Last visit was: 24 Apr 2026, 14:24 It is currently 24 Apr 2026, 14:24
Close
GMAT Club Daily Prep
Thank you for using the timer - this advanced tool can estimate your performance and suggest more practice questions. We have subscribed you to Daily Prep Questions via email.

Customized
for You

we will pick new questions that match your level based on your Timer History

Track
Your Progress

every week, we’ll send you an estimated GMAT score based on your performance

Practice
Pays

we will pick new questions that match your level based on your Timer History
Not interested in getting valuable practice questions and articles delivered to your email? No problem, unsubscribe here.
Close
Request Expert Reply
Confirm Cancel
User avatar
Bunuel
User avatar
Math Expert
Joined: 02 Sep 2009
Last visit: 24 Apr 2026
Posts: 109,818
Own Kudos:
Given Kudos: 105,873
Products:
Expert
Expert reply
Active GMAT Club Expert! Tag them with @ followed by their username for a faster response.
Posts: 109,818
Kudos: 811,067
 [36]
4
Kudos
Add Kudos
31
Bookmarks
Bookmark this Post
Most Helpful Reply
User avatar
JeffTargetTestPrep
User avatar
Target Test Prep Representative
Joined: 04 Mar 2011
Last visit: 05 Jan 2024
Posts: 2,974
Own Kudos:
8,711
 [12]
Given Kudos: 1,646
Status:Head GMAT Instructor
Affiliations: Target Test Prep
Expert
Expert reply
Posts: 2,974
Kudos: 8,711
 [12]
4
Kudos
Add Kudos
8
Bookmarks
Bookmark this Post
avatar
Sharat988
Joined: 31 Jan 2017
Last visit: 03 Oct 2018
Posts: 3
Own Kudos:
7
 [6]
Given Kudos: 109
Schools: Zicklin '17
Schools: Zicklin '17
Posts: 3
Kudos: 7
 [6]
2
Kudos
Add Kudos
4
Bookmarks
Bookmark this Post
General Discussion
User avatar
broall
User avatar
Retired Moderator
Joined: 10 Oct 2016
Last visit: 07 Apr 2021
Posts: 1,133
Own Kudos:
7,376
 [2]
Given Kudos: 65
Status:Long way to go!
Location: Viet Nam
Posts: 1,133
Kudos: 7,376
 [2]
Kudos
Add Kudos
2
Bookmarks
Bookmark this Post
Bunuel
Right triangle DEF has a hypotenuse of less than 7. What is the maximum possible area of DEF, if the area of DEF is an integer?

A. 6
B. 9
C. 10
D. 12
E. 24

Assume that a, b, c are 3 sides of that right triangle, where c is the hypotenuse.

According to Pythagorean theorem, we have \(a^2 + b^2 = c^2 < 7^2 = 49\)

Since we have \((a-b)^2 \geq 0 \iff a^2 + b^2 \geq 2ab\)
Hence \(49 > a^2 + b^2 \geq 2ab = 4S \implies S < \frac{49}{4} = 12.25\)

Since S is integer, we have \(S = 12\).

The answer is D.
User avatar
gmatexam439
User avatar
Moderator
Joined: 28 Mar 2017
Last visit: 18 Oct 2024
Posts: 1,054
Own Kudos:
2,195
 [1]
Given Kudos: 200
Location: India
Concentration: Finance, Technology
GMAT 1: 730 Q49 V41
GPA: 4
Products:
GMAT 1: 730 Q49 V41
Posts: 1,054
Kudos: 2,195
 [1]
1
Kudos
Add Kudos
Bookmarks
Bookmark this Post
Bunuel
Right triangle DEF has a hypotenuse of less than 7. What is the maximum possible area of DEF, if the area of DEF is an integer?

A. 6
B. 9
C. 10
D. 12
E. 24

Answer: D

Theory:
For a given polygon, the maximum are is achieved when all the sides are equal. So in a triangle max are is of an equilateral triangle followed by isosceles triangle.

Thus, 2x^2<49
x^2<24.5

Area of triangle = 1/2 bh = 1/2 x^2
Max integer area will be when x^2=24

Thus, max area=1/2 * 24 = 12
User avatar
sahilvijay
Joined: 29 Jun 2017
Last visit: 16 Apr 2021
Posts: 289
Own Kudos:
931
 [1]
Given Kudos: 76
GPA: 4
WE:Engineering (Transportation)
Products:
Posts: 289
Kudos: 931
 [1]
1
Kudos
Add Kudos
Bookmarks
Bookmark this Post
QUITE SIMPLE LOGIC

let the sides be x y and 7
x^2 + y^2 = 49

for triangle to have maximum area x=y , since A= 0.5xy

2x^2 = 49
x = \(\frac{7}{√2}\)

A = 0.5 xy
A = \(\frac{49}{4}\)
since 49/4 is not an integer and for it to be integer the next lower value of Numerator is 48

A= 48/4 =12

A=12 OPTION D
User avatar
sahilvijay
Joined: 29 Jun 2017
Last visit: 16 Apr 2021
Posts: 289
Own Kudos:
931
 [1]
Given Kudos: 76
GPA: 4
WE:Engineering (Transportation)
Products:
Posts: 289
Kudos: 931
 [1]
1
Kudos
Add Kudos
Bookmarks
Bookmark this Post
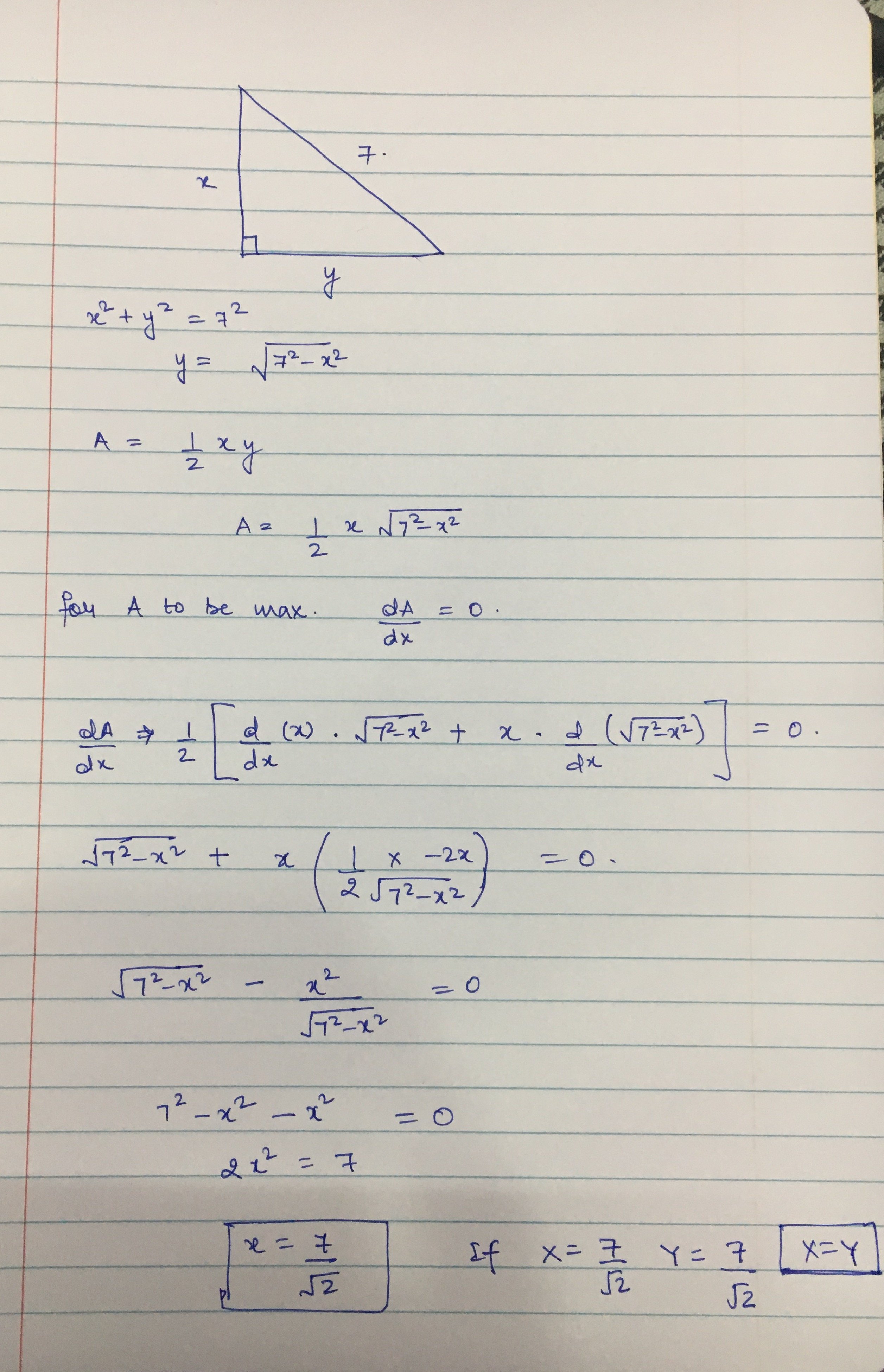
sahilvijay
QUITE SIMPLE LOGIC

let the sides be x y and 7
x^2 + y^2 = 49

for triangle to have maximum area x=y , since A= 0.5xy

2x^2 = 49
x = \(\frac{7}{√2}\)

A = 0.5 xy
A = \(\frac{49}{4}\)
since 49/4 is not an integer and for it to be integer the next lower value of Numerator is 48

A= 48/4 =12

A=12 OPTION D



PROOF FOR X=Y ATTACHED
Attachments

IMG_2348.JPG
IMG_2348.JPG [ 1.23 MiB | Viewed 6344 times ]

User avatar
sahilvijay
Joined: 29 Jun 2017
Last visit: 16 Apr 2021
Posts: 289
Own Kudos:
Given Kudos: 76
GPA: 4
WE:Engineering (Transportation)
Products:
Posts: 289
Kudos: 931
Kudos
Add Kudos
Bookmarks
Bookmark this Post
One more method

On right triangle DEF keeping hypotenuse same / common make one more triangle

So figure must look like either a rectangle or a square

Now we know that if diogonal which is hypotenuse is same then square will have max area

A max = 0.5 D1D2
= 0.5 x 7x7
So 24.5
And area of triangle is half of 24.5
Which is 12.25

Amax triangle 12.25
But Area is integer so 12 option D

A=12 option D

Posted from my mobile device
User avatar
bumpbot
User avatar
Non-Human User
Joined: 09 Sep 2013
Last visit: 04 Jan 2021
Posts: 38,974
Own Kudos:
Posts: 38,974
Kudos: 1,117
Kudos
Add Kudos
Bookmarks
Bookmark this Post
Automated notice from GMAT Club BumpBot:

A member just gave Kudos to this thread, showing it’s still useful. I’ve bumped it to the top so more people can benefit. Feel free to add your own questions or solutions.

This post was generated automatically.
Moderators:
Math Expert
109818 posts
Tuck School Moderator
853 posts