Last visit was: 26 Apr 2026, 04:01 It is currently 26 Apr 2026, 04:01
Close
GMAT Club Daily Prep
Thank you for using the timer - this advanced tool can estimate your performance and suggest more practice questions. We have subscribed you to Daily Prep Questions via email.

Customized
for You

we will pick new questions that match your level based on your Timer History

Track
Your Progress

every week, we’ll send you an estimated GMAT score based on your performance

Practice
Pays

we will pick new questions that match your level based on your Timer History
Not interested in getting valuable practice questions and articles delivered to your email? No problem, unsubscribe here.
Close
Request Expert Reply
Confirm Cancel
User avatar
Bunuel
User avatar
Math Expert
Joined: 02 Sep 2009
Last visit: 26 Apr 2026
Posts: 109,832
Own Kudos:
Given Kudos: 105,889
Products:
Expert
Expert reply
Active GMAT Club Expert! Tag them with @ followed by their username for a faster response.
Posts: 109,832
Kudos: 811,327
 [18]
2
Kudos
Add Kudos
16
Bookmarks
Bookmark this Post
User avatar
Rucha.Shukla
Joined: 17 Jan 2024
Last visit: 10 Jul 2025
Posts: 91
Own Kudos:
79
 [1]
Given Kudos: 688
Location: India
Posts: 91
Kudos: 79
 [1]
Kudos
Add Kudos
1
Bookmarks
Bookmark this Post
User avatar
Nidzo
Joined: 26 Nov 2019
Last visit: 02 Aug 2025
Posts: 958
Own Kudos:
1,478
 [1]
Given Kudos: 59
Location: South Africa
Posts: 958
Kudos: 1,478
 [1]
1
Kudos
Add Kudos
Bookmarks
Bookmark this Post
User avatar
Purnank
Joined: 05 Jan 2024
Last visit: 23 Apr 2026
Posts: 680
Own Kudos:
614
 [2]
Given Kudos: 167
Location: India
Concentration: General Management, Strategy
GMAT Focus 1: 635 Q88 V76 DI80
Products:
GMAT Focus 1: 635 Q88 V76 DI80
Posts: 680
Kudos: 614
 [2]
1
Kudos
Add Kudos
1
Bookmarks
Bookmark this Post
Bunuel
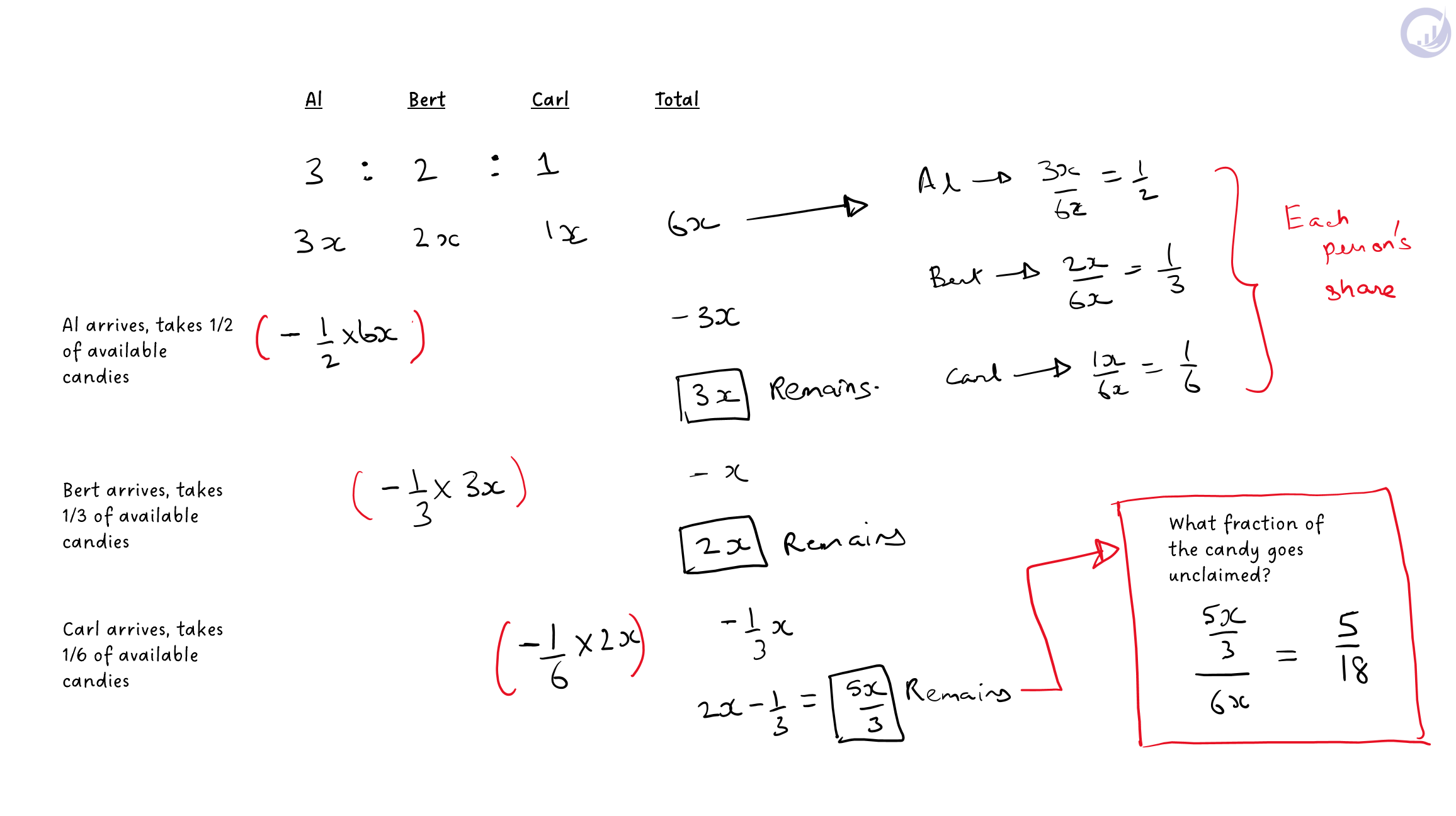
­Al, Bert, and Carl are the winners of a school drawing for a pile of Halloween candy, which they are to divide in a ratio of 3 : 2 : 1, respectively. Due to some confusion they come at different times to claim their prizes, and each assumes he is the first to arrive. If each takes what he believes to be his correct share of candy, what fraction of the candy goes unclaimed?

(A) \(\frac{1}{18}\)

(B) \(\frac{1}{6}\)

(C) \(\frac{2}{9}\)

(D) \(\frac{5}{18}\)

(E) \(\frac{5}{12}\)



­
­
I think its D.

candies are divided into the ratios of 3:2:1 for A:B:C (Al, Bert and Carl) so total candies must be in multiple of 6. 
Therefore assuming total candies 216.
Now here we will check for cases assuming first who came is A after that B and C is the last one. Similarly we will also check the case where C is first B is second and A is third.

1st Case - 1st A 2nd B and 3rd C
No. of candies picked by A = 3 * 216 / 6 = 108. Now Remaining Candies = 216-108 = 108.
No. of candies picked by B = 2 * 108 / 6 = 36.  Now Remaining Candies = 108-36 = 72.
No of candies picked by C = 1 * 72 / 6 = 12.  Now Remaining Candies = 72-12 = 60.

Therefore fraction of the candy goes unclaimed = 60/216 = 5/18.

Lets check for one more case - 1st C 2nd B and 3rd A.
No of candies picked by C = 1 * 216 / 6 = 36.  Now Remaining Candies = 216-36 = 180.
No. of candies picked by B = 2 * 180 / 6 = 60.  Now Remaining Candies = 180-60 = 120.
No. of candies picked by A = 3 * 120 / 6 = 60. Now Remaining Candies = 120-60 = 60.

Therefore fraction of the candy goes unclaimed = 60/216 = 5/18

and now if you check for another case (like 1st B 2nd A 3rd C) you will end up getting same result. 

Hence D.
User avatar
Themightyknight
Joined: 15 Jan 2024
Last visit: 29 Dec 2025
Posts: 95
Own Kudos:
Given Kudos: 14
GMAT 1: 610 Q47 V28
GPA: 4
WE:Real Estate (Manufacturing)
GMAT 1: 610 Q47 V28
Posts: 95
Kudos: 40
Kudos
Add Kudos
Bookmarks
Bookmark this Post
Let's assume the no of candies be 36
And each takes half of whats leftover since every one thinks he is first
So each assumes he is first to arrive thus
1st one - takes 18
18 are left out
2nd one thinks he is frst and takes
9 out of it

3rd one thinks he is frst thus he takes
4.5 out of it ????
So left out is 4.5 ??

Can someone explain
KarishmaB bb Bunuel GMATNinja

Posted from my mobile device
User avatar
KarishmaB
Joined: 16 Oct 2010
Last visit: 23 Apr 2026
Posts: 16,441
Own Kudos:
79,413
 [2]
Given Kudos: 485
Location: Pune, India
Expert
Expert reply
Active GMAT Club Expert! Tag them with @ followed by their username for a faster response.
Posts: 16,441
Kudos: 79,413
 [2]
2
Kudos
Add Kudos
Bookmarks
Bookmark this Post
Themightyknight
Let's assume the no of candies be 36
And each takes half of whats leftover since every one thinks he is first
So each assumes he is first to arrive thus
1st one - takes 18
18 are left out
2nd one thinks he is frst and takes
9 out of it

3rd one thinks he is frst thus he takes
4.5 out of it ????
So left out is 4.5 ??

Can someone explain
KarishmaB bb Bunuel GMATNinja

Posted from my mobile device

They have to take candies in the ratio 3:2:1 so Al gets 1/2 of all, Bert gets 1/3rd of all and Carl gets 1/6th of all.

If there are 36 candies, when Al arrives, he takes 18 and leaves 18.
When Bert arrives and thinks he is the first one to arrive, he thinks that total candies are 18 so he takes 1/3rd of them i.e. 6 so he leaves 12.
When Carl arrives and he thinks he is the first one to arrive, he takes 1/6th of the 12 candies i.e. 2 candies. So 10 candies are left unclaimed.

So 10 out of 36 i.e. 5/18 go unclaimed.

Answer (D)
User avatar
Kinshook
User avatar
Major Poster
Joined: 03 Jun 2019
Last visit: 25 Apr 2026
Posts: 5,986
Own Kudos:
Given Kudos: 163
Location: India
GMAT 1: 690 Q50 V34
WE:Engineering (Transportation)
Products:
GMAT 1: 690 Q50 V34
Posts: 5,986
Kudos: 5,860
Kudos
Add Kudos
Bookmarks
Bookmark this Post
Given: Al, Bert, and Carl are the winners of a school drawing for a pile of Halloween candy, which they are to divide in a ratio of 3 : 2 : 1, respectively. Due to some confusion they come at different times to claim their prizes, and each assumes he is the first to arrive.

Asked: If each takes what he believes to be his correct share of candy, what fraction of the candy goes unclaimed?

Let us assume that total candies are x.

Ideal condition:
Al's share = 3x/6 = x/2
Bert's share = 2x/6 = x/3
Carl's share = x/6

Non-ideal condition:
Al's share = x/2; Remaining candies = x/2
Bert's share = x/2*1/3 = x/6; Remaining candies = x/2 - x/6 = 2x/6 = x/3
Carl's share = x/3*1/6 = x/18; Remaining candies = x/3 - x/18 = 5x/18

The fraction of the candy goes unclaimed = (5x/18)/x = 5/18

IMO D
User avatar
HarshavardhanR
Joined: 16 Mar 2023
Last visit: 25 Apr 2026
Posts: 494
Own Kudos:
Given Kudos: 68
Status:Independent GMAT Tutor
Affiliations: Ex - Director, Subject Matter Expertise at e-GMAT
Products:
Expert
Expert reply
Active GMAT Club Expert! Tag them with @ followed by their username for a faster response.
Posts: 494
Kudos: 577
Kudos
Add Kudos
Bookmarks
Bookmark this Post


---
Harsha
Attachment:
GMAT-Club-Forum-df2uiy59.png
GMAT-Club-Forum-df2uiy59.png [ 196.95 KiB | Viewed 75 times ]
Moderators:
Math Expert
109832 posts
Tuck School Moderator
852 posts