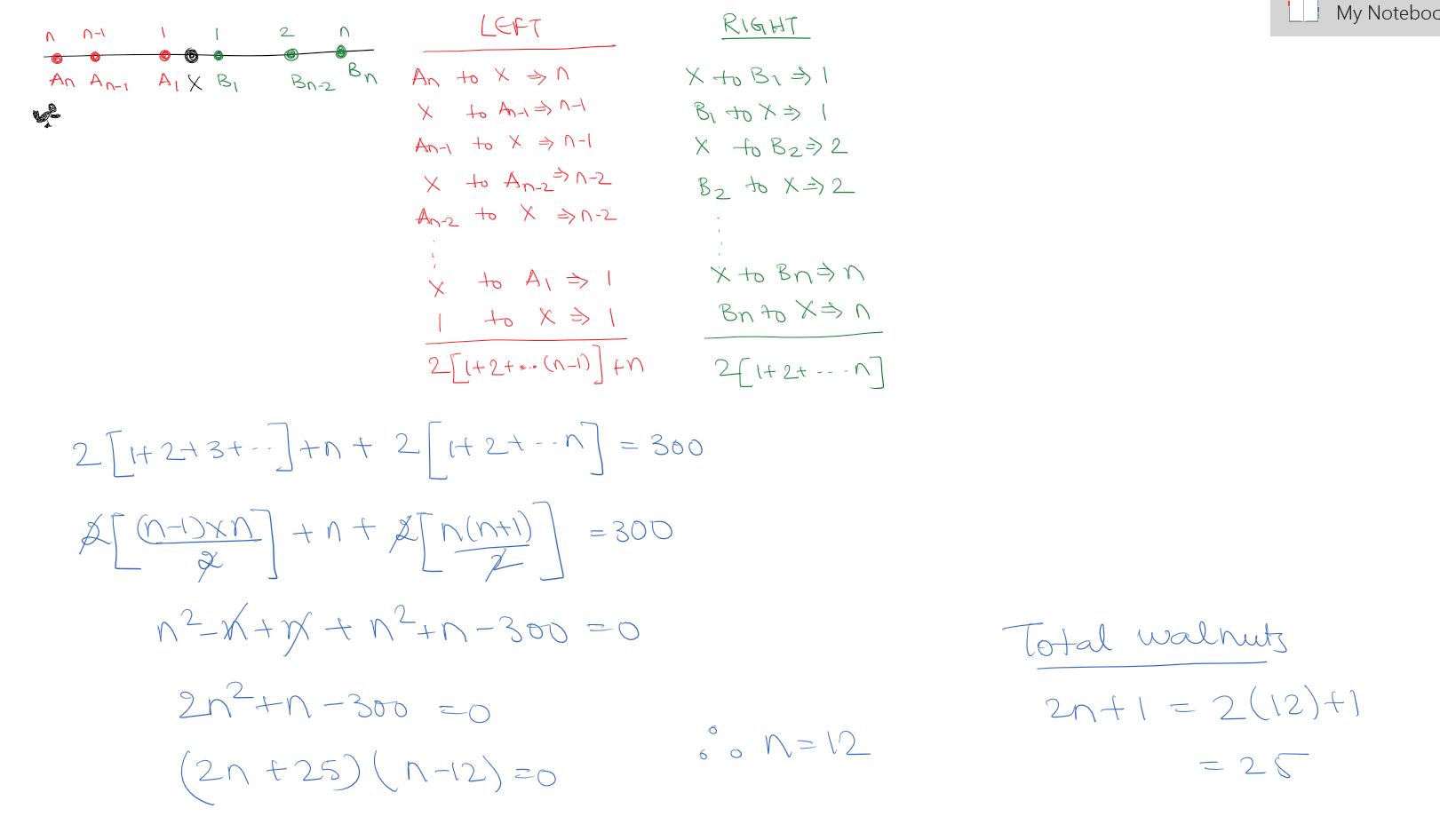
Let's assume that there are n walnuts to the left of the burrow. These walnuts have been represented in red.
From the premise we know that there another n walnuts to the left of the burrow, these walnuts have been represented in green.
One walnut, which is exactly in middle, is represented in black.
So in total there are 2n + 1 walnuts.
We know that the chipmunk gathers the walnuts from the leftmost position and carries only one walnut at a time.
Inference - The chipmunk starts from position \(A_{n}\) travels to \(X\) , drops the walnut at X and returns to \(A_{n-1}\) position. The distance covered in this process -
\(A_{n}\) to X = n meters
X to \(A_{n-1}\) = n - 1 meters
For the second walnut, the chipmunk travels from \(A_{n-1}\) to X, drops the walnut at X and returns to \(A_{n-2}\), covering (n-1) meters in the onward direction and (n-2) meters in the return journey.
This process continues till all the walnuts have been collected.
Summary of distance travelled by the chipmunk in collecting walnuts from the
left side of the burrow
\(A_{n}\) to X = n
X to \(A_{n-1}\) = n - 1
\(A_{n-1}\) to X = n - 1
X to \(A_{n-2}\) = n - 2
\(A_{n-2}\) to X = n - 2
.
.
X to \(A_{1}\) = n - 2
\(A_{1}\) to X = 1Sum of all the distances = n + 2 * (n-1) + 2 (n-2) + .... 2(2) + 2(1)
= 2(1 + 2 + 3 + ... (n-1)) + n
= 2(\(\frac{n*(n-1)}{2}\)) + n
= \(n^2 \)
The story doesn't end here
To collect the walnuts on the right of burrow, the chipmunk will follow the same process. It will first travel to \(B_{1}\), collect the walnut travel to X, drop the walnut and travel to \(B_{1}\). It will repeat this process till all the walnuts have been collected.
Summary of distance travelled by the chipmunk in collecting walnuts from the
right side of the burrow
X to \(B_{1}\) = 1
\(B_{1}\) to X = 1
X to \(B_{2}\) = 2
\(B_{2}\) to X = 2
.
.
X to \(B_{n}\) = n
\(B_{n}\) to X = nTotal distance travelled = 1 + 1 + 2 + 2 + ... n + n
= 2 ( 1 + 2 + 3 + . . . . . . n)
= 2 \((\frac{n(n+1)}{2}\))
= \(n^2 + n\)
Given:
Total Distance = Left Distance + Right Distance = 300
\( n^2 + n^2 + n\) = 300
Simplifying
n = 12
Total walnuts collected = 2 * 12 + 1 = 25
IMO EThe detailed working is shown in the image attached.
P.S - Please ignore the bad drawing. The chipmunk looks like a rat
Attachments

Screenshot 2022-10-05 000814.png [ 160.56 KiB | Viewed 5199 times ]