Last visit was: 21 Apr 2026, 00:23 It is currently 21 Apr 2026, 00:23
Close
GMAT Club Daily Prep
Thank you for using the timer - this advanced tool can estimate your performance and suggest more practice questions. We have subscribed you to Daily Prep Questions via email.

Customized
for You

we will pick new questions that match your level based on your Timer History

Track
Your Progress

every week, we’ll send you an estimated GMAT score based on your performance

Practice
Pays

we will pick new questions that match your level based on your Timer History
Not interested in getting valuable practice questions and articles delivered to your email? No problem, unsubscribe here.
Close
Request Expert Reply
Confirm Cancel
avatar
RishiQV
Joined: 20 Dec 2017
Last visit: 05 Dec 2021
Posts: 8
Own Kudos:
28
 [24]
Given Kudos: 11
Posts: 8
Kudos: 28
 [24]
1
Kudos
Add Kudos
22
Bookmarks
Bookmark this Post
Most Helpful Reply
User avatar
push12345
Joined: 02 Oct 2017
Last visit: 10 Feb 2019
Posts: 534
Own Kudos:
549
 [12]
Given Kudos: 14
Posts: 534
Kudos: 549
 [12]
12
Kudos
Add Kudos
Bookmarks
Bookmark this Post
General Discussion
User avatar
saraheja
Joined: 01 Jun 2015
Last visit: 08 Jul 2018
Posts: 35
Own Kudos:
Given Kudos: 7
Location: India
Products:
Posts: 35
Kudos: 31
Kudos
Add Kudos
Bookmarks
Bookmark this Post
User avatar
souvonik2k
User avatar
Retired Moderator
Joined: 25 Nov 2015
Last visit: 05 Dec 2021
Posts: 949
Own Kudos:
2,248
 [4]
Given Kudos: 751
Status:Preparing for GMAT
Location: India
GPA: 3.64
Products:
Posts: 949
Kudos: 2,248
 [4]
4
Kudos
Add Kudos
Bookmarks
Bookmark this Post
RishiQV
Set M is composed of the positive even integers up to 100. Set N is composed of the odd integers from –1 to 99. What is the value of (the sum of Set M) – (the sum of Set N)?

A) 49
B) 50
C) 51
D) 100
E) 101

Set M = 2+4+6+....+100
Set N = -1+1+3+5+....+99
Let us first neglect -1 in set N, Then M-N = (2-1)+(4-3)+(6-5).....(100-99) = 1+1+1....+1=50
Now since N also contains -1,subtracting -1 from the above = 50-(-1)=51
Answer C.
User avatar
EgmatQuantExpert
User avatar
e-GMAT Representative
Joined: 04 Jan 2015
Last visit: 02 Apr 2024
Posts: 3,657
Own Kudos:
20,857
 [3]
Given Kudos: 165
Expert
Expert reply
Posts: 3,657
Kudos: 20,857
 [3]
2
Kudos
Add Kudos
1
Bookmarks
Bookmark this Post

2 cents:



We can look into different ways of finding out the individual sums of the given series.

Set M = {2, 4, 6, …, 100}
Sum of the elements of M = 2 + 4 + 6 + … + 100

Method 1:
    2 + 4 + 6 + … + 100
    = 2 (1 + 2 + 3 + … + 50)
    = \(2 * \frac{(50*51)}{2} = 50 * 51\)

Method 2:
    2 + 4 + 6 + … + 100
    This is an arithmetic progression with 50 terms
    Hence sum = \(\frac{50}{2} [2*2 + (50 – 1) * 2] = 25 (4 + 49 * 2) = 25 * 2 (2 + 49) = 50 * 51\)

Method 3:
    2 + 4 + 6 + … + 100
    This expression denotes sum of first 50 even natural numbers
    We know, sum of first n even natural numbers is calculated by \(n^2\) + n = n (n + 1)
    Hence, sum of this series = 50 (50 + 1) = 50 * 51


Set N = {-1, 1, 3, 5, …, 99}
Here we will consider the values barring -1 initially, and then add -1 with the computed result
Initial sum = 1 + 3 + 5 + … + 99

Method 1:
    1 + 3 + 5 + … + 99
    This is an arithmetic progression with 50 terms
    Hence, sum of this series = \(\frac{50}{2} [2*1 + (50 – 1) * 2] = 25 (2 + 49 * 2) = 25 * 2 (1 + 49) = 50 * 50 = 50^2\)

Method 2:
    1 + 3 + 5 + … + 99
    This expression denotes sum of first 50 odd natural numbers
    We know, sum of first n odd natural numbers is calculated by \(n^2\)
    Hence, sum of this series = \(50^2\)

Method 3:
    1 + 3 + 5 + … + 99
    = (1 + 2 + 3 + … + 100) – (2 + 4 + 6 + … + 100)
    [i.e. sum of first 100 natural numbers – sum of all the even natural numbers till 100]

With the result obtained, we need to add -1 to get the final sum.
User avatar
BrentGMATPrepNow
User avatar
Major Poster
Joined: 12 Sep 2015
Last visit: 31 Oct 2025
Posts: 6,733
Own Kudos:
Given Kudos: 799
Location: Canada
Expert
Expert reply
Posts: 6,733
Kudos: 36,437
Kudos
Add Kudos
Bookmarks
Bookmark this Post
RishiQV
Set M is composed of the positive even integers up to 100. Set N is composed of the odd integers from –1 to 99. What is the value of (the sum of Set M) – (the sum of Set N)?

A) 49
B) 50
C) 51
D) 100
E) 101

Set M is composed of the positive even integers up to 100.
Set M = {2, 4, 6, 8, . . . . 96, 98, 100}

Set N is composed of the odd integers from –1 to 99
Set N = {-1, 1, 3, 5, . . . 95, 97, 99}

What is the value of (the sum of Set M) – (the sum of Set N)?
SUM of set M = 2 + 4 + 6 + 8 + . . . .+ 96 + 98 + 100
SUM of set N = -1 + 1 + 3 + 5 + . . . 95 + 97 + 99

ASIDE: Notice that there are 100 POSITIVE integers from 1 to 100 inclusive
HALF of them are EVEN and HALF are ODD

So, set M consists of 50 integers
and set N consists of 51 integers (since set N also has one NEGATIVE odd number)

(the sum of Set M) – (the sum of Set N) = (2 + 4 + 6 + 8 + . . . .+ 96 + 98 + 100) - (-1 + 1 + 3 + 5 + . . . 95 + 97 + 99)
= (2 + 4 + 6 + 8 + . . . .+ 96 + 98 + 100) - (1 + 3 + 5 + . . . 95 + 97 + 99) + 1 [I did this because I want to PAIR each of the 50 values in set M with each of the 50 values in set B]
= (2 - 1) + (4 - 3) + (6 - 5) + . . . + (98 - 97) + (100 - 99) + 1
= (1) + (1) + (1) + . . . + (1) + (1) + 1
= 50 + 1 [since we have 50 PAIRS of even and odd numbers]
= 51

Answer: C

Cheers,
Brent
User avatar
exc4libur
Joined: 24 Nov 2016
Last visit: 22 Mar 2022
Posts: 1,680
Own Kudos:
Given Kudos: 607
Location: United States
Posts: 1,680
Kudos: 1,469
Kudos
Add Kudos
Bookmarks
Bookmark this Post
RishiQV
Set M is composed of the positive even integers up to 100. Set N is composed of the odd integers from –1 to 99. What is the value of (the sum of Set M) – (the sum of Set N)?

A) 49
B) 50
C) 51
D) 100
E) 101

num.terms=last(multiple)-first(multiple)/multiple+1
sum.terms=n/2*(2first+multiple(n-1))

M=positive.even
M: n=100-2/2+1=50
M: sum=50/2(2*2+2(50-1))=50/2*(102)

N=odds
N: n=99-(-1)/2+1=51
N: sum=51/2(2*2+2(51-1))=51/2*(98)

M-N sums
50/2*(102)-51/2*(98)=50*51-51*49=51(1)=51

Ans (C)
User avatar
Crytiocanalyst
Joined: 16 Jun 2021
Last visit: 27 May 2023
Posts: 943
Own Kudos:
Given Kudos: 309
Posts: 943
Kudos: 214
Kudos
Add Kudos
Bookmarks
Bookmark this Post
Set M = 2+4+6+....+100

Set N = -1+1+3+5+....+99

T M-N = (2-1)+(4-3)+(6-5).....(100-99) = 1+1+1....+1=50-(-1) = 51

Therefore IMO C
User avatar
HarshavardhanR
Joined: 16 Mar 2023
Last visit: 20 Apr 2026
Posts: 482
Own Kudos:
Given Kudos: 67
Status:Independent GMAT Tutor
Affiliations: Ex - Director, Subject Matter Expertise at e-GMAT
Products:
Expert
Expert reply
Posts: 482
Kudos: 569
Kudos
Add Kudos
Bookmarks
Bookmark this Post
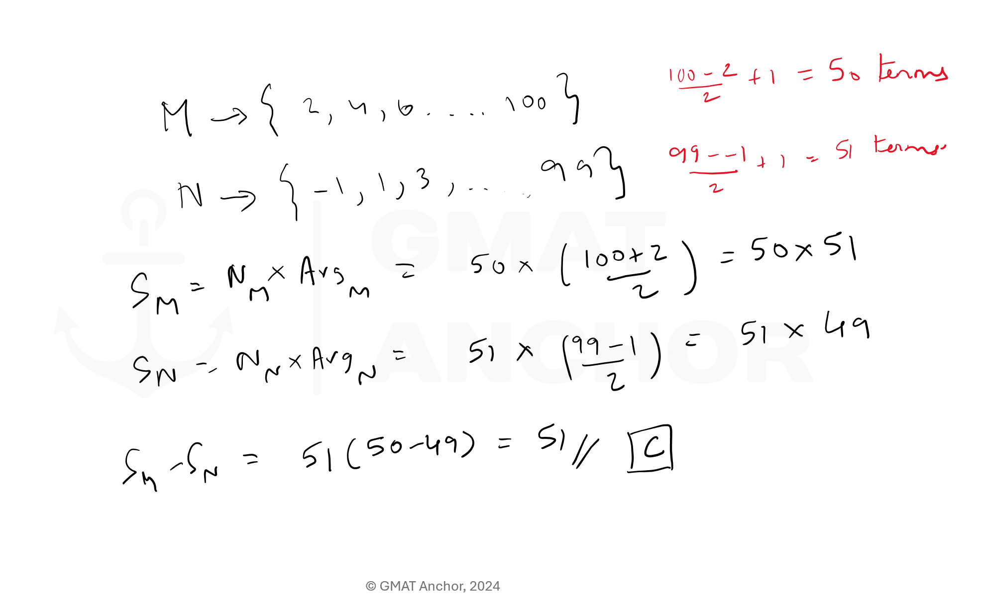
­
___
Harsha
Passionate about all things GMAT | Exploring the GMAT space | My website: gmatanchor.com
Attachment:
GMAT-Club-Forum-rmfm3sj9.png
GMAT-Club-Forum-rmfm3sj9.png [ 148.71 KiB | Viewed 1668 times ]
User avatar
bumpbot
User avatar
Non-Human User
Joined: 09 Sep 2013
Last visit: 04 Jan 2021
Posts: 38,942
Own Kudos:
Posts: 38,942
Kudos: 1,116
Kudos
Add Kudos
Bookmarks
Bookmark this Post
Automated notice from GMAT Club BumpBot:

A member just gave Kudos to this thread, showing it’s still useful. I’ve bumped it to the top so more people can benefit. Feel free to add your own questions or solutions.

This post was generated automatically.
Moderators:
Math Expert
109715 posts
Tuck School Moderator
853 posts