Last visit was: 24 Apr 2026, 03:56 It is currently 24 Apr 2026, 03:56
Close
GMAT Club Daily Prep
Thank you for using the timer - this advanced tool can estimate your performance and suggest more practice questions. We have subscribed you to Daily Prep Questions via email.

Customized
for You

we will pick new questions that match your level based on your Timer History

Track
Your Progress

every week, we’ll send you an estimated GMAT score based on your performance

Practice
Pays

we will pick new questions that match your level based on your Timer History
Not interested in getting valuable practice questions and articles delivered to your email? No problem, unsubscribe here.
Close
Request Expert Reply
Confirm Cancel
avatar
rajarams
Joined: 31 Oct 2011
Last visit: 25 Nov 2020
Posts: 44
Own Kudos:
108
 [2]
Given Kudos: 25
Location: India
GMAT 1: 660 Q48 V32
GPA: 3.56
WE:Programming (Computer Software)
Products:
GMAT 1: 660 Q48 V32
Posts: 44
Kudos: 108
 [2]
Kudos
Add Kudos
2
Bookmarks
Bookmark this Post
User avatar
Bunuel
User avatar
Math Expert
Joined: 02 Sep 2009
Last visit: 24 Apr 2026
Posts: 109,809
Own Kudos:
810,934
 [4]
Given Kudos: 105,868
Products:
Expert
Expert reply
Active GMAT Club Expert! Tag them with @ followed by their username for a faster response.
Posts: 109,809
Kudos: 810,934
 [4]
3
Kudos
Add Kudos
1
Bookmarks
Bookmark this Post
User avatar
DangerPenguin
Joined: 10 Sep 2014
Last visit: 22 Dec 2014
Posts: 90
Own Kudos:
Given Kudos: 25
Posts: 90
Kudos: 123
Kudos
Add Kudos
Bookmarks
Bookmark this Post
avatar
PareshGmat
Joined: 27 Dec 2012
Last visit: 10 Jul 2016
Posts: 1,531
Own Kudos:
8,272
 [1]
Given Kudos: 193
Status:The Best Or Nothing
Location: India
Concentration: General Management, Technology
WE:Information Technology (Computer Software)
Posts: 1,531
Kudos: 8,272
 [1]
1
Kudos
Add Kudos
Bookmarks
Bookmark this Post
Answer = E

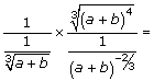
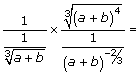
\(\frac{1}{\frac{1}{\sqrt[3]{a+b}}}*\frac{\sqrt[3]{(a+b)^4}}{\frac{1}{(a+b)^{-\frac{2}{3}}}}=\)

Get rid of the \(\sqrt{SQUARE ROOT}\) sign first

\(\frac{1}{\frac{1}{{(a+b)}^{\frac{1}{3}}}}*\frac{{(a+b)^{\frac{4}{3}}}}{\frac{1}{(a+b)^{-\frac{2}{3}}}}=\)

Normalize the denominator (Adjust power sign)

\(\frac{1}{{(a+b)}^{\frac{-1}{3}}}*\frac{{(a+b)^{\frac{4}{3}}}}{{(a+b)^{\frac{2}{3}}}=\)

Get rid of the denominator

\({{(a+b)}^{\frac{+1}{3}}} * (a+b)^{\frac{4}{3}} * (a+b)^{\frac{-2}{3}} =\)

Bases are the same; add the powers

\({{(a+b)}^{(\frac{+1}{3} - \frac{2}{3} + \frac{4}{3})} =\)

a+b
User avatar
bumpbot
User avatar
Non-Human User
Joined: 09 Sep 2013
Last visit: 04 Jan 2021
Posts: 38,967
Own Kudos:
Posts: 38,967
Kudos: 1,117
Kudos
Add Kudos
Bookmarks
Bookmark this Post
Automated notice from GMAT Club BumpBot:

A member just gave Kudos to this thread, showing it’s still useful. I’ve bumped it to the top so more people can benefit. Feel free to add your own questions or solutions.

This post was generated automatically.
Moderators:
Math Expert
109809 posts
Tuck School Moderator
853 posts