Last visit was: 23 Apr 2026, 00:41 It is currently 23 Apr 2026, 00:41
Close
GMAT Club Daily Prep
Thank you for using the timer - this advanced tool can estimate your performance and suggest more practice questions. We have subscribed you to Daily Prep Questions via email.

Customized
for You

we will pick new questions that match your level based on your Timer History

Track
Your Progress

every week, we’ll send you an estimated GMAT score based on your performance

Practice
Pays

we will pick new questions that match your level based on your Timer History
Not interested in getting valuable practice questions and articles delivered to your email? No problem, unsubscribe here.
Close
Request Expert Reply
Confirm Cancel
User avatar
siddhantvarma
Joined: 12 May 2024
Last visit: 12 Jan 2026
Posts: 534
Own Kudos:
812
 [9]
Given Kudos: 197
GMAT Focus 1: 655 Q87 V85 DI76
GMAT Focus 1: 655 Q87 V85 DI76
Posts: 534
Kudos: 812
 [9]
Kudos
Add Kudos
9
Bookmarks
Bookmark this Post
User avatar
HarshavardhanR
Joined: 16 Mar 2023
Last visit: 22 Apr 2026
Posts: 488
Own Kudos:
576
 [2]
Given Kudos: 67
Status:Independent GMAT Tutor
Affiliations: Ex - Director, Subject Matter Expertise at e-GMAT
Products:
Expert
Expert reply
Active GMAT Club Expert! Tag them with @ followed by their username for a faster response.
Posts: 488
Kudos: 576
 [2]
1
Kudos
Add Kudos
1
Bookmarks
Bookmark this Post
User avatar
Rohit_842
Joined: 01 Feb 2024
Last visit: 23 Apr 2026
Posts: 118
Own Kudos:
Given Kudos: 117
Posts: 118
Kudos: 33
Kudos
Add Kudos
Bookmarks
Bookmark this Post
User avatar
HarshavardhanR
Joined: 16 Mar 2023
Last visit: 22 Apr 2026
Posts: 488
Own Kudos:
576
 [1]
Given Kudos: 67
Status:Independent GMAT Tutor
Affiliations: Ex - Director, Subject Matter Expertise at e-GMAT
Products:
Expert
Expert reply
Active GMAT Club Expert! Tag them with @ followed by their username for a faster response.
Posts: 488
Kudos: 576
 [1]
1
Kudos
Add Kudos
Bookmarks
Bookmark this Post
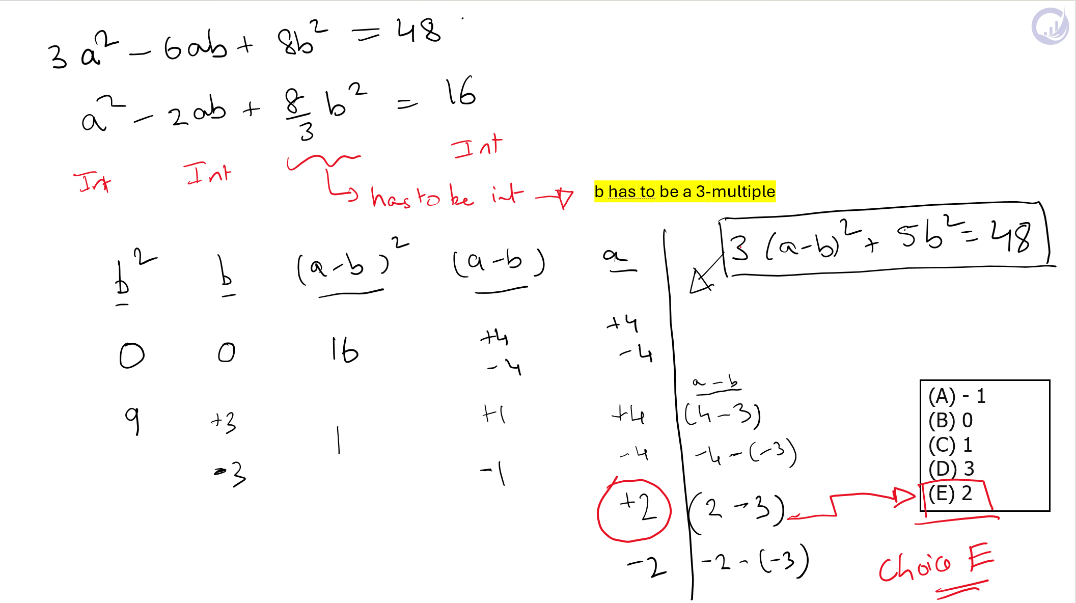
Hey Rohit,

I am using the original equation -> 3 \((a-b)^2\) + \(5b^2\) = 48

(1) When \(b^2\) = 0

3 \((a-b)^2\) + 0 = 48

=> \((a-b)^2\) = 16

(2) When \(b^2\) = 9

3 \((a-b)^2\) + 45 = 48

=> \((a-b)^2\) = 1

Hope this helps.

---
Harsha
Rohit_842
HarshavardhanR

How did you get (a-b)^2 values as 16, 1 and so on

HarshavardhanR


Above is one way to solve this question

One important inference for me was that b has to be a 3-multiple here, given the integer constraints. We can use this information to figure out the possible values of "a" and "b" as shown. We can keep iterating till we arrive at a value of "a" that is in the options. Here the second iteration with \(b^2\) = 9 gave us "2" as a possible "a" value. Which is choice E.

---
Harsha
Attachment:
GMAT-Club-Forum-vh0iehew.png
User avatar
N0BU
Joined: 04 Aug 2024
Last visit: 28 Mar 2026
Posts: 28
Own Kudos:
16
 [2]
Given Kudos: 89
Posts: 28
Kudos: 16
 [2]
1
Kudos
Add Kudos
1
Bookmarks
Bookmark this Post
siddhantvarma
If a and b are integers, and if \(3( a − b )^2 + 5b^2 = 48\) , which of the following could be the value of a ?

(A) - 1
(B) 0
(C) 1
(D) 3
(E) 2
Sharing a quick solution, let me know if you guys see any caveats in this --

Both (3(a-b)^2) and (5b^2) are either even or odd. Since their sum 48 is even, they must have the same parity.

That forces (b) and (a-b) to be either both even or both odd - in either case (a) is even. So only (a=0) or (a=2) are possible from the list.

Test (a=0): 3b^2+5b^2=8b^2=48 => b^2=6 --- not an integer.

So Answer = 2
Moderators:
Math Expert
109763 posts
Tuck School Moderator
853 posts