Use wavy curve method for solving the inequality range problems:

Steps of wavy curve method :
1. All zeros of the function f(x) contained on the left-hand side of the inequality should be marked on the number line with inked (black) circles.
2. All points of discontinuities of the function f(x) contained on the left-hand side of the inequality should be marked on the number line with un-inked (white) circles.
3. From right to left, beginning above the number line (in case of the value of f(x) is positive in step (iii), otherwise, from below the number line), a wavy curve should be drawn to pass through all the marked points so that when it passes through a simple point the curve intersects the number line, and, when passing through a double point the curve remains located on one side of the number line.
4. The appropriate intervals are chosen in accordance with the sign of inequality (the function f(x) is positive whenever the curve is situated above the number line, it is negative if the curve is found below the number line). Their union represents the solution of the inequality.

Remark :
i) A point of discontinuity will never be included in the answer.
ii) If you are asked to the interval where f(x) is non-negative or non-positive then make the interval closed corresponding to the roots of the numerator and let it remain open corresponding to the roots of the denominator.
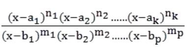
The point where f(x) vanishes are called zeroes of the function .
The point x=bj are called point of discontinuity of f(x).
If the exponent of the factor is odd then the point is called simple point .
If the exponent of the factor is even the point is called a simple point.
Illustration :
Let f(x) = {(x-3)(x+2)(x+5) }/{(x+1)(x+7)} .
As we can find the critical points as x=3,-2,-5,-1,7.
Now plot the points on the number line as per the rule of the number line . (Left to Right)
Now check for each interval whether the value of f(x) is greater than zero or less than zero.
Note: Just take a value between the interval and calculate f(x). If f(x)>0 then curve lies above the number line or it will lie below the number line.
Follow the procedure for this given problem you will get the curve as shown above.
f(x) >0 for x ∈ [-5,-2] U (-1,3] U (7,∞)
f(x)<0 for x ∈ (-∞,-5] U [-2,-1) U [3,7)
archiemuty
Hi. Please clarify how you got St 2: (k-2)(k_4)>0
hence, k >4 or k <2.
According to my workings K>4 or K>2. How did you get K<2.Much appreciated
Posted from my mobile deviceAttachment:
Capture.JPG [ 14.76 KiB | Viewed 12208 times ]
Attachment:
Capture.JPG [ 18.02 KiB | Viewed 12174 times ]