Last visit was: 21 Apr 2026, 18:48 It is currently 21 Apr 2026, 18:48
Close
GMAT Club Daily Prep
Thank you for using the timer - this advanced tool can estimate your performance and suggest more practice questions. We have subscribed you to Daily Prep Questions via email.

Customized
for You

we will pick new questions that match your level based on your Timer History

Track
Your Progress

every week, we’ll send you an estimated GMAT score based on your performance

Practice
Pays

we will pick new questions that match your level based on your Timer History
Not interested in getting valuable practice questions and articles delivered to your email? No problem, unsubscribe here.
Close
Request Expert Reply
Confirm Cancel
User avatar
gmatornot
Joined: 14 Jul 2005
Last visit: 15 Apr 2007
Posts: 237
Own Kudos:
Posts: 237
Kudos: 378
Kudos
Add Kudos
Bookmarks
Bookmark this Post
User avatar
freetheking
Joined: 22 May 2006
Last visit: 22 Jan 2007
Posts: 188
Own Kudos:
Location: Rancho Palos Verdes
Posts: 188
Kudos: 1,042
Kudos
Add Kudos
Bookmarks
Bookmark this Post
User avatar
gmatornot
Joined: 14 Jul 2005
Last visit: 15 Apr 2007
Posts: 237
Own Kudos:
Posts: 237
Kudos: 378
Kudos
Add Kudos
Bookmarks
Bookmark this Post
User avatar
v1rok
Joined: 26 Jun 2006
Last visit: 26 Aug 2006
Posts: 69
Own Kudos:
Posts: 69
Kudos: 15
Kudos
Add Kudos
Bookmarks
Bookmark this Post
Total possible ways = 2^3

Can somebody spoon-feed me why this is true?
User avatar
freetheking
Joined: 22 May 2006
Last visit: 22 Jan 2007
Posts: 188
Own Kudos:
Location: Rancho Palos Verdes
Posts: 188
Kudos: 1,042
Kudos
Add Kudos
Bookmarks
Bookmark this Post
v1rok
Total possible ways = 2^3

Can somebody spoon-feed me why this is true?


step1:  ↙↘
step2: ↙↘↙↘
step3:↙↘↙↘↙↘
   A B  C  D
step1: 2^1
step2: 2^2
step3: 2^3

if there's nth step, then 2^n
User avatar
v1rok
Joined: 26 Jun 2006
Last visit: 26 Aug 2006
Posts: 69
Own Kudos:
Posts: 69
Kudos: 15
Kudos
Add Kudos
Bookmarks
Bookmark this Post
Sorry again. Somehow I just can not seem to grasp this type of problems. I have some kind of mental block or something. I need to get over it...

I can clearly see how we can get only 3 possible ways to get to Cell#2. But my brain refuses to understand why the total number of paths is 8.

From that diagram's above (the one with arrows) I counted 12 arrows. Why then we only have 8 different paths to the bottom.

Is there another way to explain this kind of problem?
User avatar
v1rok
Joined: 26 Jun 2006
Last visit: 26 Aug 2006
Posts: 69
Own Kudos:
Posts: 69
Kudos: 15
Kudos
Add Kudos
Bookmarks
Bookmark this Post
Sorry about bumping this. Anyone cares to share an explanation about how to arrive at 2^3 total number of possible ways? It could be something obvious, but I just don't see it...
User avatar
haas_mba07
Joined: 02 Jun 2006
Last visit: 26 Jun 2008
Posts: 662
Own Kudos:
Posts: 662
Kudos: 218
Kudos
Add Kudos
Bookmarks
Bookmark this Post
The way you can look at it is by generating all cases for the three decision points.

Imagine you have a road which has two choices at every stop. Based on a decision made you will end up in one of the 8 cities.

Look at the attached figure and should be clearer.

If you think of the pegs as the stops to make a decision, you have a maximum of 8 destinations. (City 1-8).

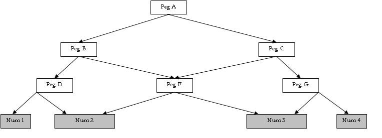
If you look at the second figure, called "PegDecision", the decision tree is a specialized form with Stops replaced with Pegs. Note that there are fewer pegs in this case. If you count the number of ways of getting to number 2, you will end up with 3. {Peg A, Peg B, Peg D, 2} {Peg A, Peg B, Peg F, 2} {Peg A, Peg C, Peg F, 2}
Attachments

Decision Tree.JPG
Decision Tree.JPG [ 20.09 KiB | Viewed 1398 times ]

PegDecisions.JPG
PegDecisions.JPG [ 17.23 KiB | Viewed 1384 times ]

User avatar
v1rok
Joined: 26 Jun 2006
Last visit: 26 Aug 2006
Posts: 69
Own Kudos:
Posts: 69
Kudos: 15
Kudos
Add Kudos
Bookmarks
Bookmark this Post
Thank you, haas! It made it a little clearer, but not completely. On a subconcsious level I kind of understand how some cities can merge together: you drive to Dallas, TX, but you also arrive at Fort Worth at the same time. O-oh, actually this analogy just hit me! Yeah, it is exactly like this: just choose two different roads that lead to the same place. I think I got it! Thanks!!!
User avatar
haas_mba07
Joined: 02 Jun 2006
Last visit: 26 Jun 2008
Posts: 662
Own Kudos:
Posts: 662
Kudos: 218
Kudos
Add Kudos
Bookmarks
Bookmark this Post
v1rok,
I believe the correct way to solve this problem is as below. I was thinking about this and the 3 decision points are independent events. The overall probabibility of getting the ball in slot 2 is :

As mentioned before there are three ways of getting the ball in slot 2 :
{Peg1 Left, Peg2 Left, Peg3 Right}.......(1)
{Peg1 Left, Peg2 Right, Peg3 Left}.......(2)
{Peg1 Left, Peg2 Right, Peg3 Right}......(3)

All the individual peg decisions are independent events.


P(Ball in Slot 2) = Prob(Event (1)) + Prob(Event (2)) + Prob(Event (3))
= 1/2 x 1/2 x 1/2 + 1/2 x 1/2 x 1/2 + 1/2 x 1/2 x 1/2
= 1/8 + 1/8 + 1/8
= 3/8

The fact that 2^3 =8 has nothing to do with it!!



Archived Topic
Hi there,
This topic has been closed and archived due to inactivity or violation of community quality standards. No more replies are possible here.
Where to now? Join ongoing discussions on thousands of quality questions in our Problem Solving (PS) Forum
Still interested in this question? Check out the "Best Topics" block above for a better discussion on this exact question, as well as several more related questions.
Thank you for understanding, and happy exploring!
Moderator:
Math Expert
109728 posts