Last visit was: 21 Apr 2026, 01:55 It is currently 21 Apr 2026, 01:55
Close
GMAT Club Daily Prep
Thank you for using the timer - this advanced tool can estimate your performance and suggest more practice questions. We have subscribed you to Daily Prep Questions via email.

Customized
for You

we will pick new questions that match your level based on your Timer History

Track
Your Progress

every week, we’ll send you an estimated GMAT score based on your performance

Practice
Pays

we will pick new questions that match your level based on your Timer History
Not interested in getting valuable practice questions and articles delivered to your email? No problem, unsubscribe here.
Close
Request Expert Reply
Confirm Cancel
User avatar
Bunuel
User avatar
Math Expert
Joined: 02 Sep 2009
Last visit: 21 Apr 2026
Posts: 109,715
Own Kudos:
Given Kudos: 105,795
Products:
Expert
Expert reply
Active GMAT Club Expert! Tag them with @ followed by their username for a faster response.
Posts: 109,715
Kudos: 810,339
 [22]
1
Kudos
Add Kudos
21
Bookmarks
Bookmark this Post
Most Helpful Reply
User avatar
ManojReddy
Joined: 28 Jan 2013
Last visit: 24 Sep 2024
Posts: 31
Own Kudos:
136
 [7]
Given Kudos: 32
Location: United States
Concentration: General Management, International Business
GPA: 3.1
WE:Information Technology (Consulting)
Posts: 31
Kudos: 136
 [7]
5
Kudos
Add Kudos
2
Bookmarks
Bookmark this Post
General Discussion
avatar
shriramvelamuri
Joined: 27 Dec 2013
Last visit: 29 Jun 2016
Posts: 159
Own Kudos:
140
 [1]
Given Kudos: 113
Posts: 159
Kudos: 140
 [1]
1
Kudos
Add Kudos
Bookmarks
Bookmark this Post
User avatar
Bunuel
User avatar
Math Expert
Joined: 02 Sep 2009
Last visit: 21 Apr 2026
Posts: 109,715
Own Kudos:
810,339
 [4]
Given Kudos: 105,795
Products:
Expert
Expert reply
Active GMAT Club Expert! Tag them with @ followed by their username for a faster response.
Posts: 109,715
Kudos: 810,339
 [4]
2
Kudos
Add Kudos
2
Bookmarks
Bookmark this Post
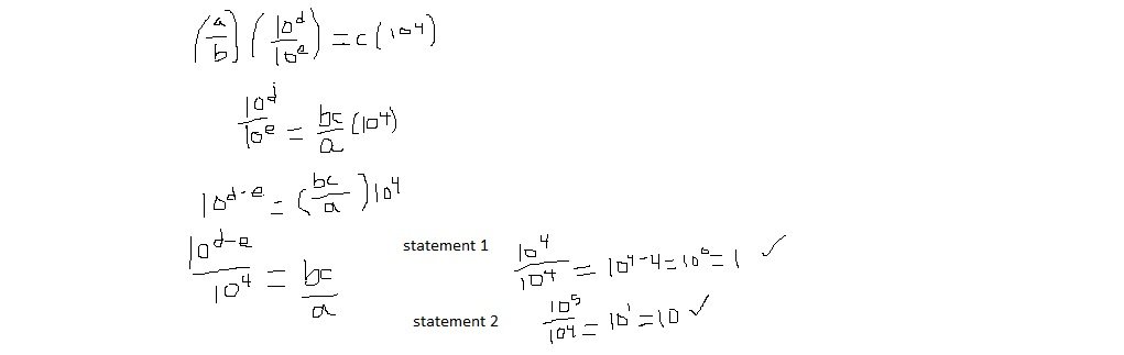
Bunuel
If a, b, c, d, and e are positive integers such that \(\frac{a*10^d}{b*10^e}=c*10^4\) is bc/a an integer?

(1) d – e ≥ 4
(2) d – e > 4


Kudos for a correct solution.

MANHATTAN GMAT OFFICIAL SOLUTION:
Attachment:
2015-06-22_1708.png
2015-06-22_1708.png [ 84.26 KiB | Viewed 11358 times ]
avatar
OptimusPrepJanielle
Joined: 06 Nov 2014
Last visit: 08 Sep 2017
Posts: 1,777
Own Kudos:
Given Kudos: 23
Expert
Expert reply
Posts: 1,777
Kudos: 1,507
Kudos
Add Kudos
Bookmarks
Bookmark this Post
If a, b, c, d, and e are positive integers such that (a∗10^d)/(b∗10^e)=c∗10^4 is bc/a an integer?

(1) d – e ≥ 4 sufficient
(2) d – e > 4 sufficient
Attachments

Untitled.jpg
Untitled.jpg [ 30.51 KiB | Viewed 11209 times ]

User avatar
iliavko
Joined: 08 Dec 2015
Last visit: 28 Apr 2019
Posts: 255
Own Kudos:
138
 [2]
Given Kudos: 36
GMAT 1: 600 Q44 V27
Products:
GMAT 1: 600 Q44 V27
Posts: 255
Kudos: 138
 [2]
Kudos
Add Kudos
1
Bookmarks
Bookmark this Post
Strange question, why do even need the statements to answer?

It says that A/B=C and I don't see how the powers of 10 are relevant. We are told from the stem that a,b,c are positive integers, so A is a multiple of B and B is a multiple of C (A is a multiple of C) so obviously if we "reverse" the operation and multiple C*B we get A and BC/A will yield 1. Given the stem, there is no way A/B=C is not an integer! Even if we consider that C could be a fraction, but then again we are told that c is *\(10^4\) so it's a not a fraction, it's an integer.

Then the statements say that d-e = 4 or 4+?.. Well it's already in the question stem, it says there that d-e is 4 (same base 10 we subtract d-e to get base 10 power 4). No new information.

So what is being asked?...
avatar
hsbinfy
Joined: 02 Mar 2012
Last visit: 13 Nov 2017
Posts: 190
Own Kudos:
Given Kudos: 4
Schools: Schulich '16
Schools: Schulich '16
Posts: 190
Kudos: 325
Kudos
Add Kudos
Bookmarks
Bookmark this Post
D

strange choices but both say same leaving =4

1)if you reduce the expression it will come as bc/a =10^d-e-4.So if d-e>=4 the output will always be an integer.

2) also says the same d-e>4 always an intergerv
avatar
Ashish632
Joined: 13 May 2020
Last visit: 27 Mar 2022
Posts: 16
Own Kudos:
Given Kudos: 39
Posts: 16
Kudos: 9
Kudos
Add Kudos
Bookmarks
Bookmark this Post
well a quick doubt here , here it says d-3 greater than or equal to 4 , well lets say d-3 is 4.5 so it leads to the equation being 10^0.5 , which may not be an integer isnt it ...

Can someone clarify ????
avatar
Ashish632
Joined: 13 May 2020
Last visit: 27 Mar 2022
Posts: 16
Own Kudos:
Given Kudos: 39
Posts: 16
Kudos: 9
Kudos
Add Kudos
Bookmarks
Bookmark this Post
oh sorry , my bad , i just realised , that its given that all are integers , well lets just say that its not given that they are integers , in that case , is my assumption correct , will the answer be E then ?
User avatar
bumpbot
User avatar
Non-Human User
Joined: 09 Sep 2013
Last visit: 04 Jan 2021
Posts: 38,942
Own Kudos:
Posts: 38,942
Kudos: 1,116
Kudos
Add Kudos
Bookmarks
Bookmark this Post
Automated notice from GMAT Club BumpBot:

A member just gave Kudos to this thread, showing it’s still useful. I’ve bumped it to the top so more people can benefit. Feel free to add your own questions or solutions.

This post was generated automatically.
Moderators:
Math Expert
109715 posts
498 posts
210 posts