Last visit was: 25 Apr 2026, 04:08 It is currently 25 Apr 2026, 04:08
Close
GMAT Club Daily Prep
Thank you for using the timer - this advanced tool can estimate your performance and suggest more practice questions. We have subscribed you to Daily Prep Questions via email.

Customized
for You

we will pick new questions that match your level based on your Timer History

Track
Your Progress

every week, we’ll send you an estimated GMAT score based on your performance

Practice
Pays

we will pick new questions that match your level based on your Timer History
Not interested in getting valuable practice questions and articles delivered to your email? No problem, unsubscribe here.
Close
Request Expert Reply
Confirm Cancel
User avatar
BrentGMATPrepNow
User avatar
Major Poster
Joined: 12 Sep 2015
Last visit: 31 Oct 2025
Posts: 6,733
Own Kudos:
36,461
 [3]
Given Kudos: 799
Location: Canada
Expert
Expert reply
Posts: 6,733
Kudos: 36,461
 [3]
2
Kudos
Add Kudos
1
Bookmarks
Bookmark this Post
User avatar
chetan2u
User avatar
GMAT Expert
Joined: 02 Aug 2009
Last visit: 24 Apr 2026
Posts: 11,229
Own Kudos:
45,016
 [1]
Given Kudos: 335
Status:Math and DI Expert
Location: India
Concentration: Human Resources, General Management
GMAT Focus 1: 735 Q90 V89 DI81
Products:
Expert
Expert reply
GMAT Focus 1: 735 Q90 V89 DI81
Posts: 11,229
Kudos: 45,016
 [1]
Kudos
Add Kudos
1
Bookmarks
Bookmark this Post
User avatar
BrentGMATPrepNow
User avatar
Major Poster
Joined: 12 Sep 2015
Last visit: 31 Oct 2025
Posts: 6,733
Own Kudos:
36,461
 [2]
Given Kudos: 799
Location: Canada
Expert
Expert reply
Posts: 6,733
Kudos: 36,461
 [2]
2
Kudos
Add Kudos
Bookmarks
Bookmark this Post
User avatar
rahulp11
Joined: 05 Sep 2021
Last visit: 18 Feb 2023
Posts: 44
Own Kudos:
Given Kudos: 80
Posts: 44
Kudos: 91
Kudos
Add Kudos
Bookmarks
Bookmark this Post
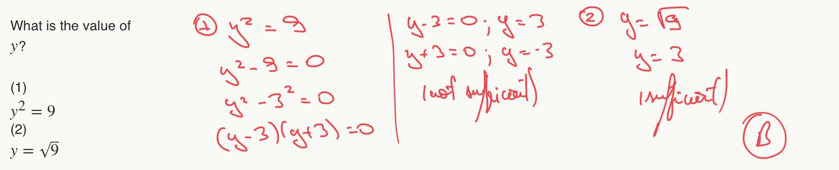
BrentGMATPrepNow could you please explain the above notation effect, if the equation was \(\sqrt{x^2} = 19\) ;

Typically, the solution would be as follows

If \(\sqrt{x^2} = 19\)

then \(|x|\) = 19

i.e. \(x\) = +19 or -19

but considering the impact of the notation, should we consider only the positive value of \(x\) i.e \(x\) = +19 ?

I am unsure about proving sufficiency by my understanding of the solutions here and from another similar problem linked below
https://gmatclub.com/forum/what-is-the-value-of-x-1-x-2-19-2-19-2-x-348768.html

It would really help if you can explain by considering the perspective of both the problems.

My understanding of why \(\sqrt{x^2} = 19\) can take both positive and negative values of \(x\) is because we have an even power(square) within the radical, therefore, the value under the radical is always positive. Whereas in the case of \(19 = \sqrt{x}\), \(x\) can take only positive values as square root of negative number is not a real number.

Is the above approach correct and valid for determining sufficiency?

Thanks
RP
User avatar
MBAHOUSE
User avatar
MBA House Admissions Consultant
Joined: 26 May 2022
Last visit: 23 Apr 2024
Posts: 337
Own Kudos:
Expert
Expert reply
Posts: 337
Kudos: 98
Kudos
Add Kudos
Bookmarks
Bookmark this Post
Some students make the mistake thinking that the square root of an number gives a positive and negative answer.
No, a square root of a number occupies only one point in the real number line.
The statement 1 results in two number because the statement presents an incomplete quadratic equation that is a parabola with Δ > 0 with two real roots.
Attachments

D34B17AB-7A44-45EB-9048-E19CB96F7E26.jpeg
D34B17AB-7A44-45EB-9048-E19CB96F7E26.jpeg [ 196.95 KiB | Viewed 2061 times ]

User avatar
BrentGMATPrepNow
User avatar
Major Poster
Joined: 12 Sep 2015
Last visit: 31 Oct 2025
Posts: 6,733
Own Kudos:
Given Kudos: 799
Location: Canada
Expert
Expert reply
Posts: 6,733
Kudos: 36,461
Kudos
Add Kudos
Bookmarks
Bookmark this Post
rahulp11
BrentGMATPrepNow could you please explain the above notation effect, if the equation was \(\sqrt{x^2} = 19\) ;

Typically, the solution would be as follows

If \(\sqrt{x^2} = 19\)

then \(|x|\) = 19

i.e. \(x\) = +19 or -19

but considering the impact of the notation, should we consider only the positive value of \(x\) i.e \(x\) = +19 ?

I am unsure about proving sufficiency by my understanding of the solutions here and from another similar problem linked below
https://gmatclub.com/forum/what-is-the-value-of-x-1-x-2-19-2-19-2-x-348768.html

It would really help if you can explain by considering the perspective of both the problems.

My understanding of why \(\sqrt{x^2} = 19\) can take both positive and negative values of \(x\) is because we have an even power(square) within the radical, therefore, the value under the radical is always positive. Whereas in the case of \(19 = \sqrt{x}\), \(x\) can take only positive values as square root of negative number is not a real number.

Is the above approach correct and valid for determining sufficiency?

Thanks
RP

The square root notation tells to take only the positive root.
So, the equation \(\sqrt{x^2} = 19\) follows this rule because it's not suggesting that \(\sqrt{x^2} = -19\)
Moderators:
Math Expert
109822 posts
498 posts
212 posts