Last visit was: 27 Apr 2026, 14:44 It is currently 27 Apr 2026, 14:44
Close
GMAT Club Daily Prep
Thank you for using the timer - this advanced tool can estimate your performance and suggest more practice questions. We have subscribed you to Daily Prep Questions via email.

Customized
for You

we will pick new questions that match your level based on your Timer History

Track
Your Progress

every week, we’ll send you an estimated GMAT score based on your performance

Practice
Pays

we will pick new questions that match your level based on your Timer History
Not interested in getting valuable practice questions and articles delivered to your email? No problem, unsubscribe here.
Close
Request Expert Reply
Confirm Cancel
User avatar
philipssonicare
Joined: 15 Feb 2018
Last visit: 22 Nov 2022
Posts: 410
Own Kudos:
434
 [14]
Given Kudos: 2,380
Posts: 410
Kudos: 434
 [14]
Kudos
Add Kudos
14
Bookmarks
Bookmark this Post
User avatar
gracie
Joined: 07 Dec 2014
Last visit: 11 Oct 2020
Posts: 1,028
Own Kudos:
Given Kudos: 27
Posts: 1,028
Kudos: 2,023
Kudos
Add Kudos
Bookmarks
Bookmark this Post
User avatar
philipssonicare
Joined: 15 Feb 2018
Last visit: 22 Nov 2022
Posts: 410
Own Kudos:
Given Kudos: 2,380
Posts: 410
Kudos: 434
Kudos
Add Kudos
Bookmarks
Bookmark this Post
avatar
ilepton
Joined: 26 Nov 2018
Last visit: 09 Aug 2022
Posts: 6
Own Kudos:
2
 [1]
Given Kudos: 40
Posts: 6
Kudos: 2
 [1]
Kudos
Add Kudos
1
Bookmarks
Bookmark this Post
philipssonicare
gracie

Apologies, there was a typo. Option D is \(p^2q\), not \(p^2\)

Can you please explain the solution to this problem ?
User avatar
philipssonicare
Joined: 15 Feb 2018
Last visit: 22 Nov 2022
Posts: 410
Own Kudos:
434
 [1]
Given Kudos: 2,380
Posts: 410
Kudos: 434
 [1]
1
Kudos
Add Kudos
Bookmarks
Bookmark this Post
ilepton

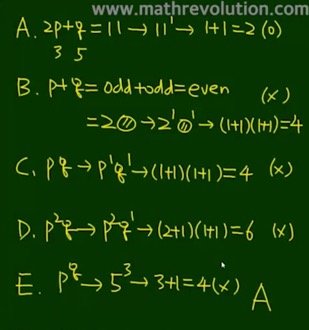
I have attached the answer from math revolution. I feel it is wrong/I misunderstand though.
2P+Q, if p=5 and q=11
2·5+11=21, 3^1·7^1=(1+1)(1+1)=4. Can’t be A?
Attachments

answer.jpg
answer.jpg [ 27.04 KiB | Viewed 7531 times ]

avatar
martinoco
Joined: 05 Dec 2017
Last visit: 29 Sep 2021
Posts: 5
Own Kudos:
4
 [1]
Given Kudos: 4
GMAT 1: 570 Q48 V20
GMAT 1: 570 Q48 V20
Posts: 5
Kudos: 4
 [1]
Kudos
Add Kudos
1
Bookmarks
Bookmark this Post
As p and q are primes greater than 2, both are odd.

Quote:
A) 2p+q

Quote:
B) p+q
odd1 + odd2 = even
p+q is an even greater than 2, so at least it will have 4 factors: 1, 2, (...), (p+q)
Try p=3 and q=5
p+q=8, Factors: 1, 2, 4, 8

Quote:
C) pq
At least 4 Factors: 1, p, q, pq

Quote:
D) (p^2)*q
5 factors: 1, p, p^2, pq, q, (p^2)*q

Quote:
E) p^q
Remember that p and q are prime numbers greater than 2, so p^q > p^2
At least 5 factor (similar to D): : 1, p, p^2, p^q

So the only possible answer is A.
User avatar
jfranciscocuencag
Joined: 12 Sep 2017
Last visit: 17 Aug 2024
Posts: 227
Own Kudos:
Given Kudos: 132
Posts: 227
Kudos: 144
Kudos
Add Kudos
Bookmarks
Bookmark this Post
philipssonicare
If p, q are different prime numbers greater than 2, which of the following can have at most 3 different factors?

A) \(2p+q\)
B) \(p+q\)
C) \(pq\)
D) \(p^2q\)
E) \(p^q\)

Hello!

Can we always assume that the statements will work for any different prime numbers?

Kind regards!
User avatar
KanishkM
Joined: 09 Mar 2018
Last visit: 18 Dec 2021
Posts: 755
Own Kudos:
512
 [2]
Given Kudos: 123
Location: India
Posts: 755
Kudos: 512
 [2]
1
Kudos
Add Kudos
1
Bookmarks
Bookmark this Post
philipssonicare
If p, q are different prime numbers greater than 2, which of the following can have at most 3 different factors?

A) \(2p+q\)
B) \(p+q\)
C) \(pq\)
D) \(p^2q\)
E) \(p^q\)

At most 3 means they can be 3 or less than 3 as well

p = 3, q = 5, in all the cases

A) \(2p+q\)
11 => 11^1 => 2 factors ( while calculating powers we add 1 to the power)

B) \(p+q\)
8 => 2^3 => 4 factors

C) \(pq\)
15 => 3 * 5 => 4 factors

D) \(p^2q\)
45 => 3 * 5 * 3 => 6 factors

E) \(p^q\)
3^5 will again be more than 3 factors

A
User avatar
KanishkM
Joined: 09 Mar 2018
Last visit: 18 Dec 2021
Posts: 755
Own Kudos:
512
 [1]
Given Kudos: 123
Location: India
Posts: 755
Kudos: 512
 [1]
1
Kudos
Add Kudos
Bookmarks
Bookmark this Post
jfranciscocuencag
philipssonicare
If p, q are different prime numbers greater than 2, which of the following can have at most 3 different factors?

A) \(2p+q\)
B) \(p+q\)
C) \(pq\)
D) \(p^2q\)
E) \(p^q\)

Hello!

Can we always assume that the statements will work for any different prime numbers?

Kind regards!

Would like to share my 2 cents on this,

Not necessary,we will have to search for that particular pair which will satisfy the question.

For option A

If you take another pair such as 7,11 => 25 => 3 factors, this will hold good

But when you take 7,13 => 27 => 4 factors, this will fail

Nevertheless the approach mentioned might not be the easiest one to solve this question, Brute force does take time, to get to the answer.
User avatar
philipssonicare
Joined: 15 Feb 2018
Last visit: 22 Nov 2022
Posts: 410
Own Kudos:
434
 [1]
Given Kudos: 2,380
Posts: 410
Kudos: 434
 [1]
1
Kudos
Add Kudos
Bookmarks
Bookmark this Post
chetan2u, Gladiator59, VeritasKarishma, Bunuel, generis
Please explain how the answer is A when the below is a possibility.
2P+Q, if p=5 and q=11
2·5+11=21, 3^1·7^1=(1+1)(1+1)=4.
User avatar
generis
User avatar
Senior SC Moderator
Joined: 22 May 2016
Last visit: 18 Jun 2022
Posts: 5,258
Own Kudos:
37,734
 [3]
Given Kudos: 9,464
Expert
Expert reply
Posts: 5,258
Kudos: 37,734
 [3]
1
Kudos
Add Kudos
2
Bookmarks
Bookmark this Post
philipssonicare
chetan2u, Gladiator59, VeritasKarishma, Bunuel, generis
Please explain how the answer is A when the below is a possibility.
2P+Q, if p=5 and q=11
2·5+11=21, 3^1·7^1=(1+1)(1+1)=4.
philipssonicare , this question is too clever by half.

This sentence uses can in the sense of could—not can in the sense of can only.
(Can only implies must only. You just found out why the question does not mean must only. +1 :) )
Can as a modal verb means to be able to.

I am not a fan of questions like this one.

The prompt says:
If p, q are different prime numbers greater than 2, which of the following can have at most 3 different factors?

The prompt means
If p, q are different prime numbers greater than 2,
in which of the following is it possible for the solution to have at most 3 different factors?

Or: which of the following could have at most 3 different factors under the given conditions?

If we can come up with even one solution for an option that satisfies the conditions, then that option "can" have at most 3 different factors.

Only option A "can" (is able to) have at least one solution that has at most 3 factors.
Option A does not have to have only 3 factors every time.
The other options will never render a solution with at most 3 factors.

Hope that helps.
User avatar
KarishmaB
Joined: 16 Oct 2010
Last visit: 27 Apr 2026
Posts: 16,446
Own Kudos:
79,430
 [3]
Given Kudos: 485
Location: Pune, India
Expert
Expert reply
Active GMAT Club Expert! Tag them with @ followed by their username for a faster response.
Posts: 16,446
Kudos: 79,430
 [3]
2
Kudos
Add Kudos
1
Bookmarks
Bookmark this Post
philipssonicare
If p, q are different prime numbers greater than 2, which of the following can have at most 3 different factors?

A) \(2p+q\)
B) \(p+q\)
C) \(pq\)
D) \(p^2q\)
E) \(p^q\)

p and q are different prime numbers greater than 2. So they must be both odd prime numbers.
Let's consider options (C), (D) and (E) first since they are easier.


C) \(pq\)

Factors must be 1, p, q and pq
(Definitely has more than 3 factors)

D) \(p^2q\)

Factors must be 1, p, q, p^2...
(Definitely has more than 3 factors)

E) \(p^q\)

Factors must be 1, p, p^2, p^3 ...
(Definitely has more than 3 factors because q is more than 2)

Now let's look at (B).

B) \(p+q\)

Odd + Odd = Even
So the two odd prime numbers will add up to give an even number. This means that 2 must be a factor of the sum. We also know that factors appear in pairs. If there is a factor x, there is another factor y (distinct or same) which will multiply with x to give the number. e.g. if 2 is a factor of 6, there is a factor 3 which multiplies with 2 to give 6.
Hence. here also, there must be a complementary factor of 2, say A.
Factors must be at least 1, 2, A, p+q
(Definitely has more than 3 factors)

By elimination, answer must be (A).

A) \(2p+q\)
Say p = 3, q = 5
2p+q = 11
Factors are 1 and 11 (only 2)
Hence 2p + q CAN have at most 3 factors (for some values of p and q).
Note that it does not imply that 2p+q MUST have at most 3 factors for all values of p and q. There could be values of p and q for which it has more than 3 factors such as p = 7, q = 13
2p+q= 27
Factors are 1, 3, 9, 27
But the questions asks us for the option which CAN have values of p and q such that there are 3 or fewer factors. None of the other options can have any values of p and q such that there are 3 or fewer factors.

Answer (A)
User avatar
nick1816
User avatar
Retired Moderator
Joined: 19 Oct 2018
Last visit: 12 Mar 2026
Posts: 1,841
Own Kudos:
Given Kudos: 707
Location: India
Posts: 1,841
Kudos: 8,513
Kudos
Add Kudos
Bookmarks
Bookmark this Post
We can write any prime number greater than 3 in the form of 6k+1 or 6k-1
Now there are 2 cases when 2p+q can be a prime number.
1. p=6a-1 and q=6b+1
2p+q= 6(2a+b)-1=6X-1 which can be prime

2. p=6a+1 and q=6b-1
2p+q=6(2a+b)+1=6Y+1, which can also be a prime


philipssonicare
chetan2u, Gladiator59, VeritasKarishma, Bunuel, generis
Please explain how the answer is A when the below is a possibility.
2P+Q, if p=5 and q=11
2·5+11=21, 3^1·7^1=(1+1)(1+1)=4.
User avatar
bumpbot
User avatar
Non-Human User
Joined: 09 Sep 2013
Last visit: 04 Jan 2021
Posts: 38,984
Own Kudos:
Posts: 38,984
Kudos: 1,119
Kudos
Add Kudos
Bookmarks
Bookmark this Post
Automated notice from GMAT Club BumpBot:

A member just gave Kudos to this thread, showing it’s still useful. I’ve bumped it to the top so more people can benefit. Feel free to add your own questions or solutions.

This post was generated automatically.
Moderators:
Math Expert
109929 posts
Tuck School Moderator
852 posts