Last visit was: 24 Apr 2026, 11:39 It is currently 24 Apr 2026, 11:39
Close
GMAT Club Daily Prep
Thank you for using the timer - this advanced tool can estimate your performance and suggest more practice questions. We have subscribed you to Daily Prep Questions via email.

Customized
for You

we will pick new questions that match your level based on your Timer History

Track
Your Progress

every week, we’ll send you an estimated GMAT score based on your performance

Practice
Pays

we will pick new questions that match your level based on your Timer History
Not interested in getting valuable practice questions and articles delivered to your email? No problem, unsubscribe here.
Close
Request Expert Reply
Confirm Cancel
User avatar
Bunuel
User avatar
Math Expert
Joined: 02 Sep 2009
Last visit: 24 Apr 2026
Posts: 109,817
Own Kudos:
811,046
 [4]
Given Kudos: 105,873
Products:
Expert
Expert reply
Active GMAT Club Expert! Tag them with @ followed by their username for a faster response.
Posts: 109,817
Kudos: 811,046
 [4]
Kudos
Add Kudos
4
Bookmarks
Bookmark this Post
avatar
Kowsalyadevi
Joined: 25 Feb 2019
Last visit: 06 Feb 2026
Posts: 4
Given Kudos: 2
Posts: 4
Kudos: 0
Kudos
Add Kudos
Bookmarks
Bookmark this Post
User avatar
Archit3110
User avatar
Major Poster
Joined: 18 Aug 2017
Last visit: 24 Apr 2026
Posts: 8,629
Own Kudos:
Given Kudos: 243
Status:You learn more from failure than from success.
Location: India
Concentration: Sustainability, Marketing
GMAT Focus 1: 545 Q79 V79 DI73
GMAT Focus 2: 645 Q83 V82 DI81
GPA: 4
WE:Marketing (Energy)
Products:
GMAT Focus 2: 645 Q83 V82 DI81
Posts: 8,629
Kudos: 5,190
Kudos
Add Kudos
Bookmarks
Bookmark this Post
User avatar
testcracker
Joined: 24 Mar 2015
Last visit: 02 Dec 2024
Posts: 199
Own Kudos:
Given Kudos: 541
Status:love the club...
Posts: 199
Kudos: 135
Kudos
Add Kudos
Bookmarks
Bookmark this Post
can anybody please draw the cube on a coordinate plane ?
User avatar
CrackverbalGMAT
User avatar
Major Poster
Joined: 03 Oct 2013
Last visit: 24 Apr 2026
Posts: 4,846
Own Kudos:
9,182
 [1]
Given Kudos: 226
Affiliations: CrackVerbal
Location: India
Expert
Expert reply
Posts: 4,846
Kudos: 9,182
 [1]
1
Kudos
Add Kudos
Bookmarks
Bookmark this Post
Hello,

Greetings for the day!

This question is a fairly straightforward question on Mensuration. This tests your knowledge of basic mensuration concepts like the properties of a cube and the formula to calculate the Surface area of a cube. You can also utilise your knowledge of divisibility rules to try and eliminate some options, although in this particular question, this technique may not be particularly useful.

A cube is a three dimensional figure in which all the surfaces are squares. Hence, the length, breadth and height are all equal in a cube. A cube is made up of 6 square surfaces. Therefore,
Surface Area of a Cube = 6a^2 , where a represents the side of the cube.
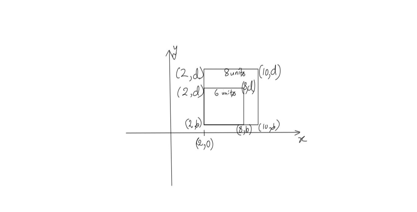
Now, let us look at the question at hand. We know that the four vertices given represent the vertices of the face of the given cube. Hence, they should represent the four corners of a square which makes up a face of the given cube.
(a,b) , (a, d), (c, b) and (c,d) are the four vertices given. Of these, (a, b) and (a,d) will lie on the same vertical line since they have their x co-ordinates same. Similarly, (c,b) and (c,d) will lie on the same vertical line which is different from the previous line, since a≠c.
Using a similar analogy, we can say that (a,b) and (c,b) will be on the same horizontal line since they have their y co-ordinates same, while, (a,d) and (c,d) will also lie on the same horizontal line, albeit different from the previous one.
We also know that a=2. Hence, (a,b) and (a,d) can be substituted by (2,b) and (2,d), while plotting the problem on the co-ordinate plane. It is said that c is an even number between 6 and 11. Hence, the two possible values of c are 8 and 10. Substituting these, we have four possibilities for the other two vertices given:
(c,b) = (8,b)
(c,d) = (8,d)
(c,b) = (10,b)
(c,d) = (10,d)





Using the data given above, plotting a diagram on the co-ordinate plane will give us a figure which looks like the one below:

Attachment:
The four vertices of a face of a cube have coordinates (a, b), (a, d),.jpg
The four vertices of a face of a cube have coordinates (a, b), (a, d),.jpg [ 32.98 KiB | Viewed 2758 times ]

From the diagram above, we can conclude that the side of the cube can be either 6 units or 8 units.
If the side of the cube is 6 units, a = 6 and Surface area = 6 * 6^2 = 216 sq.units.
If the side of the cube is 8 units, a = 8 and Surface area = 6 * 8^2 = 384 sq.units.
Remember that the question is asking us to find out a possible value of the surface area. Hence, 384 could be the surface area of the cube.
Hence, the answer option is D.
In questions like these, since the surface area of a cube has to be a multiple of 6, answer options which are not multiples of 6 can be eliminated. However, in this question, since all options were multiples of 6, we did not follow this approach. Also, since the question is a could be question, it is not necessary to find a unique answer. It is enough to calculate all possible answers which satisfy the conditions and match them to the answer options to zero in on the final answer.

Hope this helps!
Cheers,
CrackVerbal Academics Team
User avatar
ScottTargetTestPrep
User avatar
Target Test Prep Representative
Joined: 14 Oct 2015
Last visit: 24 Apr 2026
Posts: 22,286
Own Kudos:
Given Kudos: 302
Status:Founder & CEO
Affiliations: Target Test Prep
Location: United States (CA)
Expert
Expert reply
Active GMAT Club Expert! Tag them with @ followed by their username for a faster response.
Posts: 22,286
Kudos: 26,534
Kudos
Add Kudos
Bookmarks
Bookmark this Post
Bunuel
The four vertices of a face of a cube have coordinates (a, b), (a, d), (c, b), and (c, d). If a = 2 and c is an even number between 6 and 11, which of the following could be the surface area of the cube?

A. 96
B. 150
C. 294
D. 384
E. 600

We see that c can be either 8 or 10. Let’s analyze both numbers.

If c = 8, then an edge of the cube would have length of 8 - 2 = 6, and the surface area of the cube would then be 6(6)^2 = 216. However, 216 is not one of the choices.

If c = 10, then an edge of the cube would have length of 10 - 2 = 8, and the surface area of the cube would then be 6(8)^2 = 384. We see that 384 is one of the choices.

Answer: D
User avatar
bumpbot
User avatar
Non-Human User
Joined: 09 Sep 2013
Last visit: 04 Jan 2021
Posts: 38,974
Own Kudos:
Posts: 38,974
Kudos: 1,117
Kudos
Add Kudos
Bookmarks
Bookmark this Post
Automated notice from GMAT Club BumpBot:

A member just gave Kudos to this thread, showing it’s still useful. I’ve bumped it to the top so more people can benefit. Feel free to add your own questions or solutions.

This post was generated automatically.
Moderators:
Math Expert
109816 posts
Tuck School Moderator
853 posts