Last visit was: 24 Apr 2026, 01:46 It is currently 24 Apr 2026, 01:46
Close
GMAT Club Daily Prep
Thank you for using the timer - this advanced tool can estimate your performance and suggest more practice questions. We have subscribed you to Daily Prep Questions via email.

Customized
for You

we will pick new questions that match your level based on your Timer History

Track
Your Progress

every week, we’ll send you an estimated GMAT score based on your performance

Practice
Pays

we will pick new questions that match your level based on your Timer History
Not interested in getting valuable practice questions and articles delivered to your email? No problem, unsubscribe here.
Close
Request Expert Reply
Confirm Cancel
avatar
shradhagrover18
Joined: 26 May 2012
Last visit: 12 Aug 2013
Posts: 6
Own Kudos:
34
 [6]
Given Kudos: 8
Concentration: Human Resources, Leadership
GMAT Date: 07-04-2012
Posts: 6
Kudos: 34
 [6]
2
Kudos
Add Kudos
4
Bookmarks
Bookmark this Post
User avatar
Bunuel
User avatar
Math Expert
Joined: 02 Sep 2009
Last visit: 23 Apr 2026
Posts: 109,802
Own Kudos:
810,913
 [4]
Given Kudos: 105,868
Products:
Expert
Expert reply
Active GMAT Club Expert! Tag them with @ followed by their username for a faster response.
Posts: 109,802
Kudos: 810,913
 [4]
1
Kudos
Add Kudos
3
Bookmarks
Bookmark this Post
User avatar
Icecream87
Joined: 23 Sep 2015
Last visit: 02 Aug 2018
Posts: 332
Own Kudos:
353
 [1]
Given Kudos: 72
Location: France
GMAT 1: 690 Q47 V38
GMAT 2: 700 Q48 V38
WE:Real Estate (Mutual Funds and Brokerage)
Products:
GMAT 2: 700 Q48 V38
Posts: 332
Kudos: 353
 [1]
1
Kudos
Add Kudos
Bookmarks
Bookmark this Post
avatar
RajKomanapalli
Joined: 26 Jun 2017
Last visit: 18 Jul 2020
Posts: 20
Own Kudos:
14
 [1]
Given Kudos: 15
Posts: 20
Kudos: 14
 [1]
1
Kudos
Add Kudos
Bookmarks
Bookmark this Post
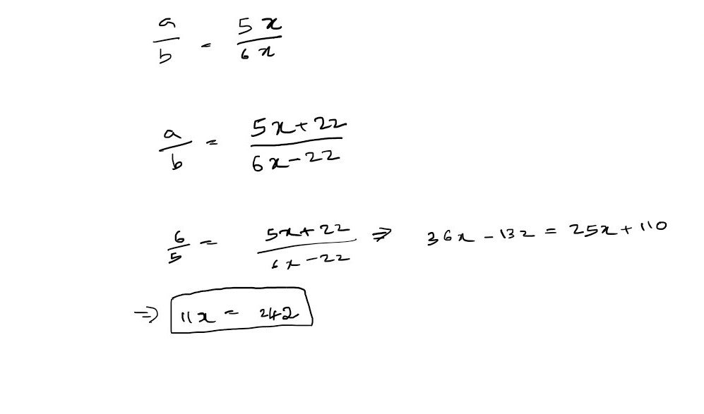
Please see the screenshot for solution
Attachments

SharedScreenshot.jpg
SharedScreenshot.jpg [ 30.38 KiB | Viewed 4213 times ]

User avatar
nahid78
Joined: 12 Mar 2013
Last visit: 30 Apr 2023
Posts: 283
Own Kudos:
Given Kudos: 1,062
Products:
Posts: 283
Kudos: 737
Kudos
Add Kudos
Bookmarks
Bookmark this Post
shradhagrover18
Two numbers are in the ratio 5:6. If 22 is added to the first number and 22 is subtracted from the second number then the ratio of the two numbers becomes 6:5. Find the sum of the two numbers.

A. 248
B. 242
C. 346
D. 343
E. 265

Let the number are 5x and 6x
so, according to the question (5x+22)/(6x-22)=6/5
B
avatar
ManifestDreamMBA
Joined: 17 Sep 2024
Last visit: 21 Feb 2026
Posts: 1,387
Own Kudos:
Given Kudos: 243
Posts: 1,387
Kudos: 897
Kudos
Add Kudos
Bookmarks
Bookmark this Post
2 ways to solve.
1. Look for multiple of 11 in answer choices
2. Given a shift of 22 flips the ratio, x = 22. So 11x = 242

shradhagrover18
Two numbers are in the ratio 5:6. If 22 is added to the first number and 22 is subtracted from the second number then the ratio of the two numbers becomes 6:5. Find the sum of the two numbers.

A. 248
B. 242
C. 346
D. 343
E. 265
User avatar
sujoykrdatta
Joined: 26 Jun 2014
Last visit: 23 Apr 2026
Posts: 587
Own Kudos:
Given Kudos: 14
Status:Mentor & Coach | GMAT Q51 | CAT 99.98
GMAT 1: 740 Q51 V39
Expert
Expert reply
GMAT 1: 740 Q51 V39
Posts: 587
Kudos: 1,191
Kudos
Add Kudos
Bookmarks
Bookmark this Post
shradhagrover18
Two numbers are in the ratio 5:6. If 22 is added to the first number and 22 is subtracted from the second number then the ratio of the two numbers becomes 6:5. Find the sum of the two numbers.

A. 248
B. 242
C. 346
D. 343
E. 265
Ratio of the numbers = 5:6
After 22 is added from the first and 22 is subtracted from the second, the SUM of the numbers will remain unchanged.
New ratio = 6:5
Observe that initial sum is 11 and the final sum is also 11. So that part is taken care of.
The first number has increased by 1 and the second number has reduced by 1
This 1 is actually 22 (as mentioned)
Thus, scale up all the values by 22:
First number = 5*22 = 110
Second number = 6*22 = 132
Sum = 242

Ans B

Note: If the sum had not been the same in both cases, we would have taken the LCM
Moderators:
Math Expert
109802 posts
Tuck School Moderator
853 posts