Hello,
Greetings for the day!
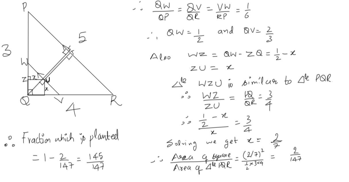
A top class question from Geometry, testing you on multiple concepts on triangles. You need to know your Pythagorean triples to figure out the length of the hypotenuse. You will also need to apply the Area formula of a triangle, but more importantly, you need to be able to apply the concept of similarity after doing a few simple constructions.
Let us name the field as PQR where PR is the hypotenuse, PQ is 3 units in length and QR is 4 units. It’s not hard to make out that PR has to be 5 units.
Let us make two constructions:
QS – this represents the third altitude of the right angled triangle, PQR.
VW – a line parallel to PR such that it passes through the vertex of the square, which represents the unplanted region of the field.
Note that UT represents the shortest distance between the square and the hypotenuse, distance being 2 units as given in the question. Also note that UT is parallel to QS since both are perpendicular to PR and hence to VW (remember, VW is parallel to PR).
The rest of the calculations is shown in the diagrams below.
Attachment:
19th May - Reply 3 - Part1.JPG [ 55.2 KiB | Viewed 4213 times ]
Attachment:
19th May - Reply 3 - Part 2.JPG [ 61.05 KiB | Viewed 4190 times ]
In the last step, you may have noticed that we subtracted \(\frac{2}{147}\) from 1. This is because, we have to find the fraction of the field that is planted. In such cases, the entire field’s area is always taken as 1.
So, the correct answer option is
D.
The trap answer in this question is E. You get this answer when you extend UT to meet Q, assuming that it will be the diagonal of the small square. But, this is a wrong assumption, which will end up giving you the value of x as 2\(\sqrt{5}\), which will give you the final answer as E.
This is definitely a hard question on Geometry that you can expect once you cross the 700 level. To be able to solve questions like these, you should be able to make constructions which then enable you to use the similarity concept, else you will be stuck, beyond a certain stage in the solution. Also remember that, when there are a pair of triangles with a pair of parallel lines, more often than not, it is similarity which can help you solve the problem.
Lastly, please do not be too hard on yourself, if you were unable to solve this question within 2 minutes.
Hope this helps!