Last visit was: 25 Apr 2026, 19:28 It is currently 25 Apr 2026, 19:28
Close
GMAT Club Daily Prep
Thank you for using the timer - this advanced tool can estimate your performance and suggest more practice questions. We have subscribed you to Daily Prep Questions via email.

Customized
for You

we will pick new questions that match your level based on your Timer History

Track
Your Progress

every week, we’ll send you an estimated GMAT score based on your performance

Practice
Pays

we will pick new questions that match your level based on your Timer History
Not interested in getting valuable practice questions and articles delivered to your email? No problem, unsubscribe here.
Close
Request Expert Reply
Confirm Cancel
User avatar
Bunuel
User avatar
Math Expert
Joined: 02 Sep 2009
Last visit: 25 Apr 2026
Posts: 109,830
Own Kudos:
Given Kudos: 105,886
Products:
Expert
Expert reply
Active GMAT Club Expert! Tag them with @ followed by their username for a faster response.
Posts: 109,830
Kudos: 811,286
 [10]
Kudos
Add Kudos
10
Bookmarks
Bookmark this Post
User avatar
stne
Joined: 27 May 2012
Last visit: 25 Apr 2026
Posts: 1,811
Own Kudos:
Given Kudos: 679
Posts: 1,811
Kudos: 2,092
Kudos
Add Kudos
Bookmarks
Bookmark this Post
User avatar
Jxmes
Joined: 26 Jul 2018
Last visit: 25 Apr 2026
Posts: 17
Own Kudos:
Given Kudos: 12
Posts: 17
Kudos: 3
Kudos
Add Kudos
Bookmarks
Bookmark this Post
User avatar
hr1212
User avatar
GMAT Forum Director
Joined: 18 Apr 2019
Last visit: 25 Apr 2026
Posts: 928
Own Kudos:
1,338
 [1]
Given Kudos: 2,217
GMAT Focus 1: 775 Q90 V85 DI90
Products:
Expert
Expert reply
Active GMAT Club Expert! Tag them with @ followed by their username for a faster response.
GMAT Focus 1: 775 Q90 V85 DI90
Posts: 928
Kudos: 1,338
 [1]
1
Kudos
Add Kudos
Bookmarks
Bookmark this Post
Bunuel
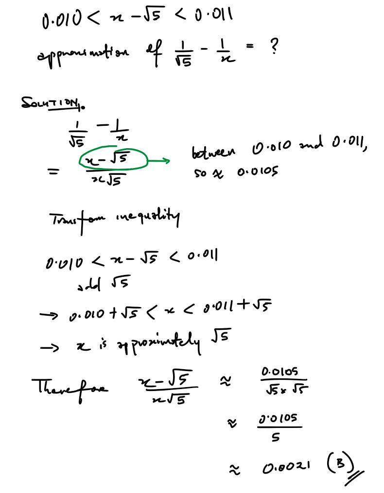
If 0.010 < x - √5 < 0.011, approximation of 1/√5 - 1/x is which of the following options?

A. 0.01
B. 0.002
C. 0.02
D. 0.003
E. 0.03

\(0.010 + \sqrt{5} < x < 0.011 + \sqrt{5}\)

\(\sqrt{5}*(0.010 + \sqrt{5}) < \sqrt{5}*x < \sqrt{5}*(0.011 + \sqrt{5})\)

\(\sqrt{5}*x\) ≈ 5 --- (1)

We need to calculate,

\(\frac{1}{\sqrt{5}} - \frac{1}{x}\) = \(\frac{x-\sqrt{5}}{\sqrt{5}*x}\) = \(\frac{x-\sqrt{5}}{5}\)

\(0.010 < x - \sqrt{5} < 0.011\)

\(\frac{0.010}{5} < \frac{x - \sqrt{5}}{5} < \frac{0.011}{5}\)

\(0.002 < \frac{x - \sqrt{5}}{5} < 0.0022\)

IMO: B
User avatar
sujoykrdatta
Joined: 26 Jun 2014
Last visit: 23 Apr 2026
Posts: 587
Own Kudos:
1,191
 [1]
Given Kudos: 14
Status:Mentor & Coach | GMAT Q51 | CAT 99.98
GMAT 1: 740 Q51 V39
Expert
Expert reply
GMAT 1: 740 Q51 V39
Posts: 587
Kudos: 1,191
 [1]
1
Kudos
Add Kudos
Bookmarks
Bookmark this Post
Bunuel
If 0.010 < x - √5 < 0.011, approximation of 1/√5 - 1/x is which of the following options?

A. 0.01
B. 0.002
C. 0.02
D. 0.003
E. 0.03
0.01 < x - 5/√5 < 0.011
=> 0.01 < (x√5 - 5)/5 < 0.011
=> 0.05 < x√5 - 5 < 0.011
=> 5.05 < x√5 < 5.011

Now: 1/√5 - 1/x = (x - √5)/x√5
The numerator is between 0.01 and 0.011
The denominator is between 5.05 and 5.011
Thus, approximately: (x - √5)/x√5 ~= 0.01/5.05 ~=1/500 = 0.002

Ans B
Moderators:
Math Expert
109830 posts
Tuck School Moderator
852 posts