Last visit was: 23 Apr 2026, 20:25 It is currently 23 Apr 2026, 20:25
Close
GMAT Club Daily Prep
Thank you for using the timer - this advanced tool can estimate your performance and suggest more practice questions. We have subscribed you to Daily Prep Questions via email.

Customized
for You

we will pick new questions that match your level based on your Timer History

Track
Your Progress

every week, we’ll send you an estimated GMAT score based on your performance

Practice
Pays

we will pick new questions that match your level based on your Timer History
Not interested in getting valuable practice questions and articles delivered to your email? No problem, unsubscribe here.
Close
Request Expert Reply
Confirm Cancel
User avatar
Bunuel
User avatar
Math Expert
Joined: 02 Sep 2009
Last visit: 23 Apr 2026
Posts: 109,785
Own Kudos:
810,878
 [4]
Given Kudos: 105,853
Products:
Expert
Expert reply
Active GMAT Club Expert! Tag them with @ followed by their username for a faster response.
Posts: 109,785
Kudos: 810,878
 [4]
Kudos
Add Kudos
4
Bookmarks
Bookmark this Post
User avatar
_shashank_shekhar_
Joined: 05 Jan 2017
Last visit: 28 Oct 2018
Posts: 31
Own Kudos:
52
 [1]
Given Kudos: 17
Posts: 31
Kudos: 52
 [1]
1
Kudos
Add Kudos
Bookmarks
Bookmark this Post
User avatar
DavidTutorexamPAL
User avatar
examPAL Representative
Joined: 07 Dec 2017
Last visit: 09 Sep 2020
Posts: 1,002
Own Kudos:
2,042
 [2]
Given Kudos: 26
Posts: 1,002
Kudos: 2,042
 [2]
1
Kudos
Add Kudos
Bookmarks
Bookmark this Post
User avatar
DavidTutorexamPAL
User avatar
examPAL Representative
Joined: 07 Dec 2017
Last visit: 09 Sep 2020
Posts: 1,002
Own Kudos:
Given Kudos: 26
Posts: 1,002
Kudos: 2,042
Kudos
Add Kudos
Bookmarks
Bookmark this Post
_shashank_shekhar_
(seven nos)/7 =20
=>total sum = 140

let x be median,
1) 1/6 (140-x) = 120
=> 140= 7x
=> x= 20 -> median

2) 140-x=120
=>x=20 -> median

EACH statement ALONE is sufficient
hence (D)

1) is sufficient, but the solution is still not entirely accurate. The mistake is here:

_shashank_shekhar_
1/6 (140-x) = 120

Nothing tells us that the right side of the equation has to equal 120! It could equal less (if the median is more than 20) or more (if the median is less than 20).
User avatar
_shashank_shekhar_
Joined: 05 Jan 2017
Last visit: 28 Oct 2018
Posts: 31
Own Kudos:
Given Kudos: 17
Posts: 31
Kudos: 52
Kudos
Add Kudos
Bookmarks
Bookmark this Post
DavidTutorexamPAL
_shashank_shekhar_
(seven nos)/7 =20
=>total sum = 140

let x be median,
1) 1/6 (140-x) = 120
=> 140= 7x
=> x= 20 -> median

2) 140-x=120
=>x=20 -> median

EACH statement ALONE is sufficient
hence (D)

1) is insufficient. The mistake is here:

_shashank_shekhar_
1/6 (140-x) = 120

Nothing tells us that the right side of the equation has to equal 120! It could equal less (if the median is more than 20) or more (if the median is less than 20). See my answer above for an example.


Thanks for the clarification DavidTutorexamPAL . Seems like I made mistake in hurry :(
User avatar
DavidTutorexamPAL
User avatar
examPAL Representative
Joined: 07 Dec 2017
Last visit: 09 Sep 2020
Posts: 1,002
Own Kudos:
2,042
 [1]
Given Kudos: 26
Posts: 1,002
Kudos: 2,042
 [1]
1
Kudos
Add Kudos
Bookmarks
Bookmark this Post
_shashank_shekhar_
DavidTutorexamPAL
_shashank_shekhar_
(seven nos)/7 =20
=>total sum = 140

let x be median,
1) 1/6 (140-x) = 120
=> 140= 7x
=> x= 20 -> median

2) 140-x=120
=>x=20 -> median

EACH statement ALONE is sufficient
hence (D)

1) is insufficient. The mistake is here:

_shashank_shekhar_
1/6 (140-x) = 120

Nothing tells us that the right side of the equation has to equal 120! It could equal less (if the median is more than 20) or more (if the median is less than 20). See my answer above for an example.


Thanks for the clarification DavidTutorexamPAL . Seems like I made mistake in hurry :(

@shashank_shekhar I made mistake and corrected my above post, please view
User avatar
EgmatQuantExpert
User avatar
e-GMAT Representative
Joined: 04 Jan 2015
Last visit: 02 Apr 2024
Posts: 3,657
Own Kudos:
20,872
 [1]
Given Kudos: 165
Expert
Expert reply
Posts: 3,657
Kudos: 20,872
 [1]
Kudos
Add Kudos
1
Bookmarks
Bookmark this Post

Solution


Given:
    • The average of 7 unequal numbers = 20

To find:
    • The median of these numbers

Approach and Working:
    • Sum of the seven numbers = 20 * 7 = 140

Analysing Statement 1
    • Given, median = \(\frac{1}{6}\) * (sum of the seven numbers – median)
      o Implies, \(median * (1 + \frac{1}{6}) = \frac{1}{6} * 140\)

    • Thus, median = \(\frac{140}{7} = 20\)

Therefore, Statement 1 alone is sufficient to answer this question.

Analysing Statement 2
    • Sum of the seven numbers – median = 120
      o Implies, median = 140 -120 =20

Therefore, Statement 2 is alone sufficient to answer this question.

Hence, the correct answer is Option D.

Answer: D

avatar
arincovic
Joined: 05 Sep 2018
Last visit: 07 May 2025
Posts: 7
Own Kudos:
Given Kudos: 56
Posts: 7
Kudos: 1
Kudos
Add Kudos
Bookmarks
Bookmark this Post
Bunuel
If the average (arithmetic mean) of seven unequal numbers is 20, what is the median of these numbers?

(1) The median of the seven numbers is equal to 1/6 of the sum of the six numbers other than the median.
(2) The sum of the six numbers other than the median is equal to 120.


This is my first post so I do not know if I am doing it in the right way:

But I also would say that the answer is (D)

(1) => let m be the median then m = (140 - m)/6 ---- Hence m=20, (sufficient)

(2) => let m be the median then 7x20 = 140 => 140 - 120 = 20 => m = 20 (sufficient)
avatar
Weido
Joined: 25 Jul 2018
Last visit: 26 Nov 2018
Posts: 8
Own Kudos:
12
 [1]
Given Kudos: 107
Posts: 8
Kudos: 12
 [1]
1
Kudos
Add Kudos
Bookmarks
Bookmark this Post
Prompt: 7 numbers avg.=20

S1: M=1/6*(sum of 7 numbers - median number)
sum of 7 numbers from prompt: 7*20=140 ; M=1/6*140 - 1/6*M 7/6M=140/6 --> 7M=140 ; M=20 . sufficient

S2: sum of 6 other than median = 120 ; sum of all 7 = 140 --> difference must be median= 20 . sufficient


Since both statements yield the same result i guess D is the answer.

A general question: if both of our solutions yield the same results, it this a indicator that D must be right? Pls tell me if my reasoning is wrong.
User avatar
surendrasaini1
Joined: 15 Feb 2017
Last visit: 08 Jan 2026
Posts: 242
Own Kudos:
Given Kudos: 50
Location: India
Schools: Stern '26
Schools: Stern '26
Posts: 242
Kudos: 126
Kudos
Add Kudos
Bookmarks
Bookmark this Post
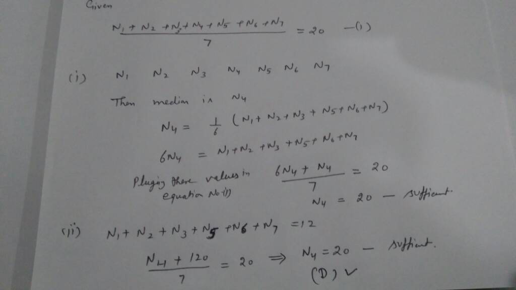
Bunuel
If the average (arithmetic mean) of seven unequal numbers is 20, what is the median of these numbers?

(1) The median of the seven numbers is equal to 1/6 of the sum of the six numbers other than the median.
(2) The sum of the six numbers other than the median is equal to 120.
Attachment:
IMG_20181025_215503.jpg
IMG_20181025_215503.jpg [ 27.11 KiB | Viewed 3205 times ]

Sent from my Lenovo K33a42 using GMAT Club Forum mobile app
User avatar
Italiandrummer97
Joined: 17 Apr 2018
Last visit: 08 Sep 2020
Posts: 18
Own Kudos:
68
 [1]
Given Kudos: 19
Location: Italy
Concentration: General Management, Entrepreneurship
GPA: 3.75
Posts: 18
Kudos: 68
 [1]
1
Kudos
Add Kudos
Bookmarks
Bookmark this Post
Bunuel
If the average (arithmetic mean) of seven unequal numbers is 20, what is the median of these numbers?

(1) The median of the seven numbers is equal to 1/6 of the sum of the six numbers other than the median.
(2) The sum of the six numbers other than the median is equal to 120.

Time needed: 1min 43s

Datas:
From the question stem, we know:
a) The sum of all the numbers(20*7=140)

Process of elimination:
1)We know that \(\frac{(sum-M)}{6}=M\) , where M=median. Having a single variable equation, we can find M. Sufficient. Eliminate C and E.
2)Using (a), we can compute the median M. Sufficient. Eliminate A and B.

Correct answer: D

DavidTutorexamPAL Sir, are you sure your solution above is correct? Because:
1)21*6= 126
2) We are asked for the specific set with the characteristics given in statement 1. Thus, I think we can compute the expression I and E-gmat came up with.
Of course, this is not to attack you in any way, but if you were to agree with me, could you change your solution, please? I think it could mislead some distracted users :)
User avatar
_shashank_shekhar_
Joined: 05 Jan 2017
Last visit: 28 Oct 2018
Posts: 31
Own Kudos:
Given Kudos: 17
Posts: 31
Kudos: 52
Kudos
Add Kudos
Bookmarks
Bookmark this Post
Hi Experts,
I am bit confused here. Can someone please explain the below mentioned statement.

Bunuel
EgmatQuantExpert
DavidTutorexamPAL

1) this works for both the set 17,18,19,20,21,22,23 (median 20, average 20, 20*6=120) and for the set 13,18,19,21,22,23,24 (median 21, average 20, 21*6=146).

Thanks.
User avatar
DavidTutorexamPAL
User avatar
examPAL Representative
Joined: 07 Dec 2017
Last visit: 09 Sep 2020
Posts: 1,002
Own Kudos:
Given Kudos: 26
Posts: 1,002
Kudos: 2,042
Kudos
Add Kudos
Bookmarks
Bookmark this Post
_shashank_shekhar_
Hi Experts,
I am bit confused here. Can someone please explain the below mentioned statement.

Bunuel
EgmatQuantExpert
DavidTutorexamPAL

1) this works for both the set 17,18,19,20,21,22,23 (median 20, average 20, 20*6=120) and for the set 13,18,19,21,22,23,24 (median 21, average 20, 21*6=146).

Thanks.
The above example was erroneous - my mistake, corrected it.
User avatar
DavidTutorexamPAL
User avatar
examPAL Representative
Joined: 07 Dec 2017
Last visit: 09 Sep 2020
Posts: 1,002
Own Kudos:
Given Kudos: 26
Posts: 1,002
Kudos: 2,042
Kudos
Add Kudos
Bookmarks
Bookmark this Post
Italiandrummer97
Bunuel
If the average (arithmetic mean) of seven unequal numbers is 20, what is the median of these numbers?

(1) The median of the seven numbers is equal to 1/6 of the sum of the six numbers other than the median.
(2) The sum of the six numbers other than the median is equal to 120.

Time needed: 1min 43s

Datas:
From the question stem, we know:
a) The sum of all the numbers(20*7=140)

Process of elimination:
1)We know that \(\frac{(sum-M)}{6}=M\) , where M=median. Having a single variable equation, we can find M. Sufficient. Eliminate C and E.
2)Using (a), we can compute the median M. Sufficient. Eliminate A and B.

Correct answer: D

DavidTutorexamPAL Sir, are you sure your solution above is correct? Because:
1)21*6= 126
2) We are asked for the specific set with the characteristics given in statement 1. Thus, I think we can compute the expression I and E-gmat came up with.
Of course, this is not to attack you in any way, but if you were to agree with me, could you change your solution, please? I think it could mislead some distracted users :)

You are correct my friend! Thank you for the correction.
I have changed my answer accordingly. :)
Moderators:
Math Expert
109785 posts
498 posts
212 posts