Last visit was: 24 Apr 2026, 12:36 It is currently 24 Apr 2026, 12:36
Close
GMAT Club Daily Prep
Thank you for using the timer - this advanced tool can estimate your performance and suggest more practice questions. We have subscribed you to Daily Prep Questions via email.

Customized
for You

we will pick new questions that match your level based on your Timer History

Track
Your Progress

every week, we’ll send you an estimated GMAT score based on your performance

Practice
Pays

we will pick new questions that match your level based on your Timer History
Not interested in getting valuable practice questions and articles delivered to your email? No problem, unsubscribe here.
Close
Request Expert Reply
Confirm Cancel
User avatar
Bunuel
User avatar
Math Expert
Joined: 02 Sep 2009
Last visit: 24 Apr 2026
Posts: 109,820
Own Kudos:
811,058
 [2]
Given Kudos: 105,873
Products:
Expert
Expert reply
Active GMAT Club Expert! Tag them with @ followed by their username for a faster response.
Posts: 109,820
Kudos: 811,058
 [2]
Kudos
Add Kudos
2
Bookmarks
Bookmark this Post
User avatar
Rucha.Shukla
Joined: 17 Jan 2024
Last visit: 10 Jul 2025
Posts: 91
Own Kudos:
79
 [1]
Given Kudos: 688
Location: India
Posts: 91
Kudos: 79
 [1]
1
Kudos
Add Kudos
Bookmarks
Bookmark this Post
User avatar
Abhishek009
User avatar
Board of Directors
Joined: 11 Jun 2011
Last visit: 17 Dec 2025
Posts: 5,903
Own Kudos:
Given Kudos: 463
Status:QA & VA Forum Moderator
Location: India
GPA: 3.5
WE:Business Development (Commercial Banking)
Posts: 5,903
Kudos: 5,454
Kudos
Add Kudos
Bookmarks
Bookmark this Post
User avatar
LamboWalker
Joined: 06 Jun 2021
Last visit: 01 Jul 2025
Posts: 249
Own Kudos:
973
 [1]
Given Kudos: 304
GMAT Focus 1: 675 Q86 V81 DI83
GMAT Focus 2: 735 Q90 V85 DI84
GMAT 1: 690 Q48 V35
GMAT Focus 2: 735 Q90 V85 DI84
GMAT 1: 690 Q48 V35
Posts: 249
Kudos: 973
 [1]
1
Kudos
Add Kudos
Bookmarks
Bookmark this Post
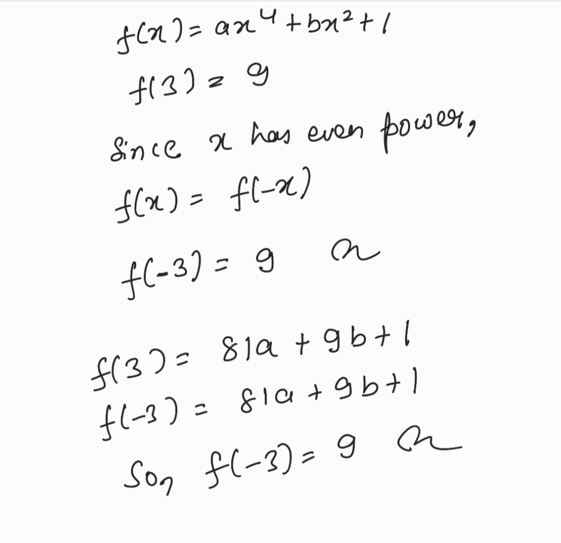
Since the equation only has even powers of 'x', the value of f(3) and f(-3) would be the same.

Hence, answer is option E
User avatar
VivekSri
Joined: 01 May 2022
Last visit: 05 Feb 2026
Posts: 468
Own Kudos:
772
 [1]
Given Kudos: 117
Location: India
WE:Engineering (Consulting)
Posts: 468
Kudos: 772
 [1]
1
Kudos
Add Kudos
Bookmarks
Bookmark this Post
Bunuel
If \(f(x)=ax^4+bx^2+1\), where \(a\) and \(b\) are constants, and \(f(3)=9\), what is the value of \(f(-3)\) ?

A. -9
B. -3
C. 0
D. 3
E. 9


OA is E
Attachments

Screenshot_20240127_103310_Samsung Notes.jpg
Screenshot_20240127_103310_Samsung Notes.jpg [ 89.45 KiB | Viewed 1653 times ]

Moderators:
Math Expert
109820 posts
Tuck School Moderator
853 posts