Last visit was: 23 Apr 2026, 03:42 It is currently 23 Apr 2026, 03:42
Close
GMAT Club Daily Prep
Thank you for using the timer - this advanced tool can estimate your performance and suggest more practice questions. We have subscribed you to Daily Prep Questions via email.

Customized
for You

we will pick new questions that match your level based on your Timer History

Track
Your Progress

every week, we’ll send you an estimated GMAT score based on your performance

Practice
Pays

we will pick new questions that match your level based on your Timer History
Not interested in getting valuable practice questions and articles delivered to your email? No problem, unsubscribe here.
Close
Request Expert Reply
Confirm Cancel
User avatar
Russ19
Joined: 29 Oct 2019
Last visit: 18 Mar 2026
Posts: 1,339
Own Kudos:
1,983
 [15]
Given Kudos: 582
Posts: 1,339
Kudos: 1,983
 [15]
Kudos
Add Kudos
14
Bookmarks
Bookmark this Post
User avatar
Regor60
Joined: 21 Nov 2021
Last visit: 19 Apr 2026
Posts: 529
Own Kudos:
420
 [1]
Given Kudos: 462
Posts: 529
Kudos: 420
 [1]
1
Kudos
Add Kudos
Bookmarks
Bookmark this Post
User avatar
IanStewart
User avatar
GMAT Tutor
Joined: 24 Jun 2008
Last visit: 17 Apr 2026
Posts: 4,143
Own Kudos:
11,271
 [2]
Given Kudos: 99
Expert
Expert reply
Posts: 4,143
Kudos: 11,271
 [2]
1
Kudos
Add Kudos
1
Bookmarks
Bookmark this Post
User avatar
jsam98
Joined: 07 May 2024
Last visit: 09 Jun 2025
Posts: 14
Own Kudos:
5
 [1]
Given Kudos: 20
Posts: 14
Kudos: 5
 [1]
1
Kudos
Add Kudos
Bookmarks
Bookmark this Post
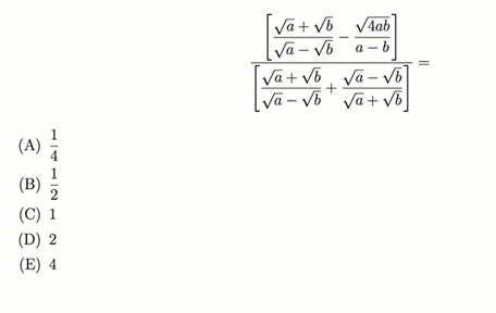
IanStewart
It's naturally possible to solve algebraically, but I'd use the approach Regor60 used above, since the algebra looks annoying. Faster still is to plug in a = 1 and b = 0, because then we just get (1 - 0)/(1 + 1) = 1/2.


Why does this work??
User avatar
Regor60
Joined: 21 Nov 2021
Last visit: 19 Apr 2026
Posts: 529
Own Kudos:
420
 [1]
Given Kudos: 462
Posts: 529
Kudos: 420
 [1]
1
Kudos
Add Kudos
Bookmarks
Bookmark this Post
jsam98
IanStewart
It's naturally possible to solve algebraically, but I'd use the approach Regor60 used above, since the algebra looks annoying. Faster still is to plug in a = 1 and b = 0, because then we just get (1 - 0)/(1 + 1) = 1/2.


Why does this work??

The short answer is to recognize that you're being told there's only one solution.

Well, normally you couldn't arrive at the answer without knowing A and B.

Since you don't know A and B but are being told there's only one answer, logically A and B can't matter.


It works because if you were to go through the algebraic approach the A's and B's would be seen to cancel, leaving only 1/2 as a result, so that it wouldn't matter what you assumed for those variables.

How do we know they'd cancel ?

Well, there is no restriction in the problem statement as to what values A and B can take other than the standard restrictions on not dividing by 0 or finding square root of negative numbers, so it must be that these values don't matter.

So, rather than going through the algebra, we pick two numbers to plug into the equation that can be calculated easily, as above.
User avatar
Isha2701
Joined: 28 Dec 2024
Last visit: 22 Apr 2026
Posts: 9
Given Kudos: 419
Products:
Posts: 9
Kudos: 0
Kudos
Add Kudos
Bookmarks
Bookmark this Post
I didn't quite understand the solution, why did you take a=1 an b=0? how can we do that? karishma can u pls help here?
User avatar
Bunuel
User avatar
Math Expert
Joined: 02 Sep 2009
Last visit: 23 Apr 2026
Posts: 109,773
Own Kudos:
810,737
 [1]
Given Kudos: 105,853
Products:
Expert
Expert reply
Active GMAT Club Expert! Tag them with @ followed by their username for a faster response.
Posts: 109,773
Kudos: 810,737
 [1]
1
Kudos
Add Kudos
Bookmarks
Bookmark this Post
Isha2701
I didn't quite understand the solution, why did you take a=1 an b=0? how can we do that? karishma can u pls help here?
In a GMAT problem-solving question, only one option can be correct. Here we are asked for the value of an ugly algebraic expression, so that value must be the same no matter what valid values of a and b we use.

Therefore, we can substitute any valid values for a and b and still get that same answer.
User avatar
Isha2701
Joined: 28 Dec 2024
Last visit: 22 Apr 2026
Posts: 9
Given Kudos: 419
Products:
Posts: 9
Kudos: 0
Kudos
Add Kudos
Bookmarks
Bookmark this Post
How do we know what are the valid values of a and b? how do we select the values?

Bunuel

In a GMAT problem-solving question, only one option can be correct. Here we are asked for the value of an ugly algebraic expression, so that value must be the same no matter what valid values of a and b we use.

Therefore, we can substitute any valid values for a and b and still get that same answer.
User avatar
Bunuel
User avatar
Math Expert
Joined: 02 Sep 2009
Last visit: 23 Apr 2026
Posts: 109,773
Own Kudos:
Given Kudos: 105,853
Products:
Expert
Expert reply
Active GMAT Club Expert! Tag them with @ followed by their username for a faster response.
Posts: 109,773
Kudos: 810,737
Kudos
Add Kudos
Bookmarks
Bookmark this Post
Isha2701
How do we know what are the valid values of a and b? how do we select the values?


The valid values are those for which the expression is defined for real numbers. So those would be the numbers for which the values under the square root are nonnegative and those for which the denominator is not zero, because even roots of negative numbers are not defined on the GMAT, and we also cannot divide by zero.

As for how to select the numbers, you would usually choose the easiest numbers to work with. So a = 1 and b = 0 seem to be the easiest values to plug in and operate with.
Moderators:
Math Expert
109773 posts
Tuck School Moderator
853 posts