Last visit was: 23 Apr 2026, 16:41 It is currently 23 Apr 2026, 16:41
Close
GMAT Club Daily Prep
Thank you for using the timer - this advanced tool can estimate your performance and suggest more practice questions. We have subscribed you to Daily Prep Questions via email.

Customized
for You

we will pick new questions that match your level based on your Timer History

Track
Your Progress

every week, we’ll send you an estimated GMAT score based on your performance

Practice
Pays

we will pick new questions that match your level based on your Timer History
Not interested in getting valuable practice questions and articles delivered to your email? No problem, unsubscribe here.
Close
Request Expert Reply
Confirm Cancel
User avatar
RonPurewal
Joined: 15 Nov 2013
Last visit: 19 Apr 2026
Posts: 195
Own Kudos:
1,357
 [3]
Given Kudos: 24
GMAT Focus 1: 805 Q90 V90 DI90
GMAT 1: 800 Q51 V51
GRE 1: Q170 V170
GRE 2: Q170 V170
Expert
Expert reply
GMAT Focus 1: 805 Q90 V90 DI90
GMAT 1: 800 Q51 V51
GRE 1: Q170 V170
GRE 2: Q170 V170
Posts: 195
Kudos: 1,357
 [3]
1
Kudos
Add Kudos
2
Bookmarks
Bookmark this Post
Most Helpful Reply
User avatar
RonPurewal
Joined: 15 Nov 2013
Last visit: 19 Apr 2026
Posts: 195
Own Kudos:
Given Kudos: 24
GMAT Focus 1: 805 Q90 V90 DI90
GMAT 1: 800 Q51 V51
GRE 1: Q170 V170
GRE 2: Q170 V170
Expert
Expert reply
GMAT Focus 1: 805 Q90 V90 DI90
GMAT 1: 800 Q51 V51
GRE 1: Q170 V170
GRE 2: Q170 V170
Posts: 195
Kudos: 1,357
Kudos
Add Kudos
Bookmarks
Bookmark this Post
General Discussion
User avatar
Dereno
Joined: 22 May 2020
Last visit: 23 Apr 2026
Posts: 1,398
Own Kudos:
1,373
 [1]
Given Kudos: 425
Products:
Posts: 1,398
Kudos: 1,373
 [1]
1
Kudos
Add Kudos
Bookmarks
Bookmark this Post
User avatar
aditya1818
Joined: 22 Mar 2025
Last visit: 23 Apr 2026
Posts: 81
Own Kudos:
48
 [3]
Given Kudos: 15
Posts: 81
Kudos: 48
 [3]
3
Kudos
Add Kudos
Bookmarks
Bookmark this Post
Let First score be f
second score= f+s
third score= f+s-t
fourth score= f+s-t+u =N (as per the question)

But before doing anything, I assumed his first score=100, second score=100, third score=100 and fourth score=100
thus avg score must be 100 as per my above assumption and t,s,u all will be 0 and N will be also equal to 100
This straight away eliminated A, C and D : This was very quick

Now I started with my variables and saw that options doesn't include "f" and I sensed that I need to get rid of "f"
so from f+s-t+u = N, I have substituted "f" in the 1st,2nd and 3rd score which boiled down to as below:
First score = N+t-s-u
second score= N+t-u
third score= N-u
fourth score=N

Now the average clearly from the above is as per option (B)
User avatar
Dereno
Joined: 22 May 2020
Last visit: 23 Apr 2026
Posts: 1,398
Own Kudos:
1,373
 [1]
Given Kudos: 425
Products:
Posts: 1,398
Kudos: 1,373
 [1]
1
Kudos
Add Kudos
Bookmarks
Bookmark this Post
aditya1818
Let First score be f
second score= f+s
third score= f+s-t
fourth score= f+s-t+u =N (as per the question)

But before doing anything, I assumed his first score=100, second score=100, third score=100 and fourth score=100
thus avg score must be 100 as per my above assumption and t,s,u all will be 0 and N will be also equal to 100
This straight away eliminated A, C and D : This was very quick

Now I started with my variables and saw that options doesn't include "f" and I sensed that I need to get rid of "f"
so from f+s-t+u = N, I have substituted "f" in the 2nd,3rd and 4th score which boiled down to as below:
First score = N+t-s-u
second score= N+t-u
third score= N-u
fourth score=N

Now the average clearly from the above is as per option (B)


But before doing anything, I assumed his first score=100, second score=100, third score=100 and fourth score=100
thus avg score must be 100 as per my above assumption and t,s,u all will be 0 and N will be also equal to 100
This straight away eliminated A, C and D : This was very quick.

During crunch times, this approach might be very effective to narrow down to two options. 😊 nice one.

My mind stuck to the standard algebraic route. If there were numbers my approach could have differed.
User avatar
aditya1818
Joined: 22 Mar 2025
Last visit: 23 Apr 2026
Posts: 81
Own Kudos:
48
 [1]
Given Kudos: 15
Posts: 81
Kudos: 48
 [1]
1
Kudos
Add Kudos
Bookmarks
Bookmark this Post
@Dereno

You know what makes Quant more interesting is that sometimes you can compare "units" also. Although this questions doesn't help with that but I have come across few questions that might help by simply comparing units.

For eg: Suppose the question mentioned distance, time, Price and all in terms of variables and then question asks find the "xyz distance" and then options will be presented by these variables.

You can boil down or even solve by merely checking the units of the options. Checking whether options (A,B,C,D,E) corresponds to the unit of distance. This is very much intuitive to me but this helps me when all my weapons and reasoning are down. These provides some valuable edge to some lethal questions.

Dereno



But before doing anything, I assumed his first score=100, second score=100, third score=100 and fourth score=100
thus avg score must be 100 as per my above assumption and t,s,u all will be 0 and N will be also equal to 100
This straight away eliminated A, C and D : This was very quick.

During crunch times, this approach might be very effective to narrow down to two options. 😊 nice one.

My mind stuck to the standard algebraic route. If there were numbers my approach could have differed.
User avatar
NIKKtheSolver33
Joined: 24 Nov 2025
Last visit: 16 Apr 2026
Posts: 7
Own Kudos:
Given Kudos: 30
Posts: 7
Kudos: 1
Kudos
Add Kudos
Bookmarks
Bookmark this Post
RonPurewal
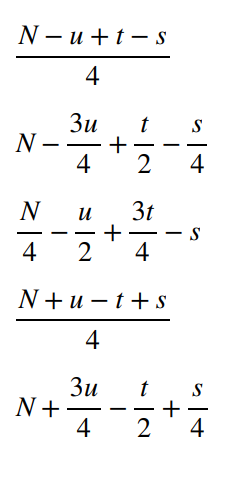
Gastón took a certain standardized test four times. His score improved by s points from his first try to his second; fell by t points from his second try to his third; and improved by u points from his third try to his fourth. If Gastón’s score on his final attempt was N points, which of the following expressions represents the average (arithmetic mean) of all four of Gastón’s scores?

A. \(\frac{N - u + t - s}{4}\)

B. \(N - \frac{3u}{4 }+ \frac{t}{2} - \frac{s}{4}\)

C. \(\frac{N}{4} - \frac{u}{2} + \frac{3t}{4} - s\)

D. \(\frac{N + u - t + s}{4}\)

E. \(N + \frac{3u}{4} - \frac{t}{2} + \frac{s}{4}\)

Attachment:
GMAT-Club-Forum-qs3j1dew.png

Let's start by writing the scores, assuming in his first attempt Gastón took a score of A points.
Attempts and scores:

1: A
2: A+s
3: (A+s)-t
4: ((A+s)-t)+u = N

We know that his score on the fourth attempt equals N points.
Looking at the answer choiches we see that we must work using the variable N, and not A.
Let's equals Gastón scores using the new variable N instead of A.

4: N
3: N-u
2: N-u+t
1: N-u+t-s (Nuts?)

To calculate the arithmetic mean of all his scores we have to sum them and divide by 4.

Total Sum = N + N-u + N-u+t + N-u+t-s = 4N-3u+2t-s
Average = (4N-3u+2t-s) / 4 = N - (3/4)u + (1/2)t - s/4

Answer B.
User avatar
Edskore
Joined: 29 Dec 2022
Last visit: 23 Apr 2026
Posts: 273
Own Kudos:
Given Kudos: 5
Posts: 273
Kudos: 128
Kudos
Add Kudos
Bookmarks
Bookmark this Post
This is a really clean Algebraic Translation problem — it looks intimidating because of the variable-heavy answer choices, but once you build the scores systematically, it falls into place fast.

Key concept being tested: Algebraic Translation + Arithmetic Mean

The common trap here is expressing all four scores from the first attempt, which creates a messy expression. The smarter move is to work backward from N — the score you're given — since N is your anchor.

Step 1: Name the four scores.
We know the 4th score is N. Work backward:
- Score 4 = N
- Score 3 = N − u (because score improved by u going from 3rd to 4th)
- Score 2 = N − u + t (score fell by t going from 2nd to 3rd)
- Score 1 = N − u + t − s (score improved by s going from 1st to 2nd)

Step 2: Sum the four scores.
Sum = (N − u + t − s) + (N − u + t) + (N − u) + N
= 4N − 3u + 2t − s

Step 3: Divide by 4 to get the mean.
Mean = (4N − 3u + 2t − s) / 4
= N − 3u/4 + t/2 − s/4

That's answer choice B.

Why the trap works: If you start from Score 1 forward, you get a correct but much messier expression — and under time pressure, students make sign errors or lose track of which variable goes where. Anchoring to N and working backward keeps the algebra tight and avoids that.

Takeaway: When a GMAT problem gives you the last value in a sequence, anchoring to it and working backward almost always simplifies the algebra.

---
Kavya | 725 GMAT Focus | Free gamified GMAT prep: edskore.com
User avatar
Navdeep2000
Joined: 03 May 2024
Last visit: 30 Mar 2026
Posts: 40
Own Kudos:
Given Kudos: 31
Posts: 40
Kudos: 31
Kudos
Add Kudos
Bookmarks
Bookmark this Post
Let x be the initial text score Gastón gets on his first our four tests.
Accordingly, we can find his next tests score based on the info given to us.

Test 2 : (x+s)
Test 3 : (x+s-t)
Test 4 : (x+s-t+u) which equals N, as per the given

Now, that we have all the test scores, we can solve for x and finally work on his average score.

(x)+(x+s)+ (x+s-t)+(x+s-t+u)/4

Plugging in the value for x, we get this :
((N-s+t-u)+(N+t-u)+(N-u)+N)/4

Upon solving this : (4N-s+2t-3u)/4, which is the same as writing (N)+(3u/4)-(t/2)-(s/4). Option B

RonPurewal
Gastón took a certain standardized test four times. His score improved by s points from his first try to his second; fell by t points from his second try to his third; and improved by u points from his third try to his fourth. If Gastón’s score on his final attempt was N points, which of the following expressions represents the average (arithmetic mean) of all four of Gastón’s scores?

A. \(\frac{N - u + t - s}{4}\)

B. \(N - \frac{3u}{4 }+ \frac{t}{2} - \frac{s}{4}\)

C. \(\frac{N}{4} - \frac{u}{2} + \frac{3t}{4} - s\)

D. \(\frac{N + u - t + s}{4}\)

E. \(N + \frac{3u}{4} - \frac{t}{2} + \frac{s}{4}\)

Attachment:
GMAT-Club-Forum-qs3j1dew.png
Moderators:
Math Expert
109785 posts
Tuck School Moderator
853 posts