Last visit was: 27 Apr 2026, 03:04 It is currently 27 Apr 2026, 03:04
Close
GMAT Club Daily Prep
Thank you for using the timer - this advanced tool can estimate your performance and suggest more practice questions. We have subscribed you to Daily Prep Questions via email.

Customized
for You

we will pick new questions that match your level based on your Timer History

Track
Your Progress

every week, we’ll send you an estimated GMAT score based on your performance

Practice
Pays

we will pick new questions that match your level based on your Timer History
Not interested in getting valuable practice questions and articles delivered to your email? No problem, unsubscribe here.
Close
Request Expert Reply
Confirm Cancel
User avatar
Bunuel
User avatar
Math Expert
Joined: 02 Sep 2009
Last visit: 27 Apr 2026
Posts: 109,927
Own Kudos:
Given Kudos: 105,913
Products:
Expert
Expert reply
Active GMAT Club Expert! Tag them with @ followed by their username for a faster response.
Posts: 109,927
Kudos: 811,508
 [11]
1
Kudos
Add Kudos
10
Bookmarks
Bookmark this Post
Most Helpful Reply
avatar
kaleem765
Joined: 24 Oct 2016
Last visit: 31 Oct 2017
Posts: 23
Own Kudos:
6
 [8]
Given Kudos: 16
Posts: 23
Kudos: 6
 [8]
7
Kudos
Add Kudos
1
Bookmarks
Bookmark this Post
General Discussion
avatar
zerosleep
Joined: 15 Aug 2013
Last visit: 01 Jul 2017
Posts: 40
Own Kudos:
135
 [1]
Given Kudos: 7
Posts: 40
Kudos: 135
 [1]
1
Kudos
Add Kudos
Bookmarks
Bookmark this Post
avatar
PareshGmat
Joined: 27 Dec 2012
Last visit: 10 Jul 2016
Posts: 1,531
Own Kudos:
8,279
 [2]
Given Kudos: 193
Status:The Best Or Nothing
Location: India
Concentration: General Management, Technology
WE:Information Technology (Computer Software)
Posts: 1,531
Kudos: 8,279
 [2]
2
Kudos
Add Kudos
Bookmarks
Bookmark this Post
Attachment:
gpp-vitac_img2.png
gpp-vitac_img2.png [ 5.84 KiB | Viewed 4981 times ]

Answer = E. \(\sqrt{1 + \frac{1}{A^2}}\)

Let the length = 2a, then height = 2

Diagonal \(= \sqrt{4a^2 + 4} = 2\sqrt{a^2 + 1}\)

Ratio of diagonal to length \(= \frac{2\sqrt{a^2 + 1}}{2a} = \sqrt{1 + \frac{1}{a^2}}\)
User avatar
KarishmaB
Joined: 16 Oct 2010
Last visit: 27 Apr 2026
Posts: 16,446
Own Kudos:
Given Kudos: 485
Location: Pune, India
Expert
Expert reply
Active GMAT Club Expert! Tag them with @ followed by their username for a faster response.
Posts: 16,446
Kudos: 79,428
Kudos
Add Kudos
Bookmarks
Bookmark this Post
Bunuel
Attachment:
gpp-vitac_img2.png
In the rectangle above, the ratio of (length):(height) = A, which is a number greater than one. Which of the following expresses the ratio of (diagonal):(length) in terms of A?

A. A

B. \(\sqrt{A^2-1}\)

C. \(\sqrt{A^2+1}\)

D. \(\sqrt{1 - \frac{1}{A^2}}\)

E. \(\sqrt{1 + \frac{1}{A^2}}\)

Kudos for a correct solution.

Again, you can plug in values for A. Say A = 1 (The questions says that A is greater than 1 but assume it is infinitesimally greater than 1)
If length:height = 1:1, the diagonal will be \(\sqrt{2}\). So diagonal:length = \(\sqrt{2}\)
When you put A = 1, only (C) and (E) give \(\sqrt{2}\).

Put A = 2 which will give diagonal \(= \sqrt{2^2 + 1} = \sqrt{5}\). So diagonal:length = \(\sqrt{5}/2\)
If you put A = 2 in (C), it gives \(\sqrt{5}\) which is wrong. So answer must be (E)
User avatar
Bunuel
User avatar
Math Expert
Joined: 02 Sep 2009
Last visit: 27 Apr 2026
Posts: 109,927
Own Kudos:
Given Kudos: 105,913
Products:
Expert
Expert reply
Active GMAT Club Expert! Tag them with @ followed by their username for a faster response.
Posts: 109,927
Kudos: 811,508
Kudos
Add Kudos
Bookmarks
Bookmark this Post
Bunuel

In the rectangle above, the ratio of (length):(height) = A, which is a number greater than one. Which of the following expresses the ratio of (diagonal):(length) in terms of A?

A. A

B. \(\sqrt{A^2-1}\)

C. \(\sqrt{A^2+1}\)

D. \(\sqrt{1 - \frac{1}{A^2}}\)

E. \(\sqrt{1 + \frac{1}{A^2}}\)

Kudos for a correct solution.

MAGOOSH OFFICIAL SOLUTION

Algebraic Solution: Let length = L, height = H, and diagonal = D. Clearly, these three are related by the Pythagorean Theorem
Attachment:
gpp-vitac_img9.png
gpp-vitac_img9.png [ 540 Bytes | Viewed 4890 times ]
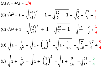
Divide both sides by L squared.
Attachment:
gpp-vitac_img10.png
gpp-vitac_img10.png [ 850 Bytes | Viewed 4894 times ]
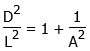
The right side is the square of the answer we seek. The left side is the square of the reciprocal of A.
Attachment:
gpp-vitac_img11.png
gpp-vitac_img11.png [ 859 Bytes | Viewed 4906 times ]
Take a square root of both sides; remember that we cannot distribute the square root across addition:
Attachment:
gpp-vitac_img12.png
gpp-vitac_img12.png [ 1.15 KiB | Viewed 4889 times ]
Answer = (E)

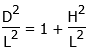
Numerical Solution: Let’s choose an easy 3-4-5 triangle for the height-length-diagonal. Then A = 4/3, and (diagonal):(length) = 5/4. We want to plug in A = 4/3 and get an answer of 5/4.
Attachment:
gpp-vitac_img13.png
gpp-vitac_img13.png [ 14.63 KiB | Viewed 4869 times ]
This choice of numbers eliminated four answers and leaves only one, so (E) must be the answer.

- See more at: https://magoosh.com/gmat/2014/gmat-pract ... QEkpA.dpuf
User avatar
EMPOWERgmatRichC
User avatar
Major Poster
Joined: 19 Dec 2014
Last visit: 31 Dec 2023
Posts: 21,777
Own Kudos:
Given Kudos: 450
Status:GMAT Assassin/Co-Founder
Affiliations: EMPOWERgmat
Location: United States (CA)
GMAT 1: 800 Q51 V49
GRE 1: Q170 V170
Expert
Expert reply
GMAT 1: 800 Q51 V49
GRE 1: Q170 V170
Posts: 21,777
Kudos: 13,055
Kudos
Add Kudos
Bookmarks
Bookmark this Post
Hi All,

This question is perfect for TESTing VALUES. It also has a few fantastic Number Property shortcuts in the answer choices, which can save you a LOT of "calculation time" if you recognize them.

Given the right triangle with no values (the one restriction is that the length is GREATER than the height, we can use ANY right triangle that we choose. The obvious choice would be to use a 3/4/5 right triangle (length = 4, height = 3).

We're told that A = length/height, so A = 4/3. We're asked for the value of diagonal/length, so we're looking for 5/4 when we plug A = 4/3 into the answer choices.

Now, here's where the Number Property shortcuts come into play. Four of the answer choices use the square root sign - for the square root of a number to = 5/4, the number MUST be GREATER than 1. We can use that to our advantage to quickly eliminate some of the answers.

Answer A: 4/3 This is NOT a match

Answer B: Root[(4/3)^2 - 1] = Root[16/9 - 1] = Root[7/9]. Stop working. This is LESS than 1. This is NOT a match.

Answer C: Root[(4/3)^2 + 1] = Root[16/9 + 1] = Root[25/9] = 5/3. This is NOT a match.

Answer D: Root[1 - a fraction]. Stop working. This is going to be LESS than 1. This is NOT a match.

There's only 1 answer left, and we've eliminated the others...

Final Answer:
Here's the proof though:

Answer E: Root[1 + 1/(4/3)^2] = Root[1+ 9/16] = Root[25/16] = 5/4. This IS a match.

GMAT assassins aren't born, they're made,
Rich
avatar
Abhibarua
Joined: 31 Jan 2021
Last visit: 25 Sep 2025
Posts: 45
Own Kudos:
Given Kudos: 99
Location: Bangladesh
GMAT 1: 760 Q50 V44
GMAT 1: 760 Q50 V44
Posts: 45
Kudos: 47
Kudos
Add Kudos
Bookmarks
Bookmark this Post
Let the length be A so the height will be 1.

So the diagonal will be √(A^2 + 1)

So the ratio of the diagonal and the length will be √(A^2 + 1)/ A = √(A^2 + 1)/ √A^2 = √(1 + (1/ A^2))

Option: E
Moderators:
Math Expert
109927 posts
Tuck School Moderator
852 posts