Last visit was: 28 Apr 2026, 08:14 It is currently 28 Apr 2026, 08:14
Close
GMAT Club Daily Prep
Thank you for using the timer - this advanced tool can estimate your performance and suggest more practice questions. We have subscribed you to Daily Prep Questions via email.

Customized
for You

we will pick new questions that match your level based on your Timer History

Track
Your Progress

every week, we’ll send you an estimated GMAT score based on your performance

Practice
Pays

we will pick new questions that match your level based on your Timer History
Not interested in getting valuable practice questions and articles delivered to your email? No problem, unsubscribe here.
Close
Request Expert Reply
Confirm Cancel
User avatar
Bunuel
User avatar
Math Expert
Joined: 02 Sep 2009
Last visit: 28 Apr 2026
Posts: 109,949
Own Kudos:
Given Kudos: 105,927
Products:
Expert
Expert reply
Active GMAT Club Expert! Tag them with @ followed by their username for a faster response.
Posts: 109,949
Kudos: 811,724
Kudos
Add Kudos
Bookmarks
Bookmark this Post
User avatar
peachfuzz
Joined: 28 Feb 2014
Last visit: 27 Jan 2018
Posts: 268
Own Kudos:
369
 [1]
Given Kudos: 132
Location: United States
Concentration: Strategy, General Management
Products:
Posts: 268
Kudos: 369
 [1]
Kudos
Add Kudos
Bookmarks
Bookmark this Post
User avatar
EMPOWERgmatRichC
User avatar
Major Poster
Joined: 19 Dec 2014
Last visit: 31 Dec 2023
Posts: 21,777
Own Kudos:
13,056
 [1]
Given Kudos: 450
Status:GMAT Assassin/Co-Founder
Affiliations: EMPOWERgmat
Location: United States (CA)
GMAT 1: 800 Q51 V49
GRE 1: Q170 V170
Expert
Expert reply
GMAT 1: 800 Q51 V49
GRE 1: Q170 V170
Posts: 21,777
Kudos: 13,056
 [1]
1
Kudos
Add Kudos
Bookmarks
Bookmark this Post
User avatar
rhine29388
Joined: 24 Nov 2015
Last visit: 21 Oct 2019
Posts: 386
Own Kudos:
Given Kudos: 231
Location: United States (LA)
Products:
Posts: 386
Kudos: 146
Kudos
Add Kudos
Bookmarks
Bookmark this Post
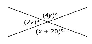
angles on a line sum upto 180 degrees
2y+4y = 6y = 180
y = 30
4y = 4 * 30 = 120
but opposite angles on a pair of intersecting lines are equal
x+20 = 120
x = 100 degrees
correct answer - D
User avatar
Abhishek009
User avatar
Board of Directors
Joined: 11 Jun 2011
Last visit: 17 Dec 2025
Posts: 5,902
Own Kudos:
5,457
 [1]
Given Kudos: 463
Status:QA & VA Forum Moderator
Location: India
GPA: 3.5
WE:Business Development (Commercial Banking)
Posts: 5,902
Kudos: 5,457
 [1]
Kudos
Add Kudos
1
Bookmarks
Bookmark this Post
Bunuel

In the figure above, the value of x is

A. 30
B. 60
C. 75
D. 100
E. 120


Attachment:
2015-12-27_2133.png
6y = 180

So, y = 30

Thus, x + 20 = 120

Hence, x = 100, Answer must be (D)
Moderators:
Math Expert
109949 posts
Tuck School Moderator
852 posts