Last visit was: 25 Apr 2026, 13:45 It is currently 25 Apr 2026, 13:45
Close
GMAT Club Daily Prep
Thank you for using the timer - this advanced tool can estimate your performance and suggest more practice questions. We have subscribed you to Daily Prep Questions via email.

Customized
for You

we will pick new questions that match your level based on your Timer History

Track
Your Progress

every week, we’ll send you an estimated GMAT score based on your performance

Practice
Pays

we will pick new questions that match your level based on your Timer History
Not interested in getting valuable practice questions and articles delivered to your email? No problem, unsubscribe here.
Close
Request Expert Reply
Confirm Cancel
User avatar
pacifist85
Joined: 07 Apr 2014
Last visit: 20 Sep 2015
Posts: 322
Own Kudos:
459
 [28]
Given Kudos: 169
Status:Math is psycho-logical
Location: Netherlands
GMAT Date: 02-11-2015
WE:Psychology and Counseling (Other)
Posts: 322
Kudos: 459
 [28]
4
Kudos
Add Kudos
24
Bookmarks
Bookmark this Post
Most Helpful Reply
User avatar
Bunuel
User avatar
Math Expert
Joined: 02 Sep 2009
Last visit: 25 Apr 2026
Posts: 109,831
Own Kudos:
811,264
 [5]
Given Kudos: 105,886
Products:
Expert
Expert reply
Active GMAT Club Expert! Tag them with @ followed by their username for a faster response.
Posts: 109,831
Kudos: 811,264
 [5]
2
Kudos
Add Kudos
3
Bookmarks
Bookmark this Post
General Discussion
User avatar
pacifist85
Joined: 07 Apr 2014
Last visit: 20 Sep 2015
Posts: 322
Own Kudos:
459
 [2]
Given Kudos: 169
Status:Math is psycho-logical
Location: Netherlands
GMAT Date: 02-11-2015
WE:Psychology and Counseling (Other)
Posts: 322
Kudos: 459
 [2]
1
Kudos
Add Kudos
1
Bookmarks
Bookmark this Post
User avatar
pacifist85
Joined: 07 Apr 2014
Last visit: 20 Sep 2015
Posts: 322
Own Kudos:
Given Kudos: 169
Status:Math is psycho-logical
Location: Netherlands
GMAT Date: 02-11-2015
WE:Psychology and Counseling (Other)
Posts: 322
Kudos: 459
Kudos
Add Kudos
Bookmarks
Bookmark this Post
I was wondering if it was necessary to go through this.

For example, we know that the probability of heads (or tails) is 1/2. To find how this probability changes according to the times we flip, we increase to the respective power. So, for 2 flips it would be (1/2)^2 = 1/4.

Now, to find the least number of flips that would produce a probability of less than 0.01%, couldn't we just plug in the higest number and see if it works?

So, we could do: (1/2)^14. We can relatively quickly find that 2^14= 16384. If we divide 1 by 16384 we end up with 0.000..., which is where we can stop the calculation, as it already is ower than 0.001.

Is this right?
User avatar
Lucky2783
Joined: 07 Aug 2011
Last visit: 08 May 2020
Posts: 415
Own Kudos:
2,109
 [1]
Given Kudos: 75
Concentration: International Business, Technology
GMAT 1: 630 Q49 V27
GMAT 1: 630 Q49 V27
Posts: 415
Kudos: 2,109
 [1]
Kudos
Add Kudos
1
Bookmarks
Bookmark this Post
pacifist85
Randy is going to flip a coin x times. What is the minimum value of x for which the probability that he flips all heads is less than 0.01%?

A. 10
B. 11
C. 12
D. 13
E. 14


\(P(H) = 1/2\)
if she flips X times, the probability of all HEADS is \((1/2)^x\)
question is asking
\(if (1/2)^x < 1/10000\) , what is the minimum value of x ?
\(x=14\)
Option E
User avatar
EMPOWERgmatRichC
User avatar
Major Poster
Joined: 19 Dec 2014
Last visit: 31 Dec 2023
Posts: 21,777
Own Kudos:
Given Kudos: 450
Status:GMAT Assassin/Co-Founder
Affiliations: EMPOWERgmat
Location: United States (CA)
GMAT 1: 800 Q51 V49
GRE 1: Q170 V170
Expert
Expert reply
GMAT 1: 800 Q51 V49
GRE 1: Q170 V170
Posts: 21,777
Kudos: 13,051
Kudos
Add Kudos
Bookmarks
Bookmark this Post
Hi pacifist85,

The question asks us to find the MINIMUM number of flips that will yield the desired result. By definition, the largest answer MUST be less than .01%, but we won't immediately know if that answer is the minimum answer.

The work that you would do to prove that 2^14 is less than .01% is essentially a 'step-by-step' calculation, so you should be able to tell if 2^12 or 2^13 was small enough (once you got to those 'steps' in the calculation). Since you're 'counting doubles' anyway, there's really not much of difference between what you're talking about and what the official solution provides.

GMAT assassins aren't born, they're made,
Rich
User avatar
mvictor
User avatar
Board of Directors
Joined: 17 Jul 2014
Last visit: 14 Jul 2021
Posts: 2,118
Own Kudos:
Given Kudos: 236
Location: United States (IL)
Concentration: Finance, Economics
GMAT 1: 650 Q49 V30
GPA: 3.92
WE:General Management (Transportation)
Products:
GMAT 1: 650 Q49 V30
Posts: 2,118
Kudos: 1,277
Kudos
Add Kudos
Bookmarks
Bookmark this Post
pacifist85
Randy is going to flip a coin x times. What is the minimum value of x for which the probability that he flips all heads is less than 0.01%?

A. 10
B. 11
C. 12
D. 13
E. 14

less than 0.01 = 1/100 * 1/100 = 1/10,000
(1/2)^2 = 1/4
^3 = 1/8
^4 = 1/16
^5 = 1/32
^6 = 1/64
^7 = 1/128
^8 = 1/256
^9 = 1/512
^10 = 1/1024 - A is out
^11 = 1/2048 - B is out
^12 = 1/4096 - C is out
^13 = 1/8192 - D is out

the answer must be E.

alternatively, we should know that 2^10 = 1024. - and we can start from there...
User avatar
AnisMURR
Joined: 02 Aug 2014
Last visit: 01 Apr 2026
Posts: 80
Own Kudos:
261
 [1]
Given Kudos: 22
Status:Quant Expert Q51
Posts: 80
Kudos: 261
 [1]
1
Kudos
Add Kudos
Bookmarks
Bookmark this Post
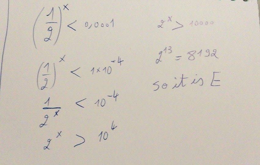
Here is a detailed solution.

Please don't hesitate if you have any question

Anis
Attachments

cvvbcvb.jpg
cvvbcvb.jpg [ 95.99 KiB | Viewed 9432 times ]

User avatar
bumpbot
User avatar
Non-Human User
Joined: 09 Sep 2013
Last visit: 04 Jan 2021
Posts: 38,985
Own Kudos:
Posts: 38,985
Kudos: 1,118
Kudos
Add Kudos
Bookmarks
Bookmark this Post
Automated notice from GMAT Club BumpBot:

A member just gave Kudos to this thread, showing it’s still useful. I’ve bumped it to the top so more people can benefit. Feel free to add your own questions or solutions.

This post was generated automatically.
Moderators:
Math Expert
109831 posts
Tuck School Moderator
852 posts