Last visit was: 25 Apr 2026, 12:16 It is currently 25 Apr 2026, 12:16
Close
GMAT Club Daily Prep
Thank you for using the timer - this advanced tool can estimate your performance and suggest more practice questions. We have subscribed you to Daily Prep Questions via email.

Customized
for You

we will pick new questions that match your level based on your Timer History

Track
Your Progress

every week, we’ll send you an estimated GMAT score based on your performance

Practice
Pays

we will pick new questions that match your level based on your Timer History
Not interested in getting valuable practice questions and articles delivered to your email? No problem, unsubscribe here.
Close
Request Expert Reply
Confirm Cancel
User avatar
Bunuel
User avatar
Math Expert
Joined: 02 Sep 2009
Last visit: 25 Apr 2026
Posts: 109,830
Own Kudos:
811,250
 [1]
Given Kudos: 105,885
Products:
Expert
Expert reply
Active GMAT Club Expert! Tag them with @ followed by their username for a faster response.
Posts: 109,830
Kudos: 811,250
 [1]
Kudos
Add Kudos
1
Bookmarks
Bookmark this Post
User avatar
GmatMaestro
Joined: 28 Feb 2018
Last visit: 25 Apr 2026
Posts: 10
Own Kudos:
7
 [3]
Given Kudos: 14
GMAT 1: 710 Q50 V37
GMAT 2: 770 Q50 V46
GMAT 2: 770 Q50 V46
Posts: 10
Kudos: 7
 [3]
3
Kudos
Add Kudos
Bookmarks
Bookmark this Post
User avatar
VivekSri
Joined: 01 May 2022
Last visit: 05 Feb 2026
Posts: 468
Own Kudos:
772
 [2]
Given Kudos: 117
Location: India
WE:Engineering (Consulting)
Posts: 468
Kudos: 772
 [2]
2
Kudos
Add Kudos
Bookmarks
Bookmark this Post
User avatar
imeanup
Joined: 15 Jun 2017
Last visit: 24 Mar 2026
Posts: 452
Own Kudos:
Given Kudos: 8
Location: India
Posts: 452
Kudos: 635
Kudos
Add Kudos
Bookmarks
Bookmark this Post
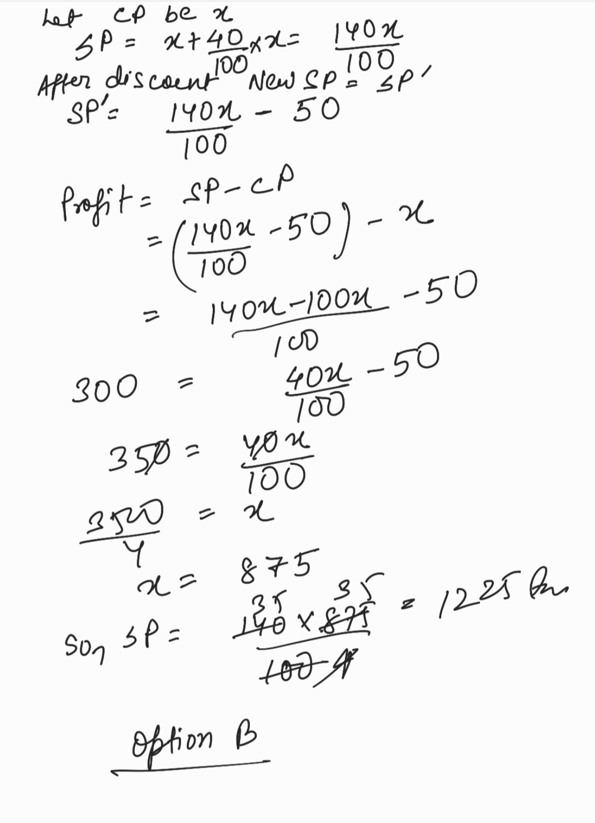
No discount was given, then the profit would be $300 + $50 = $350 which is the total profit i.e. 40%. Therefore, the selling price(S.P) would be cost price (C.P = \(\dfrac{100 \times 350}{40} \)) + $350.

SP = \(\dfrac{100 \times 350}{40} + 350 = \dfrac{100 \times \ 350 \times 5}{40 \times 5} + 350 = \dfrac{1750 + 350\times 2}{2} = \dfrac{2450}{2} = 1225\)
Moderators:
Math Expert
109830 posts
Tuck School Moderator
852 posts