Last visit was: 24 Apr 2026, 15:46 It is currently 24 Apr 2026, 15:46
Close
GMAT Club Daily Prep
Thank you for using the timer - this advanced tool can estimate your performance and suggest more practice questions. We have subscribed you to Daily Prep Questions via email.

Customized
for You

we will pick new questions that match your level based on your Timer History

Track
Your Progress

every week, we’ll send you an estimated GMAT score based on your performance

Practice
Pays

we will pick new questions that match your level based on your Timer History
Not interested in getting valuable practice questions and articles delivered to your email? No problem, unsubscribe here.
Close
Request Expert Reply
Confirm Cancel
User avatar
Gmat750aspirant
Joined: 06 Jul 2024
Last visit: 05 Dec 2025
Posts: 276
Own Kudos:
190
 [19]
Given Kudos: 39
Location: India
Concentration: Entrepreneurship, General Management
WE:Asset Management (Computer Hardware)
Posts: 276
Kudos: 190
 [19]
1
Kudos
Add Kudos
18
Bookmarks
Bookmark this Post
Most Helpful Reply
User avatar
Krunaal
User avatar
Tuck School Moderator
Joined: 15 Feb 2021
Last visit: 21 Apr 2026
Posts: 853
Own Kudos:
912
 [7]
Given Kudos: 251
Status:Under the Square and Compass
Location: India
GMAT Focus 1: 755 Q90 V90 DI82
GPA: 5.78
WE:Marketing (Consulting)
Products:
GMAT Focus 1: 755 Q90 V90 DI82
Posts: 853
Kudos: 912
 [7]
4
Kudos
Add Kudos
3
Bookmarks
Bookmark this Post
General Discussion
User avatar
BraydinWalters
Joined: 07 Nov 2024
Last visit: 23 Apr 2026
Posts: 29
Own Kudos:
26
 [1]
Given Kudos: 81
Location: United States
Posts: 29
Kudos: 26
 [1]
1
Kudos
Add Kudos
Bookmarks
Bookmark this Post
User avatar
HarshavardhanR
Joined: 16 Mar 2023
Last visit: 24 Apr 2026
Posts: 489
Own Kudos:
576
 [3]
Given Kudos: 67
Status:Independent GMAT Tutor
Affiliations: Ex - Director, Subject Matter Expertise at e-GMAT
Products:
Expert
Expert reply
Active GMAT Club Expert! Tag them with @ followed by their username for a faster response.
Posts: 489
Kudos: 576
 [3]
2
Kudos
Add Kudos
1
Bookmarks
Bookmark this Post


Harsha
Attachment:
GMAT-Club-Forum-pct1dn84.png
GMAT-Club-Forum-pct1dn84.png [ 141.14 KiB | Viewed 2817 times ]
User avatar
Bunuel
User avatar
Math Expert
Joined: 02 Sep 2009
Last visit: 24 Apr 2026
Posts: 109,818
Own Kudos:
Given Kudos: 105,873
Products:
Expert
Expert reply
Active GMAT Club Expert! Tag them with @ followed by their username for a faster response.
Posts: 109,818
Kudos: 811,075
Kudos
Add Kudos
Bookmarks
Bookmark this Post
Gmat750aspirant
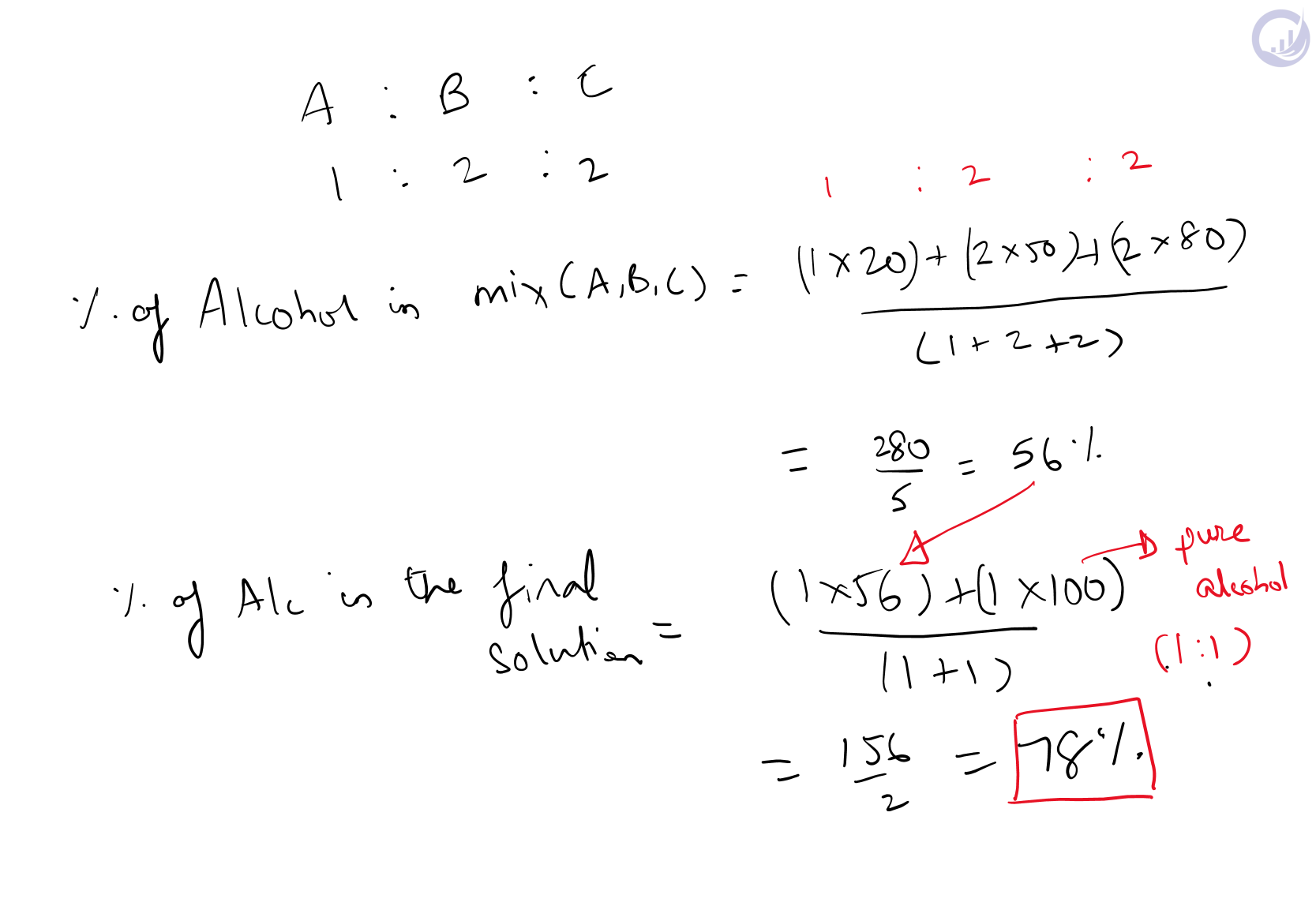
Liquids A, B, and C contain 20%, 50%, and 80% alcohol respectively. The three liquids are mixed in a ratio of 1:2:2 and the resultant solution is mixed with pure alcohol in a ratio of 1:1. What will be the percentage of alcohol in this final solution?

A. 56%
B. 64%
C. 72%
D. 78%
E. 84%

Experts' Global Video Solution:

User avatar
Aboyhasnoname
Joined: 19 Jan 2025
Last visit: 24 Apr 2026
Posts: 302
Own Kudos:
100
 [2]
Given Kudos: 64
Products:
Posts: 302
Kudos: 100
 [2]
2
Kudos
Add Kudos
Bookmarks
Bookmark this Post
Let's Assume we take 10 Litres of Drink A....
So we have to take 20 Litres of B and 20 Litres of C
The Alcohol in them as below
DRINKALCHOHOLAmount
A (10 Litres)20%2 Litres
B (20 Litres)50%10 Litres
C (20 Litres)80%16 Litres
TOTAL = 50 LITRES28 LITRES


NOW WE ADD 50 LITRES MORE ALCOHOL ..SO NEW ALCOHOL 78 AND NEW TOTAL IS 100...So 78%
User avatar
ShahriarArnob
Joined: 29 May 2024
Last visit: 21 Apr 2026
Posts: 2
Own Kudos:
1
 [1]
Given Kudos: 67
Posts: 2
Kudos: 1
 [1]
Kudos
Add Kudos
1
Bookmarks
Bookmark this Post
Let assume the mixed ratio by multiplying the ratio with 100, 100:200:200. Thus the alcohol is the previous solution is 20+50*2+80*2=280.
Thus the resultant solution is 500 with alcohol 280. Now if we add pure alcohol with a ratio 1:1 (pure alcohol : resultant solution) and the pure alcohol must be 500. The final solution will be 500+500=1000 and the alcohol will be 280+500=780. Now the percentage becomes, 780*100/1000=78%
Gmat750aspirant
Liquids A, B, and C contain 20%, 50%, and 80% alcohol respectively. The three liquids are mixed in a ratio of 1:2:2 and the resultant solution is mixed with pure alcohol in a ratio of 1:1. What will be the percentage of alcohol in this final solution?

A. 56%
B. 64%
C. 72%
D. 78%
E. 84%
Moderators:
Math Expert
109818 posts
Tuck School Moderator
853 posts