Last visit was: 28 Apr 2026, 08:14 It is currently 28 Apr 2026, 08:14
Close
GMAT Club Daily Prep
Thank you for using the timer - this advanced tool can estimate your performance and suggest more practice questions. We have subscribed you to Daily Prep Questions via email.

Customized
for You

we will pick new questions that match your level based on your Timer History

Track
Your Progress

every week, we’ll send you an estimated GMAT score based on your performance

Practice
Pays

we will pick new questions that match your level based on your Timer History
Not interested in getting valuable practice questions and articles delivered to your email? No problem, unsubscribe here.
Close
Request Expert Reply
Confirm Cancel
User avatar
Bunuel
User avatar
Math Expert
Joined: 02 Sep 2009
Last visit: 28 Apr 2026
Posts: 109,949
Own Kudos:
Given Kudos: 105,927
Products:
Expert
Expert reply
Active GMAT Club Expert! Tag them with @ followed by their username for a faster response.
Posts: 109,949
Kudos: 811,724
 [11]
1
Kudos
Add Kudos
10
Bookmarks
Bookmark this Post
Most Helpful Reply
User avatar
KarishmaB
Joined: 16 Oct 2010
Last visit: 28 Apr 2026
Posts: 16,447
Own Kudos:
79,436
 [8]
Given Kudos: 485
Location: Pune, India
Expert
Expert reply
Active GMAT Club Expert! Tag them with @ followed by their username for a faster response.
Posts: 16,447
Kudos: 79,436
 [8]
5
Kudos
Add Kudos
3
Bookmarks
Bookmark this Post
General Discussion
User avatar
gmatophobia
User avatar
Quant Chat Moderator
Joined: 22 Dec 2016
Last visit: 19 Apr 2026
Posts: 3,173
Own Kudos:
11,477
 [2]
Given Kudos: 1,862
Location: India
Concentration: Strategy, Leadership
Posts: 3,173
Kudos: 11,477
 [2]
1
Kudos
Add Kudos
1
Bookmarks
Bookmark this Post
User avatar
bv8562
Joined: 01 Dec 2020
Last visit: 01 Oct 2025
Posts: 415
Own Kudos:
505
 [5]
Given Kudos: 360
GMAT 1: 680 Q48 V35
GMAT 1: 680 Q48 V35
Posts: 415
Kudos: 505
 [5]
3
Kudos
Add Kudos
1
Bookmarks
Bookmark this Post
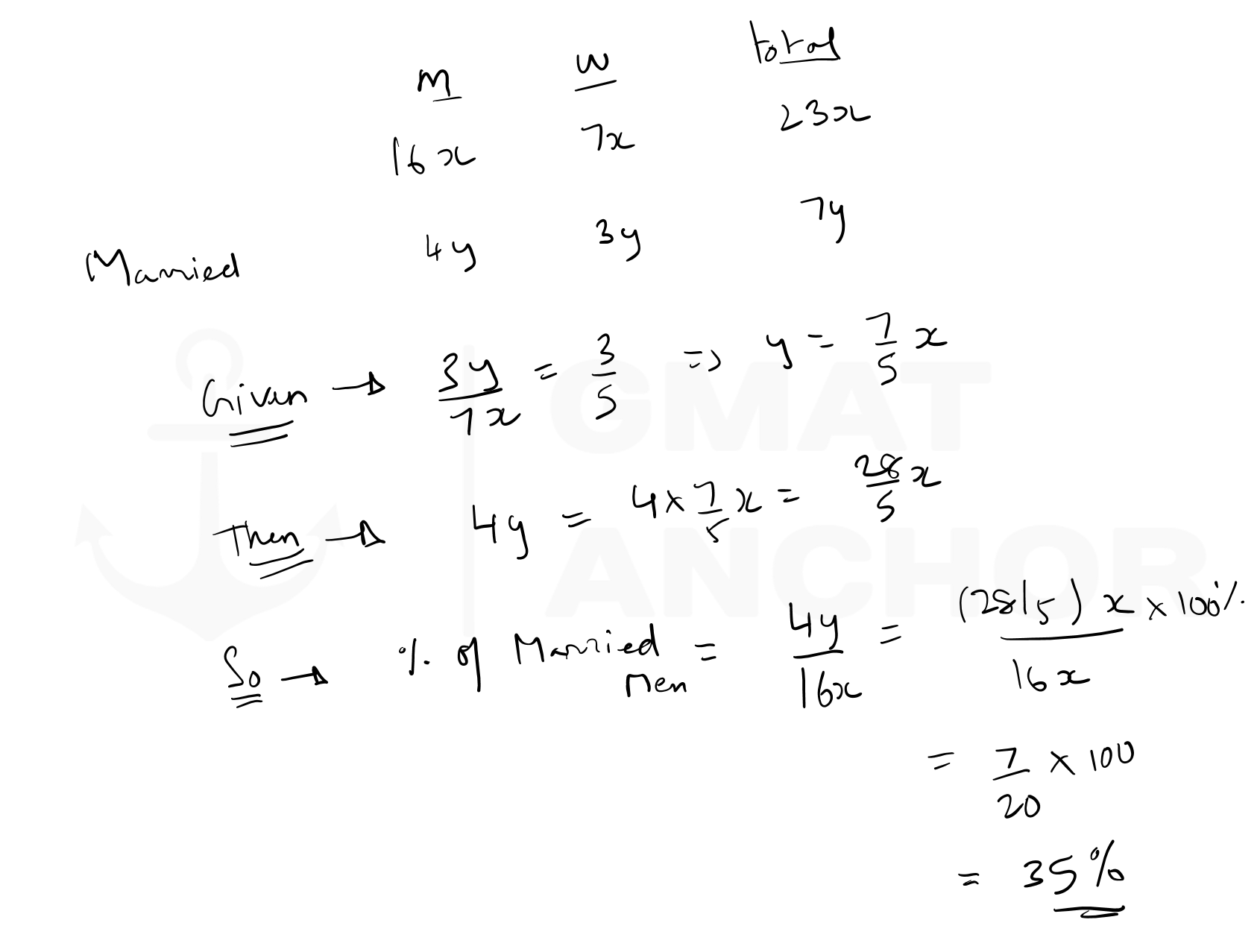
Let,
The total no. of Men = M
The total no. of Women = W
The total no. of Married Men = P
The total no. of Married Women = Q

\(\frac{M}{W} = \frac{16x}{7x}\\
\frac{P}{Q} = \frac{4y}{3y}\)

Given,
0.6*7x = 3y
4.2x = 3y
\(\frac{x}{y} = \frac{5}{7}\)

∴ M = 16x = 16*5 = 80
and, P = 4y = 4*7 = 28

% of Married Men = \(\frac{P}{M}*100 = \frac{28}{80}*100\) = 35% (A)
avatar
emsgmat
Joined: 13 Dec 2021
Last visit: 02 Oct 2022
Posts: 15
Own Kudos:
Given Kudos: 117
Posts: 15
Kudos: 5
Kudos
Add Kudos
Bookmarks
Bookmark this Post
Bunuel
In a club the ratio of men and women is 16:7. The ratio of married men and married women is 4:3. Find the percentage of married men if 60% of the women are married.

(A) 35%
(B) 42%
(C) 45%
(D) 52.5%
(E) None of these

Hi Bunuel,

This is a great and challenging question. Could you provide an OA with a simple solution?

Thanks!
User avatar
kungfury42
Joined: 07 Jan 2022
Last visit: 31 May 2023
Posts: 580
Own Kudos:
Given Kudos: 724
Schools: NUS '25 (A)
GMAT 1: 740 Q51 V38
GPA: 4
Products:
Schools: NUS '25 (A)
GMAT 1: 740 Q51 V38
Posts: 580
Kudos: 518
Kudos
Add Kudos
Bookmarks
Bookmark this Post
This one made me crank up a bit without pen and paper but the question is otherwise manageable.

Let's assume the total number of men as 16x and women as 7x

Let's assume the total number of married men as 4y and married women as 3y

Now we have that 3y is 60% of 7x or essentially (3y)/(7x) = (3)/(5) cancelling 3 from both sides and taking 7 from left to right, we get y/x = 7/5 and this is of great important to us because this ratio will remain constant throughout our case so we will have to retain it and plug it in our next case (men) to arrive at the answer.

% of married men = (4y)/(16x) = (1/4)*(y/x) = (1/4)*(7/5) = 7/20

7 out of 20 is as good as saying 35 out of 100 (multiplying both Numerator and Denominator by 5)

Hence our answer is option A, 35%

Posted from my mobile device
User avatar
HarshavardhanR
Joined: 16 Mar 2023
Last visit: 28 Apr 2026
Posts: 496
Own Kudos:
579
 [2]
Given Kudos: 68
Status:Independent GMAT Tutor
Affiliations: Ex - Director, Subject Matter Expertise at e-GMAT
Products:
Expert
Expert reply
Active GMAT Club Expert! Tag them with @ followed by their username for a faster response.
Posts: 496
Kudos: 579
 [2]
2
Kudos
Add Kudos
Bookmarks
Bookmark this Post


Harsha
Attachment:
GMAT-Club-Forum-jahzrlg7.png
GMAT-Club-Forum-jahzrlg7.png [ 136.56 KiB | Viewed 1042 times ]
Moderators:
Math Expert
109949 posts
Tuck School Moderator
852 posts