OESet up an RTD chart. Nicky starts 12 seconds before Cristina, so Nicky runs for 12 seconds longer. Set Cristina’s time to
t and Nicky’s time to
t + 12. The question asks about the moment when Cristina catches up to Nicky, so they both travel the same distance to get to that point. Finally, the rate and time both use seconds, so it’s not necessary to convert anything before solving.

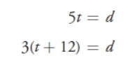
Use the two equations created by each row to solve for
t:

Both equations equal d, so set the left-hand sides equal to each other and solve for t.

Therefore, Nicky will have run for 18 + 12 = 30 seconds before Cristina catches up. Watch out for trap answer (B)! That’s how long Cristina runs, not how long Nicky runs.
Answer: DAttachment:
GMAT-Club-Forum-jocglf7z.png [ 16.44 KiB | Viewed 415 times ]
Attachment:
GMAT-Club-Forum-b0d1yjtr.png [ 8.22 KiB | Viewed 417 times ]
Attachment:
GMAT-Club-Forum-qqwmfut5.png [ 17.75 KiB | Viewed 414 times ]