Last visit was: 25 Apr 2026, 01:17 It is currently 25 Apr 2026, 01:17
Close
GMAT Club Daily Prep
Thank you for using the timer - this advanced tool can estimate your performance and suggest more practice questions. We have subscribed you to Daily Prep Questions via email.

Customized
for You

we will pick new questions that match your level based on your Timer History

Track
Your Progress

every week, we’ll send you an estimated GMAT score based on your performance

Practice
Pays

we will pick new questions that match your level based on your Timer History
Not interested in getting valuable practice questions and articles delivered to your email? No problem, unsubscribe here.
Close
Request Expert Reply
Confirm Cancel
User avatar
Bunuel
User avatar
Math Expert
Joined: 02 Sep 2009
Last visit: 24 Apr 2026
Posts: 109,822
Own Kudos:
811,115
 [3]
Given Kudos: 105,878
Products:
Expert
Expert reply
Active GMAT Club Expert! Tag them with @ followed by their username for a faster response.
Posts: 109,822
Kudos: 811,115
 [3]
2
Kudos
Add Kudos
1
Bookmarks
Bookmark this Post
User avatar
peachfuzz
Joined: 28 Feb 2014
Last visit: 27 Jan 2018
Posts: 268
Own Kudos:
Given Kudos: 132
Location: United States
Concentration: Strategy, General Management
Products:
Posts: 268
Kudos: 369
Kudos
Add Kudos
Bookmarks
Bookmark this Post
avatar
mehrdadtaheri92
Joined: 13 Dec 2013
Last visit: 07 Apr 2020
Posts: 50
Own Kudos:
102
 [1]
Given Kudos: 35
Location: Iran (Islamic Republic of)
Posts: 50
Kudos: 102
 [1]
1
Kudos
Add Kudos
Bookmarks
Bookmark this Post
User avatar
Bunuel
User avatar
Math Expert
Joined: 02 Sep 2009
Last visit: 24 Apr 2026
Posts: 109,822
Own Kudos:
Given Kudos: 105,878
Products:
Expert
Expert reply
Active GMAT Club Expert! Tag them with @ followed by their username for a faster response.
Posts: 109,822
Kudos: 811,115
Kudos
Add Kudos
Bookmarks
Bookmark this Post
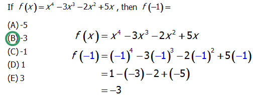
Bunuel
If f(x) = x^4 - 3x^3- 2x^2 + 5x , then f(-1) =

A. -5
B. -3
C. -1
D. 1
E. 3

Kudos for a correct solution.

MAGOOSH OFFICIAL SOLUTION:
Attachment:
evaluatingfx_text.PNG
evaluatingfx_text.PNG [ 9.29 KiB | Viewed 8707 times ]
User avatar
rhine29388
Joined: 24 Nov 2015
Last visit: 21 Oct 2019
Posts: 386
Own Kudos:
Given Kudos: 231
Location: United States (LA)
Products:
Posts: 386
Kudos: 146
Kudos
Add Kudos
Bookmarks
Bookmark this Post
\(f(x)=x^4-3x^3-2x^2+5x\)
we have to find value for f(-1)
\((-1)^4-3(-1)^3-2(-1)^2+5(-1)\)
it works out to be equal to -3
correct answer option B
User avatar
BrushMyQuant
Joined: 05 Apr 2011
Last visit: 03 Apr 2026
Posts: 2,286
Own Kudos:
Given Kudos: 100
Status:Tutor - BrushMyQuant
Location: India
Concentration: Finance, Marketing
Schools: XLRI (A)
GMAT 1: 700 Q51 V31
GPA: 3
WE:Information Technology (Computer Software)
Expert
Expert reply
Schools: XLRI (A)
GMAT 1: 700 Q51 V31
Posts: 2,286
Kudos: 2,680
Kudos
Add Kudos
Bookmarks
Bookmark this Post
Given that f(x) = \(x^4 - 3x^3- 2x^2 + 5x\) and we need to find the value of f(-1)

To find f(-1) we need to compare what is inside the bracket in f(-1) and f(x)

=> We need to substitute x with -1 in f(x) = \(x^4 - 3x^3- 2x^2 + 5x\) to get the value of f(-1)

=> f(-1) = \((-1)^4 - 3(-1)^3- 2(-1)^2 + 5*-1\) = 1 -3*-1 - 2*1 - 5 = 1 + 3 - 2 - 5 = -3

So, Answer will be B
Hope it helps!

Watch the following video to learn the Basics of Functions and Custom Characters

Moderators:
Math Expert
109822 posts
Tuck School Moderator
853 posts