Last visit was: 24 Apr 2026, 04:57 It is currently 24 Apr 2026, 04:57
Close
GMAT Club Daily Prep
Thank you for using the timer - this advanced tool can estimate your performance and suggest more practice questions. We have subscribed you to Daily Prep Questions via email.

Customized
for You

we will pick new questions that match your level based on your Timer History

Track
Your Progress

every week, we’ll send you an estimated GMAT score based on your performance

Practice
Pays

we will pick new questions that match your level based on your Timer History
Not interested in getting valuable practice questions and articles delivered to your email? No problem, unsubscribe here.
Close
Request Expert Reply
Confirm Cancel
User avatar
Bunuel
User avatar
Math Expert
Joined: 02 Sep 2009
Last visit: 24 Apr 2026
Posts: 109,811
Own Kudos:
Given Kudos: 105,869
Products:
Expert
Expert reply
Active GMAT Club Expert! Tag them with @ followed by their username for a faster response.
Posts: 109,811
Kudos: 810,950
 [25]
2
Kudos
Add Kudos
23
Bookmarks
Bookmark this Post
User avatar
Skywalker18
User avatar
Retired Moderator
Joined: 08 Dec 2013
Last visit: 15 Nov 2023
Posts: 1,973
Own Kudos:
10,168
 [4]
Given Kudos: 171
Status:Greatness begins beyond your comfort zone
Location: India
Concentration: General Management, Strategy
GPA: 3.2
WE:Information Technology (Consulting)
Products:
Posts: 1,973
Kudos: 10,168
 [4]
2
Kudos
Add Kudos
2
Bookmarks
Bookmark this Post
avatar
Itisallinurhead
Joined: 15 Jan 2018
Last visit: 27 Dec 2018
Posts: 4
Own Kudos:
Given Kudos: 78
Posts: 4
Kudos: 1
Kudos
Add Kudos
Bookmarks
Bookmark this Post
User avatar
effatara
Joined: 09 Nov 2015
Last visit: 17 Jul 2024
Posts: 194
Own Kudos:
Given Kudos: 96
Posts: 194
Kudos: 476
Kudos
Add Kudos
Bookmarks
Bookmark this Post
Reply to Itisallinurhead:
You are overlooking a basic stipulation of the problem: Of the total 500 cookies, only 85 have neither nuts nor chocolate chips so the number of cookies with nuts or chocolate chips or both are 500-85=415 from which we get the 135 overlap. As per your suggestion, we will have 180 (500 - 320) cookies without chocolate chips or nuts. Hope this clears up the confusion.
avatar
Itisallinurhead
Joined: 15 Jan 2018
Last visit: 27 Dec 2018
Posts: 4
Own Kudos:
Given Kudos: 78
Posts: 4
Kudos: 1
Kudos
Add Kudos
Bookmarks
Bookmark this Post
Itisallinurhead
Bunuel
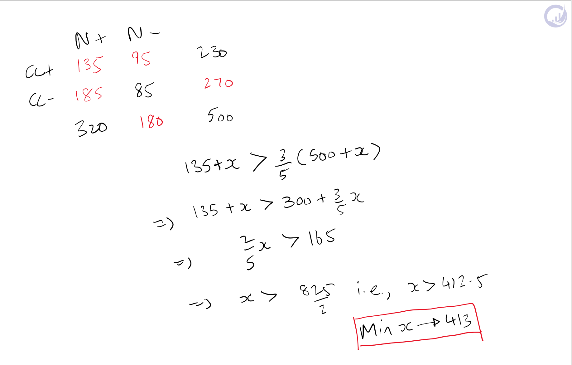
A certain bakery baked a batch of 500 cookies one day. Of those, 320 contained nuts, 230 contained chocolate chips, and 85 contained neither nuts nor chocolate chips. What is the fewest possible number of cookies with both chocolate chips and nuts that would need to be added to that batch so that cookies with both nuts and chocolate chips represented more than 3/5 of all the cookies in the batch?

A. 166
B. 275
C. 413
D. 438
E. 511

Thanks in advance for any reply !!
Please help me in understanding this question correctly!!

Since the question asks for "fewest possible cookies", shouldn't it be that we consider maximum overlap between 320 and 230 i.e. 230 rather 135 and then try to find the "fewest possible number of cookies with both chocolate chips and nuts that would need to be added to that batch so that cookies with both nuts and chocolate chips represented more than 3/5 of all the cookies in the batch"

Considering, 230 as the maximum overlap to find fewest possible .... 3/5 of all the cookies in the batch, as stated above in the solution by Skywalker18. The equation would become as below:

(230+x)/(500+x)=6/10
x=175

why is this not correct ? or why is it wrong to consider 230 already having both nuts and choco chips rather than 135?

Requesting VeritasPrepKarishma or chetan2u or pushpitkc, please have a look at my comments and provide your inputs
Thanks in advance.
User avatar
pushpitkc
Joined: 26 Feb 2016
Last visit: 19 Feb 2025
Posts: 2,800
Own Kudos:
6,235
 [2]
Given Kudos: 47
Location: India
GPA: 3.12
Posts: 2,800
Kudos: 6,235
 [2]
1
Kudos
Add Kudos
1
Bookmarks
Bookmark this Post
Itisallinurhead
Itisallinurhead
Bunuel
A certain bakery baked a batch of 500 cookies one day. Of those, 320 contained nuts, 230 contained chocolate chips, and 85 contained neither nuts nor chocolate chips. What is the fewest possible number of cookies with both chocolate chips and nuts that would need to be added to that batch so that cookies with both nuts and chocolate chips represented more than 3/5 of all the cookies in the batch?

A. 166
B. 275
C. 413
D. 438
E. 511

Thanks in advance for any reply !!
Please help me in understanding this question correctly!!

Since the question asks for "fewest possible cookies", shouldn't it be that we consider maximum overlap between 320 and 230 i.e. 230 rather 135 and then try to find the "fewest possible number of cookies with both chocolate chips and nuts that would need to be added to that batch so that cookies with both nuts and chocolate chips represented more than 3/5 of all the cookies in the batch"

Considering, 230 as the maximum overlap to find fewest possible .... 3/5 of all the cookies in the batch, as stated above in the solution by Skywalker18. The equation would become as below:

(230+x)/(500+x)=6/10
x=175

why is this not correct ? or why is it wrong to consider 230 already having both nuts and choco chips rather than 135?

Requesting VeritasPrepKarishma or chetan2u or pushpitkc, please have a look at my comments and provide your inputs
Thanks in advance.

Hey Itisallinurhead

Let's go with your reasoning - If there were 230 cookies which had both nuts and choco chips.
There would be 320 - 230 = 90 cookies which had only nuts and 0 who had only choco chips.

We are also told that the number of cookies which contained neither nuts nor chocolate chips is 85.
If we to add all of these, we should get the total number of cookies(500).

However, we end up short with sum of cookies = 90 + 230 + 85 = 405

Formulae for 2 overlapping set(s)
1. P(Total) = P(A) + P(B) - P(Both) + P(Neither)
2. P(Total) = P(Only A) + P(Only B) + P(Both) + P(Neither)


In this problem, we have
P(Total) = 500 | P(A) = 230 | P(B) = 320 | P(Neither) = 85

Substituting these values in forumula 1, we get 500 = 230 + 320 - P(Both) + 85

Therefore, P(Both) = 635 - 500 = 135

Hope this helps you!
User avatar
KarishmaB
Joined: 16 Oct 2010
Last visit: 23 Apr 2026
Posts: 16,442
Own Kudos:
79,400
 [1]
Given Kudos: 485
Location: Pune, India
Expert
Expert reply
Active GMAT Club Expert! Tag them with @ followed by their username for a faster response.
Posts: 16,442
Kudos: 79,400
 [1]
1
Kudos
Add Kudos
Bookmarks
Bookmark this Post
Itisallinurhead
Itisallinurhead
Bunuel
A certain bakery baked a batch of 500 cookies one day. Of those, 320 contained nuts, 230 contained chocolate chips, and 85 contained neither nuts nor chocolate chips. What is the fewest possible number of cookies with both chocolate chips and nuts that would need to be added to that batch so that cookies with both nuts and chocolate chips represented more than 3/5 of all the cookies in the batch?

A. 166
B. 275
C. 413
D. 438
E. 511

Thanks in advance for any reply !!
Please help me in understanding this question correctly!!

Since the question asks for "fewest possible cookies", shouldn't it be that we consider maximum overlap between 320 and 230 i.e. 230 rather 135 and then try to find the "fewest possible number of cookies with both chocolate chips and nuts that would need to be added to that batch so that cookies with both nuts and chocolate chips represented more than 3/5 of all the cookies in the batch"

Considering, 230 as the maximum overlap to find fewest possible .... 3/5 of all the cookies in the batch, as stated above in the solution by Skywalker18. The equation would become as below:

(230+x)/(500+x)=6/10
x=175

why is this not correct ? or why is it wrong to consider 230 already having both nuts and choco chips rather than 135?

Requesting VeritasPrepKarishma or chetan2u or pushpitkc, please have a look at my comments and provide your inputs
Thanks in advance.

You are given that of 500, only 85 have neither nuts nor chocolate chips. This means 415 MUST have at least one of the two things.
If you have an overlap of 230, you are putting the chocolate chips circle inside the 320 nuts circle. Then you have 500 - 320 = 180 cookies which have neither chocolate chips nor nuts. That is not acceptable. There are only 85 such cookies. Because of this, the overlap is fixed. You do not have a maximum/minimum overlap scenario here.

n(C or N) = n(C) + n(N) - Both
415 = 320 + 230 - Both
Both = 135 (no other value possible)


Actually the confusion arises because of the term "fewest possible number of cookies". Why is that required? Why couldn't the question just ask "the number of cookies needed..."
It is not because the overlap can vary; it is because you can achieve "more than 3/5" in a variety of ways. 413 makes it just more than 3/5. 414 also makes it more than 3/5. 430 also makes it more than 3/5. 1000 also makes it more than 3/5 and so on...
User avatar
Wadree
Joined: 06 Sep 2024
Last visit: 07 Jan 2026
Posts: 68
Own Kudos:
Given Kudos: 230
Posts: 68
Kudos: 2
Kudos
Add Kudos
Bookmarks
Bookmark this Post
85 got nothing.....so 500 - 85 = 415 got nut...chip.....or both......


...........................230 with choco chip
........................|——————————————|
-------------\--135--\---------------------- total 500
|_____________________|.......................|_________|
320 with nuts.......................................85 with nothing

So.... 135 cookie has both choco chip and nut.....
So...... Cookie that dont hav both chip and nut 365.....
So....after we bake more cookies with both choco chip and nut so that cookie with both chip amd nut are 3/5 of all cookie....these 365 cookies will be 2/5 of all cookies.........so all cookie will be 365*5/2 = 912.5 ≈ 913 ...... So then....cookie with both chip and nut will be....... 913 - 365 = 548 ....... already we got 135 cookie wth both choco chip and nut.... so we gotta bake 413 more cookies with choco chip an nut......
User avatar
HarshavardhanR
Joined: 16 Mar 2023
Last visit: 24 Apr 2026
Posts: 489
Own Kudos:
576
 [3]
Given Kudos: 67
Status:Independent GMAT Tutor
Affiliations: Ex - Director, Subject Matter Expertise at e-GMAT
Products:
Expert
Expert reply
Active GMAT Club Expert! Tag them with @ followed by their username for a faster response.
Posts: 489
Kudos: 576
 [3]
3
Kudos
Add Kudos
Bookmarks
Bookmark this Post


---
Harsha
Attachment:
GMAT-Club-Forum-be51gepw.png
GMAT-Club-Forum-be51gepw.png [ 119.78 KiB | Viewed 1482 times ]
Moderators:
Math Expert
109811 posts
Tuck School Moderator
853 posts