factquad.htm

Solving Quadratic Equations: https://www.purplemath.com/modules/solvquad.htm

Hope this helps.
avatar
TuringMachine
Joined: 07 Jan 2014
Last visit: 23 Dec 2019
Posts: 4
Own Kudos:
Given Kudos: 166
Location: India
Posts: 4
Kudos: 8
Kudos
Add Kudos
Bookmarks
Bookmark this Post
Bunuel

Substitute 2 and 5 into 2x^2 - 7x + 5 = 0 to see that neither is the root of the equation, while 1 and 5/2 are.

Here the 2(1, 2.5) values lead to 2 different medians so how is this sufficient?

I understand the fact that both values lie within the range specified, but it leads to 2 different answers- which is grounds for insufficiency. Can you pls explain how this explanation is wrong?
User avatar
EMPOWERgmatRichC
User avatar
Major Poster
Joined: 19 Dec 2014
Last visit: 31 Dec 2023
Posts: 21,777
Own Kudos:
13,045
 [2]
Given Kudos: 450
Status:GMAT Assassin/Co-Founder
Affiliations: EMPOWERgmat
Location: United States (CA)
GMAT 1: 800 Q51 V49
GRE 1: Q170 V170
Expert
Expert reply
GMAT 1: 800 Q51 V49
GRE 1: Q170 V170
Posts: 21,777
Kudos: 13,045
 [2]
2
Kudos
Add Kudos
Bookmarks
Bookmark this Post
Hi TuringMachine,

You have to pay attention to ALL of the information that you've been given.

Notice at the beginning of the prompt, we were told that 2 < X < 4. That 'restriction' still applies.

With Fact 2, we have two potential values for X: 1 and 5/2, but ONLY 5/2 fits that initial range that we were given. Thus, 5/2 is the only possible value for X and we now have enough information answer to the question. Fact 2 is SUFFICIENT.

GMAT assassins aren't born, they're made,
Rich
User avatar
alice7
Joined: 12 Nov 2014
Last visit: 01 May 2017
Posts: 13
Own Kudos:
Given Kudos: 923
Posts: 13
Kudos: 44
Kudos
Add Kudos
Bookmarks
Bookmark this Post
the second eqn gives two values x =1 and 5/2 and when you insert you get two different median 1 and 5/2. SO that is why I choose a beause it gives only one value.
avatar
adityayagnik
Joined: 03 Oct 2012
Last visit: 26 Mar 2019
Posts: 7
Own Kudos:
11
 [6]
Given Kudos: 11
Concentration: Strategy, Finance
Posts: 7
Kudos: 11
 [6]
3
Kudos
Add Kudos
3
Bookmarks
Bookmark this Post
Question stem: 2<x<5; median of (0, 5, x, 1, 7, 3)

1: 2x-5 = 0 i.e. x = 2.5
This complies with question stem condition 2<x<5. Also, median can be easily determined.
Sufficient

2. 2x^2 - 7x + 5 = 0

i.e. 2x^2 - 5x - 2x + 5 = 0
(2x-5) (x-1) = 0
x = 5/2 or x = 1
As per the question stem, x cannot be 1. Therefore, x = 5/2.
Sufficient

Answer: D (Either statement are sufficient).
User avatar
EMPOWERgmatRichC
User avatar
Major Poster
Joined: 19 Dec 2014
Last visit: 31 Dec 2023
Posts: 21,777
Own Kudos:
13,045
 [1]
Given Kudos: 450
Status:GMAT Assassin/Co-Founder
Affiliations: EMPOWERgmat
Location: United States (CA)
GMAT 1: 800 Q51 V49
GRE 1: Q170 V170
Expert
Expert reply
GMAT 1: 800 Q51 V49
GRE 1: Q170 V170
Posts: 21,777
Kudos: 13,045
 [1]
1
Kudos
Add Kudos
Bookmarks
Bookmark this Post
Hi alice7,

You have to pay attention to ALL of the information that you've been given.

Notice at the beginning of the prompt, we were told that 2 < X < 4. That 'restriction' still applies.

With Fact 2, we have two potential values for X: 1 and 5/2, but ONLY 5/2 fits that initial range that we were given. Thus, 5/2 is the only possible value for X and we now have enough information answer to the question. Fact 2 is SUFFICIENT.

GMAT assassins aren't born, they're made,
Rich
User avatar
alice7
Joined: 12 Nov 2014
Last visit: 01 May 2017
Posts: 13
Own Kudos:
Given Kudos: 923
Posts: 13
Kudos: 44
Kudos
Add Kudos
Bookmarks
Bookmark this Post
Thanks for clarification, I completely forgot initial x value provided.
User avatar
MathRevolution
User avatar
Math Revolution GMAT Instructor
Joined: 16 Aug 2015
Last visit: 27 Sep 2022
Posts: 10,063
Own Kudos:
Given Kudos: 4
GMAT 1: 760 Q51 V42
GPA: 3.82
Expert
Expert reply
GMAT 1: 760 Q51 V42
Posts: 10,063
Kudos: 20,000
Kudos
Add Kudos
Bookmarks
Bookmark this Post
Forget conventional ways of solving math questions. In DS, Variable approach is the easiest and quickest way to find the answer without actually solving the problem. Remember equal number of variables and independent equations ensures a solution.

If 2 < x < 4, what is the median of the numbers 0, 5, x, 1, 7, and 3?

(1) 2x−5=0

(2) 2x 2 −7x+5=0

There is one variable (X) and 2 equations from the 2 conditions, so (D) is our likely answer.
For condition 1, x=5/2. This is sufficient.
For condition 2, (2x-5)(x-1)=0, x=5/2, 1, but 1 is not possible, so x=5/2. This is sufficient as well, making the answer (D).

For cases where we need 1 more equation, such as original conditions with “1 variable”, or “2 variables and 1 equation”, or “3 variables and 2 equations”, we have 1 equation each in both 1) and 2). Therefore, there is 59 % chance that D is the answer, while A or B has 38% chance and C or E has 3% chance. Since D is most likely to be the answer using 1) and 2) separately according to DS definition. Obviously there may be cases where the answer is A, B, C or E.
User avatar
zxcvbnmas
Joined: 06 Jun 2014
Last visit: 22 Oct 2016
Posts: 71
Own Kudos:
Given Kudos: 109
Location: United States
Concentration: Finance, General Management
GMAT 1: 450 Q27 V21
GPA: 3.47
GMAT 1: 450 Q27 V21
Posts: 71
Kudos: 644
Kudos
Add Kudos
Bookmarks
Bookmark this Post
bgribble
If 2 < x < 4, what is the median of the numbers 0, 5, x, 1, 7, and 3?

(1) \(2x - 5 = 0\)

(2) \(2x^2 - 7x + 5 = 0\)

(1)
2x - 5 = 0
2x = 5
x = \(\frac{5}{2}\) Sufficient

(2)
\(2x^2 -7x +5 = 0\)
(2x -5)(x - 1) = 0
2x = 5 , x = 1
\(x = \frac{5}{2}\) Sufficient, x = 1 <---- reject this root since x is between 2 and 4

Answer D
User avatar
stonecold
Joined: 12 Aug 2015
Last visit: 09 Apr 2024
Posts: 2,231
Own Kudos:
Given Kudos: 893
GRE 1: Q169 V154
GRE 1: Q169 V154
Posts: 2,231
Kudos: 3,643
Kudos
Add Kudos
Bookmarks
Bookmark this Post
Great Official Question.
Here is what i did in this question -->

Data Set=>
0
1
3
5
7
x


Now #=6
Hence Median = 3rd term +4th term/2
Here x=>(2,4)

Case 1=> x--> (2,3)
Here median => x+3/2

Case 2=>x-->(3,4)
Here median = 3+x/2

Thus,
Irrespective of what value of x is => Median => x+3/2

So we actually just need the value of x.

Statement 1-->
x=5/2
Hence Sufficient
Statement 2-->
Its a Quadratic Equation.
Two solutions are --> 1,5/2
But x->(2,4)
Hence x=1 is not a solution
So x must be 5/2

Hence Sufficient

Hence D
User avatar
AkshdeepS
Joined: 13 Apr 2013
Last visit: 20 Apr 2026
Posts: 1,423
Own Kudos:
1,937
 [1]
Given Kudos: 1,002
Status:It's near - I can see.
Location: India
Concentration: International Business, Operations
GPA: 3.01
WE:Engineering (Real Estate)
Products:
Posts: 1,423
Kudos: 1,937
 [1]
1
Kudos
Add Kudos
Bookmarks
Bookmark this Post
bgribble
If 2 < x < 4, what is the median of the numbers 0, 5, x, 1, 7, and 3?

(1) \(2x - 5 = 0\)

(2) \(2x^2 - 7x + 5 = 0\)

Very important to remember the restriction 2 < x < 4, otherwise trap answer (A) is waiting.

write the numbers in order to get a clear idea: 0,1,3,5,7 and x will fit in this sequence somewhere

St 1: gives you x = 2.5, condition 2 < x < 4 fulfilled so , 0,1,2.5,3,5,7

Sufficient

St 2: gives you two solutions x = 1 & 2.5 as it is a quadratic equation.

One value (x = 2.5) lies inside the range and other value (x=1) outside the range. So sufficient as only valid value of

x is 2.5.

Sufficient

(D)
User avatar
Rebaz
Joined: 14 Feb 2014
Last visit: 22 Apr 2026
Posts: 145
Own Kudos:
Given Kudos: 4,772
Posts: 145
Kudos: 38
Kudos
Add Kudos
Bookmarks
Bookmark this Post
Hi, can some please explain me statement 2?

How do you get from 2x2−7x+5=0 to (2x -5)(x - 1) = 0

Can you explain through Foil process without skipping any detail. I really struggle with this statement 2.

Thanks!

Posted from my mobile device
User avatar
amanvermagmat
User avatar
Retired Moderator
Joined: 22 Aug 2013
Last visit: 28 Mar 2025
Posts: 1,142
Own Kudos:
2,973
 [9]
Given Kudos: 480
Location: India
Posts: 1,142
Kudos: 2,973
 [9]
4
Kudos
Add Kudos
5
Bookmarks
Bookmark this Post
Rebaz
Hi, can some please explain me statement 2?

How do you get from 2x2−7x+5=0 to (2x -5)(x - 1) = 0

Can you explain through Foil process without skipping any detail. I really struggle with this statement 2.

Thanks!

Posted from my mobile device

Sometimes we can factorize quadratic expressions by splitting the middle term. Lets say a quadratic expression is:

ax^2 + bx + c

We have to split the middle term bx. We have to find two quantities whose sum is bx and whose product is ax^2*c .. this is the rule.. if we can split middle term in such a way then we can factorize the quadratic expression easily. Lets try this here on 2x^2 - 7x + 5 = 0

We have to find two quantities whose sum is '-7x' and whose product is 2x^2*5 = 10x^2. These two quantities are -2x and -5x. So we can write this quadratic equation in the following way:

2x^2 -2x -5x + 5 = 0. Now we can see that these are four terms. From first two terms, we can take 2x common, and from next two terms we can take -5 common. So our equation now becomes:

2x*(x-1) -5*(x-1) = 0. Now x-1 can be taken out common to get:
(x-1)*(2x-5) = 0
User avatar
omavsp
Joined: 20 Aug 2017
Last visit: 28 Jan 2024
Posts: 34
Own Kudos:
15
 [1]
Given Kudos: 191
Products:
Posts: 34
Kudos: 15
 [1]
1
Kudos
Add Kudos
Bookmarks
Bookmark this Post
Bunuel
jeremyl3763
How do you get 1 and 5/2 for the 2nd statement? I am getting x=2 & x=5. Thanks.

Substitute 2 and 5 into 2x^2 - 7x + 5 = 0 to see that neither is the root of the equation, while 1 and 5/2 are.

Factoring Quadratics: https://www.purplemath.com/modules/factquad.htm

Solving Quadratic Equations: https://www.purplemath.com/modules/solvquad.htm

Hope this helps.

Hi Bunuel,

can you please help me figure out what am I missing here?

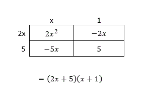
please see the attached picture. I didn't get (2x-5)(x-1), but (2x+5)(x+1)

thank!
Attachments

Capture.GIF
Capture.GIF [ 2.29 KiB | Viewed 30828 times ]

User avatar
AnirudhaS
User avatar
LBS Moderator
Joined: 30 Oct 2019
Last visit: 25 Jun 2024
Posts: 779
Own Kudos:
Given Kudos: 1,575
Posts: 779
Kudos: 887
Kudos
Add Kudos
Bookmarks
Bookmark this Post
(1) x=2.5, so there would be a defined value of median
Sufficient

(2) x=1,2.5
But in the question stem its given 2<x<4,
so x=2.5, and there would be ONE value of the median
Sufficient

Answer: D
User avatar
EMPOWERgmatRichC
User avatar
Major Poster
Joined: 19 Dec 2014
Last visit: 31 Dec 2023
Posts: 21,777
Own Kudos:
13,045
 [1]
Given Kudos: 450
Status:GMAT Assassin/Co-Founder
Affiliations: EMPOWERgmat
Location: United States (CA)
GMAT 1: 800 Q51 V49
GRE 1: Q170 V170
Expert
Expert reply
GMAT 1: 800 Q51 V49
GRE 1: Q170 V170
Posts: 21,777
Kudos: 13,045
 [1]
1
Kudos
Add Kudos
Bookmarks
Bookmark this Post
omavsp
Bunuel
jeremyl3763
How do you get 1 and 5/2 for the 2nd statement? I am getting x=2 & x=5. Thanks.

Substitute 2 and 5 into 2x^2 - 7x + 5 = 0 to see that neither is the root of the equation, while 1 and 5/2 are.

Factoring Quadratics: https://www.purplemath.com/modules/factquad.htm

Solving Quadratic Equations: https://www.purplemath.com/modules/solvquad.htm

Hope this helps.

Hi Bunuel,

can you please help me figure out what am I missing here?

please see the attached picture. I didn't get (2x-5)(x-1), but (2x+5)(x+1)

thank!

Hi omavsp,

When factoring a Quadratic, the 'clues' that you will need will be found at a few specific spots in the original equation. In Fact 2, we have....

2X^2 - 7X + 5 = 0

To start, we know the 'first half' of each parentheses:
(X )(2X )

Next, since the equation ends in "+5", we know that the two 'numbers' in the parentheses are EITHER both positive (almost certainly +1 and +5) OR both negative (almost certainly -1 and -5).

The middle term is "-7X".... and we have to get to that NEGATIVE sum with either two positives or two negatives.... so the only option that makes sense is two negative numbers... With a little playing around, you can prove that the equation factors down into...

(X - 1)(2X - 5) = 0

GMAT assassins aren't born, they're made,
Rich
 1   2   
Moderators:
Math Expert
109763 posts
498 posts
212 posts