Last visit was: 21 Apr 2026, 17:50 It is currently 21 Apr 2026, 17:50
Close
GMAT Club Daily Prep
Thank you for using the timer - this advanced tool can estimate your performance and suggest more practice questions. We have subscribed you to Daily Prep Questions via email.

Customized
for You

we will pick new questions that match your level based on your Timer History

Track
Your Progress

every week, we’ll send you an estimated GMAT score based on your performance

Practice
Pays

we will pick new questions that match your level based on your Timer History
Not interested in getting valuable practice questions and articles delivered to your email? No problem, unsubscribe here.
Close
Request Expert Reply
Confirm Cancel
User avatar
sahilsahh
Joined: 23 Jun 2021
Last visit: 11 Mar 2026
Posts: 98
Own Kudos:
443
 [21]
Given Kudos: 39
Location: Nepal
GPA: 3.2
Posts: 98
Kudos: 443
 [21]
2
Kudos
Add Kudos
19
Bookmarks
Bookmark this Post
Most Helpful Reply
User avatar
CatNinja7
Joined: 03 Feb 2024
Last visit: 03 Sep 2025
Posts: 10
Own Kudos:
13
 [5]
Given Kudos: 500
Posts: 10
Kudos: 13
 [5]
4
Kudos
Add Kudos
1
Bookmarks
Bookmark this Post
General Discussion
User avatar
Akkiiii
Joined: 01 May 2022
Last visit: 13 Dec 2025
Posts: 107
Own Kudos:
Given Kudos: 855
Location: India
GPA: 4
Products:
Posts: 107
Kudos: 64
Kudos
Add Kudos
Bookmarks
Bookmark this Post
User avatar
AlieuK117
Joined: 16 Mar 2024
Last visit: 20 Apr 2026
Posts: 6
Own Kudos:
Given Kudos: 74
Concentration: General Management, Marketing
Posts: 6
Kudos: 5
Kudos
Add Kudos
Bookmarks
Bookmark this Post
I went about the solution using two paths)

Path A:
Alligation Method:


4/7 ..... 7/12
        1/2
1/12 ..... 1/14

This yeilds a ratio of 6:7 (This matches answer choice D but I am unsure if I used the method correctly)

Path B:
Alloy A) 5:7:12

Alloy B) 4:3:7

Then the combiantion would yield 
Combination) 12:7:1/2

I am unsure of how to procede from this point. May I get some help in solving this problem or breaking the question down further?

 
User avatar
devdattakhoche
Joined: 16 Feb 2025
Last visit: 18 Jan 2026
Posts: 19
Own Kudos:
10
 [2]
Given Kudos: 27
GMAT Focus 1: 615 Q84 V79 DI79
GRE 1: Q164 V151
GMAT Focus 1: 615 Q84 V79 DI79
GRE 1: Q164 V151
Posts: 19
Kudos: 10
 [2]
2
Kudos
Add Kudos
Bookmarks
Bookmark this Post
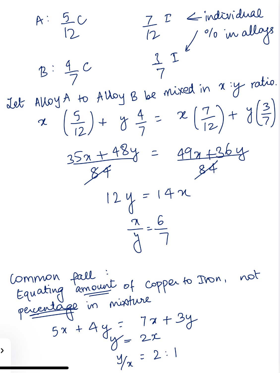
We are given:
- Alloy A has Copper to Iron ratio = \(\frac{5}{12}\)
- Alloy B has Copper to Iron ratio = \(\frac{4}{7}\)

We want the final mixture to have a 1:1 ratio of Copper and Iron, i.e., Copper fraction = \(\frac{1}{2}\).

Let the mixing ratio of Alloy A to Alloy B be x : y.

Using the weighted average method:
\(\frac{x \cdot \frac{5}{12} + y \cdot \frac{4}{7}}{x + y} = \frac{1}{2}\)

Multiply both sides by (x + y):
\(x \cdot \frac{5}{12} + y \cdot \frac{4}{7} = \frac{1}{2}(x + y)\)

Multiply both sides by 2:
\(2x \cdot \frac{5}{12} + 2y \cdot \frac{4}{7} = x + y\)

Simplify:
\(\frac{10}{12}x + \frac{8}{7}y = x + y\)
\(\frac{5}{6}x + \frac{8}{7}y = x + y\)

Multiply the entire equation by 42 (LCM of 6 and 7) to eliminate denominators:
\(35x + 48y = 42x + 42y\)

Simplify:
\(6y = 7x\)
\(\Rightarrow \frac{x}{y} = \frac{6}{7}\)

\(\boxed{6:7}\)
User avatar
Feb2024
Joined: 27 Jan 2024
Last visit: 19 Oct 2025
Posts: 50
Own Kudos:
Given Kudos: 1,542
Posts: 50
Kudos: 15
Kudos
Add Kudos
Bookmarks
Bookmark this Post
Hello Experts KarishmaB Bunuel chetan2u gmatophobia MartyMurray IanStewart

I used the following approach and got the ratio for Alloy A: Alloy B as 7:6, and not 6:7.

Alloy A: Copper: Iron :: 5:7 which is equivalent to Copper: Iron :: 15:21

Alloy B: Copper: Iron :: 4:3 which is equivalent to Copper: Iron :: 28:21

Thus this way, from the above, Quantity of Iron is achieved as 21 units.

To get the Quantity of Copper as 21 units, we can use weighted average method, which gives us Alloy A: Alloy B as 7:6.

Can you point out the fault?
User avatar
KarishmaB
Joined: 16 Oct 2010
Last visit: 21 Apr 2026
Posts: 16,438
Own Kudos:
Given Kudos: 484
Location: Pune, India
Expert
Expert reply
Active GMAT Club Expert! Tag them with @ followed by their username for a faster response.
Posts: 16,438
Kudos: 79,375
Kudos
Add Kudos
Bookmarks
Bookmark this Post
Feb2024
Hello Experts KarishmaB Bunuel chetan2u gmatophobia MartyMurray IanStewart

I used the following approach and got the ratio for Alloy A: Alloy B as 7:6, and not 6:7.

Alloy A: Copper: Iron :: 5:7 which is equivalent to Copper: Iron :: 15:21

Alloy B: Copper: Iron :: 4:3 which is equivalent to Copper: Iron :: 28:21

Thus this way, from the above, Quantity of Iron is achieved as 21 units.

To get the Quantity of Copper as 21 units, we can use weighted average method, which gives us Alloy A: Alloy B as 7:6.

Can you point out the fault?

To use weighted averages, we work with the concentration of any one ingredient.

So A has 5/12th of copper and B has 4/7th of copper. Final mix should have 1/2 copper.
Now use weighted averages on it and you will get 6:7
Moderators:
Math Expert
109728 posts
Tuck School Moderator
853 posts