Last visit was: 24 Apr 2026, 00:17 It is currently 24 Apr 2026, 00:17
Close
GMAT Club Daily Prep
Thank you for using the timer - this advanced tool can estimate your performance and suggest more practice questions. We have subscribed you to Daily Prep Questions via email.

Customized
for You

we will pick new questions that match your level based on your Timer History

Track
Your Progress

every week, we’ll send you an estimated GMAT score based on your performance

Practice
Pays

we will pick new questions that match your level based on your Timer History
Not interested in getting valuable practice questions and articles delivered to your email? No problem, unsubscribe here.
Close
Request Expert Reply
Confirm Cancel
User avatar
fskilnik
Joined: 12 Oct 2010
Last visit: 03 Jan 2025
Posts: 883
Own Kudos:
1,882
 [56]
Given Kudos: 57
Status:GMATH founder
Expert
Expert reply
Posts: 883
Kudos: 1,882
 [56]
Kudos
Add Kudos
55
Bookmarks
Bookmark this Post
Most Helpful Reply
User avatar
CounterSniper
Joined: 20 Feb 2015
Last visit: 14 Apr 2023
Posts: 611
Own Kudos:
859
 [5]
Given Kudos: 74
Concentration: Strategy, General Management
Posts: 611
Kudos: 859
 [5]
5
Kudos
Add Kudos
Bookmarks
Bookmark this Post
General Discussion
avatar
mitrakaushi
Joined: 03 Apr 2017
Last visit: 23 Apr 2026
Posts: 42
Own Kudos:
85
 [3]
Given Kudos: 38
Posts: 42
Kudos: 85
 [3]
2
Kudos
Add Kudos
1
Bookmarks
Bookmark this Post
User avatar
fskilnik
Joined: 12 Oct 2010
Last visit: 03 Jan 2025
Posts: 883
Own Kudos:
1,882
 [4]
Given Kudos: 57
Status:GMATH founder
Expert
Expert reply
Posts: 883
Kudos: 1,882
 [4]
4
Kudos
Add Kudos
Bookmarks
Bookmark this Post
fskilnik
M. Poirot and Miss Marple walk into a turned-off escalator to realize that he is able to walk 3 steps during the time she needs to walk only 2. When the escalator is turned-on and it is already working at constant speed, M. Poirot enters again the escalator to realize he needs to take 25 steps to go through it, while Miss Marple realizes she needs only 20 steps to reach its end (at the very same conditions). How many steps are there on the escalator?

(A) 40
(B) 50
(C) 60
(D) 70
(E) It cannot be determined by the information given

(I met this beautiful problem - wording slightly modified - in 2010. It was posted by Saurabh Goyal.)

Thank you for joining me at my FIRST "new post" here, after "leaving" this wonderful community in 2010/2011 to focus on my online classes (at that time only in Portuguese).

From now on, I hope I will be able to help and learn a lot from you all.

The first solution I would like to present (below) has many elements in common with both solutions posted above. It was created by Rahul (from GuroMe), someone who (at that time) posted some beautiful problems/solutions. We will see an example of his competence (and clearness) below!

(I hope he is well... if someone knows him, please send my best regards to him!)

--------------------------------------------------------------------------------------------------
Treat the problem as a speed-distance problem where time is not same for the two cases, but distance is.

Say, the total number of steps = n and the speed of the escalator = x steps/min.
Speed of A = 3 steps/min and speed of B = 2 steps/min (A = M.Poirot, B = Miss Marple)

Now A has taken 25 steps. Time taken by A = 25/3 min
Thus, n = (Combined speed of A and escalator)*(25/3) = (3 + x)*(25/3)

Now B has taken 20 steps. Time taken by B = 20/2 min = 10 min
Thus, n = (Combined speed of B and escalator)*(10) = (2 + x)*(10)

So, (3 + x)*(25/3) = (2 + x)*(10)
=> (3 + x)*(25) = (2 + x)*(30)
=> (75 + 25x) = (60 + 30x)
=> 5x = 15
=> x = 3

Replacing x = 3 in any of the individual equation results n = 50.
--------------------------------------------------------------------------------------------------

I will wait a bit longer to wait for additional contributions before I post my own way of looking into this "Agatha Christie´s mystery". :)

Regards,
fskilnik.
User avatar
GMATGuruNY
Joined: 04 Aug 2010
Last visit: 02 Apr 2026
Posts: 1,347
Own Kudos:
3,905
 [2]
Given Kudos: 9
Schools:Dartmouth College
Expert
Expert reply
Posts: 1,347
Kudos: 3,905
 [2]
2
Kudos
Add Kudos
Bookmarks
Bookmark this Post
fskilnik
M. Poirot and Miss Marple walk into a turned-off escalator to realize that he is able to walk 3 steps during the time she needs to walk only 2. When the escalator is turned-on and it is already working at constant speed, M. Poirot enters again the escalator to realize he needs to take 25 steps to go through it, while Miss Marple realizes she needs only 20 steps to reach its end (at the very same conditions). How many steps are there on the escalator?

(A) 40
(B) 50
(C) 60
(D) 70
(E) It cannot be determined by the information given

Let P = Poirot's rate, M = Marple's rate, and E = the escalator's rate.
Since P travels 3 steps for every 2 steps that M travels:
\(\frac{P}{M} = \frac{3}{2}\)

Ratios can be MULTIPLIED:
\(\frac{P}{E} * \frac{E}{M} = \frac{P}{M}\)
Since \(\frac{P}{M} = \frac{3}{2}\), we get:
\(\frac{P}{E} * \frac{E}{M} = \frac{3}{2}\)

We can PLUG IN THE ANSWERS, which represent the number of steps on the escalator.
When the correct answer is plugged in, \(\frac{P}{E}* \frac{E}{M} = \frac{3}{2}\)
Start with an answer choice in the middle (B or C).


Answer choice C: 60 steps
Since P travels 25 steps to reach the top -- and the entire journey is 60 steps -- the escalator must travel 35 steps during P's journey, implying that \(\frac{P}{E} = \frac{25}{35} = \frac{5}{7}\)
Since M travels 20 steps to reach the top -- and the entire journey is 60 steps -- the escalator must travel 40 steps during M's journey, implying that \(\frac{E}{M} = \frac{40}{20} = 2\)
\(\frac{P}{E} * \frac{E}{M} = \frac{5}{7} * 2 = \frac{10}{7}\)
In this case, the resulting ratio is TOO SMALL.


Answer choice A: 40 steps
Since P travels 25 steps to reach the top -- and the entire journey is 40 steps -- the escalator must travel 15 steps during P's journey, implying that \(\frac{P}{E} = \frac{25}{15} = \frac{5}{3}\)
Since M travels 20 steps to reach the top -- and the entire journey is 40 steps -- the escalator must travel 20 steps during M's journey, implying that \(\frac{E}{M} = \frac{20}{20} = 1\)
\(\frac{P}{E} * \frac{E}{M} = \frac{5}{3} * 1 = \frac{5}{3}\)
In this case, the resulting ratio is TOO BIG.


Since C yields a result that is TOO SMALL, while A yields a result that is TOO BIG, the correct answer must be BETWEEN C AND A.


Answer choice B: 50 steps
Since P travels 25 steps to reach the top -- and the entire journey is 50 steps -- the escalator must travel 25 steps during P's journey, implying that \(\frac{P}{E} = \frac{25}{25} = 1\)
Since M travels 20 steps to reach the top -- and the entire journey is 50 steps -- the escalator must travel 30 steps during M's journey, implying that \(\frac{E}{M} = \frac{30}{20} = \frac{3}{2}\)
\(\frac{P}{E} * \frac{E}{M} = 1 * \frac{3}{2} = \frac{3}{2}\)
Success!
User avatar
GMATGuruNY
Joined: 04 Aug 2010
Last visit: 02 Apr 2026
Posts: 1,347
Own Kudos:
3,905
 [3]
Given Kudos: 9
Schools:Dartmouth College
Expert
Expert reply
Posts: 1,347
Kudos: 3,905
 [3]
1
Kudos
Add Kudos
2
Bookmarks
Bookmark this Post
fskilnik
M. Poirot and Miss Marple walk into a turned-off escalator to realize that he is able to walk 3 steps during the time she needs to walk only 2. When the escalator is turned-on and it is already working at constant speed, M. Poirot enters again the escalator to realize he needs to take 25 steps to go through it, while Miss Marple realizes she needs only 20 steps to reach its end (at the very same conditions). How many steps are there on the escalator?

(A) 40
(B) 50
(C) 60
(D) 70
(E) It cannot be determined by the information given

Algebraic approach:

Let P = Poirot's rate, M = Marple's rate, and E = the escalator's rate.
Since P travels 3 steps for every 2 steps that M travels:
\(\frac{P}{M} = \frac{3}{2}\)

Ratios can be MULTIPLIED:
\(\frac{P}{E} * \frac{E}{M} = \frac{P}{M}\)

Since \(\frac{P}{M} = \frac{3}{2}\), we get:
\(\frac{P}{E} * \frac{E}{M} = \frac{3}{2}\)

Let x = the number of steps on the escalator.

When Poirot travels 25 steps, the number of steps traveled by the escalator = x-25.
Thus:
\(\frac{P}{E} = \frac{25}{x-25}\)

When Marple travels 20 steps, the number of steps traveled by the escalator = x-20.
Thus:
\(\frac{E}{M}= \frac{x-20}{20}\)


Substituting \(\frac{P}{E} = \frac{25}{x-25}\) and \(\frac{E}{M}= \frac{x-20}{20}\) into \(\frac{P}{E} * \frac{E}{M} = \frac{3}{2}\), we get:

\(\frac{25}{x-25} * \frac{x-20}{20} = \frac{3}{2}\)

\(\frac{25}{20} * \frac{x-25}{x-20} = \frac{3}{2}\)

\(\frac{5}{4} * \frac{x-20}{x-25} = \frac{3}{2}\)

\(\frac{x-20}{x-25} = \frac{12}{10}\)

\(\frac{x-20}{x-25} = \frac{6}{5}\)

\(5x - 100 = 6x - 150\)

\(50 = x\)

User avatar
fskilnik
Joined: 12 Oct 2010
Last visit: 03 Jan 2025
Posts: 883
Own Kudos:
Given Kudos: 57
Status:GMATH founder
Expert
Expert reply
Posts: 883
Kudos: 1,882
Kudos
Add Kudos
Bookmarks
Bookmark this Post
fskilnik
M. Poirot and Miss Marple walk into a turned-off escalator to realize that he is able to walk 3 steps during the time she needs to walk only 2. When the escalator is turned-on and it is already working at constant speed, M. Poirot enters again the escalator to realize he needs to take 25 steps to go through it, while Miss Marple realizes she needs only 20 steps to reach its end (at the very same conditions). How many steps are there on the escalator?

(A) 40
(B) 50
(C) 60
(D) 70
(E) It cannot be determined by the information given

Hi, Mitch! Thank you for joining here, with two very nice solutions, by the way. (I remember your excellent posts from the "good old times", too. And I see you have not lost your power and competence... marvellous for all the GMAT community!)

Well, let me add still another approach... and start with some previous considerations:

M. Poirot (P) and Miss Marple (M) are "pushed" by the elevator (E) when it is turned-on. The fact time passes for all of them simultaneously (as Rahul wisely mentioned at first), allows us to use (for any given period of time) the direct proportionality of velocity (speed) V and distance (in steps) D... with that in mind, please note that:

If Vp : Ve = 2 : 1 (for instance) , then Dp : De = 2 : 1 and Dp = 2/(1+2) DpUe , I mean, the distance travelled by M.Poirot (Dp =number of steps he really walks) is 2/3 of the distance travelled by "Poirot + escalator pushing him" (in any given period of time).

If (in the general case) we have (say) Vp : Ve = m : n , we may write equivalently Vp : Ve = (m/n) : 1 , therefore, without loss of generality, we may assume we have Vp : Ve = k : 1 (where k is positive, not necessary an integer) and by the explanation given in the previous paragraph, from the fact that M. Poirot walked 25 steps to reach the top,

Statement (1) : 25 = n * k/(k+1) where n is our FOCUS, that is the number of steps in the escalator.

From the fact that Vp : Vm = 3 : 2 , then

Vm/Ve = (Vm/Vp)*(Vp/Ve) = (2/3)*(k/1) = (2k/3):1 , in other words, we can have the ratio Miss Marple´s velocity (speed) to the escalator´s one using Vp as a "bridge" (name used in our method to "connect ratios")...

Hence:

Statement (2) : 20 = n * (2k/3) / (2k/3 + 1)

Finally, dividing (1) by (2) , we get (after simplifying a "4" with a "2", among other things) 5/2 = (2k+3)/(k+1) and it´s easy to obtain k = 1.

Therefore Vp : Ve = k : 1 = 1 : 1 , in other words, M. Poirot walks 25 steps, while the escalator "pushes him" other 25 steps, and the number of steps of the escalator is 50.

If you prefer, take k = 1 and substitute it in statement (1), for instance, to get 25 = n/2 , of course.

I hope you all enjoyed the problem and all these interesting solutions!

See you in other problems!

Regards,
fskilnik.
User avatar
kingbucky
Joined: 28 Jul 2023
Last visit: 22 Apr 2026
Posts: 498
Own Kudos:
Given Kudos: 329
Location: India
Products:
Posts: 498
Kudos: 584
Kudos
Add Kudos
Bookmarks
Bookmark this Post
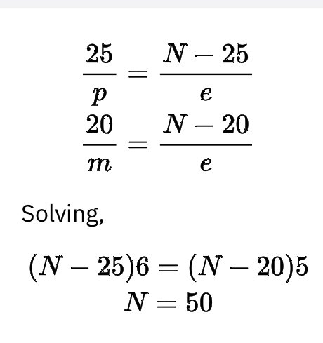
One of the best problems!

Let us think of the problem in this manner.
The person is approaching the end of the escalator and the end of the escalator approaches the person with speed e.

The person would have completed the n steps (of the escalator) at the time
They meet…

< 25 steps><n-25 steps>
<20 steps> <n-20 steps>

Posted from my mobile device
Attachments

97E849D2-7565-4FD4-A686-720C6DCF9644.jpeg
97E849D2-7565-4FD4-A686-720C6DCF9644.jpeg [ 46.77 KiB | Viewed 2108 times ]

User avatar
bumpbot
User avatar
Non-Human User
Joined: 09 Sep 2013
Last visit: 04 Jan 2021
Posts: 38,963
Own Kudos:
Posts: 38,963
Kudos: 1,117
Kudos
Add Kudos
Bookmarks
Bookmark this Post
Automated notice from GMAT Club BumpBot:

A member just gave Kudos to this thread, showing it’s still useful. I’ve bumped it to the top so more people can benefit. Feel free to add your own questions or solutions.

This post was generated automatically.
Moderators:
Math Expert
109802 posts
Tuck School Moderator
853 posts