Last visit was: 21 Apr 2026, 17:17 It is currently 21 Apr 2026, 17:17
Close
GMAT Club Daily Prep
Thank you for using the timer - this advanced tool can estimate your performance and suggest more practice questions. We have subscribed you to Daily Prep Questions via email.

Customized
for You

we will pick new questions that match your level based on your Timer History

Track
Your Progress

every week, we’ll send you an estimated GMAT score based on your performance

Practice
Pays

we will pick new questions that match your level based on your Timer History
Not interested in getting valuable practice questions and articles delivered to your email? No problem, unsubscribe here.
Close
Request Expert Reply
Confirm Cancel
User avatar
maliyeci
Joined: 23 Jun 2009
Last visit: 04 Nov 2016
Posts: 200
Own Kudos:
250
 [1]
Given Kudos: 80
Location: Turkey
Concentration: Finance and Accounting
Schools:UPenn, UMich, HKS, UCB, Chicago
GMAT 2: 740 Q49 V41
Posts: 200
Kudos: 250
 [1]
1
Kudos
Add Kudos
Bookmarks
Bookmark this Post
User avatar
maliyeci
Joined: 23 Jun 2009
Last visit: 04 Nov 2016
Posts: 200
Own Kudos:
Given Kudos: 80
Location: Turkey
Concentration: Finance and Accounting
Schools:UPenn, UMich, HKS, UCB, Chicago
GMAT 2: 740 Q49 V41
Posts: 200
Kudos: 250
Kudos
Add Kudos
Bookmarks
Bookmark this Post
User avatar
maliyeci
Joined: 23 Jun 2009
Last visit: 04 Nov 2016
Posts: 200
Own Kudos:
Given Kudos: 80
Location: Turkey
Concentration: Finance and Accounting
Schools:UPenn, UMich, HKS, UCB, Chicago
GMAT 2: 740 Q49 V41
Posts: 200
Kudos: 250
Kudos
Add Kudos
Bookmarks
Bookmark this Post
User avatar
yezz
User avatar
Retired Moderator
Joined: 05 Jul 2006
Last visit: 26 Apr 2022
Posts: 830
Own Kudos:
1,686
 [2]
Given Kudos: 49
Posts: 830
Kudos: 1,686
 [2]
2
Kudos
Add Kudos
Bookmarks
Bookmark this Post
if one of the roots of the equation \(x^2+4x-7=0\) is \(a\), then what is the result of the multiplication below?
\((a-1).(a+1).(a+3).(a+5)=?\)

a)12 b)14 c)15 d)18 e)20[/quote]

rephrase question: (a-1).(a+5).(a+3).(a+1) =(a^2+4a+3)(a^2+4a-5)

from stem

a^2+4a = 7

thus subst:
(7+3)(7-5) = 20...E
User avatar
maliyeci
Joined: 23 Jun 2009
Last visit: 04 Nov 2016
Posts: 200
Own Kudos:
250
 [1]
Given Kudos: 80
Location: Turkey
Concentration: Finance and Accounting
Schools:UPenn, UMich, HKS, UCB, Chicago
GMAT 2: 740 Q49 V41
Posts: 200
Kudos: 250
 [1]
1
Kudos
Add Kudos
Bookmarks
Bookmark this Post
Good solution yezz +1 ;)
User avatar
yezz
User avatar
Retired Moderator
Joined: 05 Jul 2006
Last visit: 26 Apr 2022
Posts: 830
Own Kudos:
Given Kudos: 49
Posts: 830
Kudos: 1,686
Kudos
Add Kudos
Bookmarks
Bookmark this Post
maliyeci
Good solution yezz +1 ;)

excellent GMAT-type question.. thanks for sharing.
User avatar
maliyeci
Joined: 23 Jun 2009
Last visit: 04 Nov 2016
Posts: 200
Own Kudos:
Given Kudos: 80
Location: Turkey
Concentration: Finance and Accounting
Schools:UPenn, UMich, HKS, UCB, Chicago
GMAT 2: 740 Q49 V41
Posts: 200
Kudos: 250
Kudos
Add Kudos
Bookmarks
Bookmark this Post
maliyeci
Another question:

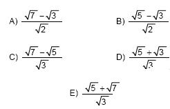
What is the equal of \(sqrt{5-sqrt{21}}\)
Answer is

Does not anybody have any solution to this problem???
User avatar
yezz
User avatar
Retired Moderator
Joined: 05 Jul 2006
Last visit: 26 Apr 2022
Posts: 830
Own Kudos:
Given Kudos: 49
Posts: 830
Kudos: 1,686
Kudos
Add Kudos
Bookmarks
Bookmark this Post
maliyeci
maliyeci
Another question:

What is the equal of \(sqrt{5-sqrt{21}}\)
Answer is

Does not anybody have any solution to this problem???

we can brute force it but i am sure there is an eithier way...that i dont know of :)
User avatar
maliyeci
Joined: 23 Jun 2009
Last visit: 04 Nov 2016
Posts: 200
Own Kudos:
250
 [1]
Given Kudos: 80
Location: Turkey
Concentration: Finance and Accounting
Schools:UPenn, UMich, HKS, UCB, Chicago
GMAT 2: 740 Q49 V41
Posts: 200
Kudos: 250
 [1]
1
Kudos
Add Kudos
Bookmarks
Bookmark this Post
\(sqrt{5-sqrt{21}}\)???

\(5-sqrt{21} = \\
1/2*(10-2*sqrt{21})=\\
1/2*(7+3-2*sqrt{21})=\\
1/2*(sqrt{7}-sqrt{3})^2\)
Thus
\(sqrt{5-sqrt{21}}\)=

\(sqrt{1/2*(sqrt{7}-sqrt{3})^2}=\\
(sqrt{7}-sqrt{3})/sqrt{2}\)
User avatar
yezz
User avatar
Retired Moderator
Joined: 05 Jul 2006
Last visit: 26 Apr 2022
Posts: 830
Own Kudos:
1,686
 [1]
Given Kudos: 49
Posts: 830
Kudos: 1,686
 [1]
1
Kudos
Add Kudos
Bookmarks
Bookmark this Post
maliyeci
\(sqrt{5-sqrt{21}}\)???

\(5-sqrt{21} = \\
1/2*(10-2*sqrt{21})=\\
1/2*(7+3-2*sqrt{21})=\\
1/2*(sqrt{7}-sqrt{3})^2\)
Thus
\(sqrt{5-sqrt{21}}\)=

\(sqrt{1/2*(sqrt{7}-sqrt{3})^2}=\\
(sqrt{7}-sqrt{3})/sqrt{2}\)


to be honest , it wouldnt have even crossed my mind in a million light years .:) ...great sol, Kudos+1 from me
User avatar
maliyeci
Joined: 23 Jun 2009
Last visit: 04 Nov 2016
Posts: 200
Own Kudos:
Given Kudos: 80
Location: Turkey
Concentration: Finance and Accounting
Schools:UPenn, UMich, HKS, UCB, Chicago
GMAT 2: 740 Q49 V41
Posts: 200
Kudos: 250
Kudos
Add Kudos
Bookmarks
Bookmark this Post
This forum showed me a lot of this type good solutions. Thanks for all.
User avatar
maliyeci
Joined: 23 Jun 2009
Last visit: 04 Nov 2016
Posts: 200
Own Kudos:
Given Kudos: 80
Location: Turkey
Concentration: Finance and Accounting
Schools:UPenn, UMich, HKS, UCB, Chicago
GMAT 2: 740 Q49 V41
Posts: 200
Kudos: 250
Kudos
Add Kudos
Bookmarks
Bookmark this Post
An easy one:
a and b are positive numbers.
LCM(a,b)=\(2.3^2\)
How many different (a,b) numbers are there?
a)6
b)12
c)13
d)14
e)15
Note:(a,b) is different from (b,a)

Answer is


Archived Topic
Hi there,
This topic has been closed and archived due to inactivity or violation of community quality standards. No more replies are possible here.
Where to now? Join ongoing discussions on thousands of quality questions in our Problem Solving (PS) Forum
Still interested in this question? Check out the "Best Topics" block above for a better discussion on this exact question, as well as several more related questions.
Thank you for understanding, and happy exploring!
Moderator:
Math Expert
109728 posts