Last visit was: 23 Apr 2026, 15:59 It is currently 23 Apr 2026, 15:59
Close
GMAT Club Daily Prep
Thank you for using the timer - this advanced tool can estimate your performance and suggest more practice questions. We have subscribed you to Daily Prep Questions via email.

Customized
for You

we will pick new questions that match your level based on your Timer History

Track
Your Progress

every week, we’ll send you an estimated GMAT score based on your performance

Practice
Pays

we will pick new questions that match your level based on your Timer History
Not interested in getting valuable practice questions and articles delivered to your email? No problem, unsubscribe here.
Close
Request Expert Reply
Confirm Cancel
User avatar
Bunuel
User avatar
Math Expert
Joined: 02 Sep 2009
Last visit: 23 Apr 2026
Posts: 109,785
Own Kudos:
Given Kudos: 105,853
Products:
Expert
Expert reply
Active GMAT Club Expert! Tag them with @ followed by their username for a faster response.
Posts: 109,785
Kudos: 810,866
 [27]
2
Kudos
Add Kudos
25
Bookmarks
Bookmark this Post
Most Helpful Reply
User avatar
HarshavardhanR
Joined: 16 Mar 2023
Last visit: 23 Apr 2026
Posts: 488
Own Kudos:
576
 [7]
Given Kudos: 67
Status:Independent GMAT Tutor
Affiliations: Ex - Director, Subject Matter Expertise at e-GMAT
Products:
Expert
Expert reply
Active GMAT Club Expert! Tag them with @ followed by their username for a faster response.
Posts: 488
Kudos: 576
 [7]
6
Kudos
Add Kudos
1
Bookmarks
Bookmark this Post
General Discussion
User avatar
imeanup
Joined: 15 Jun 2017
Last visit: 24 Mar 2026
Posts: 452
Own Kudos:
635
 [3]
Given Kudos: 8
Location: India
Posts: 452
Kudos: 635
 [3]
3
Kudos
Add Kudos
Bookmarks
Bookmark this Post
User avatar
Harsh9676
Joined: 18 Sep 2018
Last visit: 27 Feb 2023
Posts: 239
Own Kudos:
228
 [2]
Given Kudos: 322
Location: India
Concentration: Finance, International Business
GMAT 1: 690 Q49 V36
GPA: 3.72
WE:Investment Banking (Finance: Investment Banking)
Products:
GMAT 1: 690 Q49 V36
Posts: 239
Kudos: 228
 [2]
1
Kudos
Add Kudos
1
Bookmarks
Bookmark this Post
IMO D

So the ratio is

==> (3X - 16(3/(3+5)) ) / (5x - 16 (5/(3+5)) + 16) = 1/2

==> 6X - 12 = 5X + 6

==> X = 18

Amount of A = 3X = 3 * 18 = 54 L
User avatar
wishmasterdj
Joined: 04 May 2016
Last visit: 25 Oct 2021
Posts: 91
Own Kudos:
Given Kudos: 10
Location: India
Schools: ISB '18 (A)
GMAT 1: 700 Q48 V37
GPA: 3.2
Schools: ISB '18 (A)
GMAT 1: 700 Q48 V37
Posts: 91
Kudos: 38
Kudos
Add Kudos
Bookmarks
Bookmark this Post
Amount of A in solution = X*3/8
Amount of A taken out = 16*3/8
Resultant Amount of X in solution = X * 1/3

3X/8 - 16*3/8 = X/3
X=144

Calculate X*3/8 for the answer -> 144 * 3/8 = 54
User avatar
rsrighosh
Joined: 13 Jun 2019
Last visit: 11 Dec 2022
Posts: 184
Own Kudos:
137
 [4]
Given Kudos: 645
GMAT 1: 490 Q42 V17
GMAT 2: 550 Q39 V27
GMAT 3: 630 Q49 V27
GMAT 3: 630 Q49 V27
Posts: 184
Kudos: 137
 [4]
2
Kudos
Add Kudos
2
Bookmarks
Bookmark this Post
I used the replacement theory described here
https://www.gmatclub.com/forum/veritas-prep-resource-links-no-longer-available-399979.html#/2012/01 ... -mixtures/

Note that in the entire replacement process,
a) Mixture is homogenous (as its all liquid).Old Mixture:- \(\frac{A}{B}\) = \(\frac{3}{5}\). New mixture = \(\frac{A}{B}\) = \(\frac{1}{2}\)
Therefore old concentration \(A =\frac{ 3}{8}, B = \frac{5}{8}\).... Volume = \(8x\)
b) Quantity of A is untouched (constant) => \(\frac{3}{8}\) in 8x will be changed to \(\frac{1}{3}\) after \(16\)L of B is replaced by pure melted chocolate
c) quantity of B is varying (B is being added to change the concentration)

Hence going by the replacement formula,
we have to go by A (constant)

Ci*Vi = Cf*Vf
\(\frac{3}{8}(8x-16) = \frac{1}{3 }8x\)
x=\(\frac{144}{8}\) = \(18\)
AInitial Volume = \(18*3\) =\( 54\)L

Answer: D
User avatar
sujoykrdatta
Joined: 26 Jun 2014
Last visit: 22 Apr 2026
Posts: 587
Own Kudos:
1,191
 [1]
Given Kudos: 14
Status:Mentor & Coach | GMAT Q51 | CAT 99.98
GMAT 1: 740 Q51 V39
Expert
Expert reply
GMAT 1: 740 Q51 V39
Posts: 587
Kudos: 1,191
 [1]
1
Kudos
Add Kudos
Bookmarks
Bookmark this Post
Bunuel
A can contains a mixture of two liquids A and B in proportion 3:5. When 16 L of mixture is drawn off and the same quantity of B is added, then the proportion of A and B becomes 1 : 2. How many litres of liquid A was contained by the can initially?

(A) 25 L
(B) 38 L
(C) 45 L
(D) 54 L
(E) 108 L


There are many ways to do this. Let's discuss 2 such methods:

Method 1 (More logic based): After removal of the mixture, the ratio of A and B does NOT change. Thus, we still have A : B = 3 : 5
We now add B and the ratio changes to 1 : 2
However, we must keep the value for A unchanged since we did not change A while adding B.
Thus, we rewrite the new ratio of A : B as 3 : 6
Hence, we see that B has increased by 1. But, we know that this '1' actually represents 16L
Thus, A : B = 3 : 5 implies that A + B was '8', which actually equals 16 x 8 = 128L
This is AFTER 16L of the mix was removed.
Thus, the initial volume was 128 + 16 = 144L
Hence, volume of A = 3/(3+5) * 144 = 3 * 18 = 54L

Answer D


Method 2 (Alligation - anyone?): After removal of the mixture, the ratio of A and B does NOT change. Thus, we still have A : B = 3 : 5

Initial proportion of A = 3/8
Proportion of A added = 0
Final proportion of A = 1/3
Thus, we have:
Attachment:
1.png
1.png [ 8.2 KiB | Viewed 12749 times ]

Answer D
avatar
anniaustin
Joined: 18 Dec 2019
Last visit: 03 May 2022
Posts: 26
Own Kudos:
10
 [1]
Given Kudos: 16
Posts: 26
Kudos: 10
 [1]
1
Kudos
Add Kudos
Bookmarks
Bookmark this Post
Let initial total = x lts
We need to find out 3x/8

After the substitution of 16 lts,
remaining A = 3(x-16)/8
remaining B = 5(x-16)/8 + 16
ratio of remaining A and remaining B = 1/2
Solving for x, x=144
So 3x/8 = 54

Answer is D
User avatar
Mehta17
Joined: 08 Oct 2024
Last visit: 04 Jan 2026
Posts: 17
Own Kudos:
10
 [1]
Given Kudos: 41
Posts: 17
Kudos: 10
 [1]
1
Kudos
Add Kudos
Bookmarks
Bookmark this Post
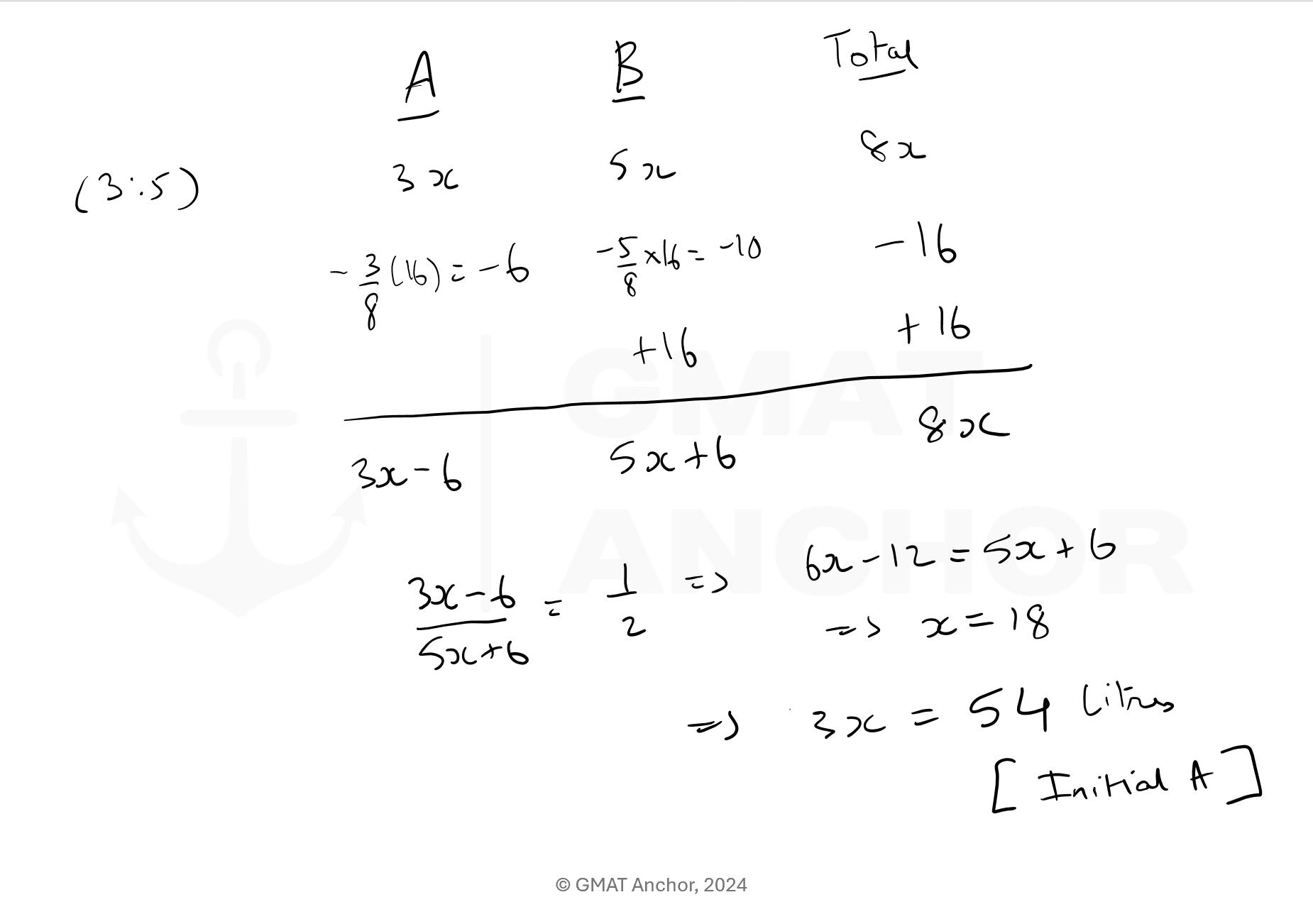
3X : 5X
3x-6 : 5x-10 (removed in proportion of 3:5)
3x-6 + 0 : 5x-10+16
3x-6: 5x+6 = 1:2
x = 18
3x = 54
Moderators:
Math Expert
109785 posts
Tuck School Moderator
853 posts