Last visit was: 23 Apr 2026, 16:25 It is currently 23 Apr 2026, 16:25
Close
GMAT Club Daily Prep
Thank you for using the timer - this advanced tool can estimate your performance and suggest more practice questions. We have subscribed you to Daily Prep Questions via email.

Customized
for You

we will pick new questions that match your level based on your Timer History

Track
Your Progress

every week, we’ll send you an estimated GMAT score based on your performance

Practice
Pays

we will pick new questions that match your level based on your Timer History
Not interested in getting valuable practice questions and articles delivered to your email? No problem, unsubscribe here.
Close
Request Expert Reply
Confirm Cancel
User avatar
Sajjad1994
User avatar
GRE Forum Moderator
Joined: 02 Nov 2016
Last visit: 23 Apr 2026
Posts: 16,814
Own Kudos:
51,905
 [2]
Given Kudos: 6,334
GPA: 3.62
Products:
Posts: 16,814
Kudos: 51,905
 [2]
1
Kudos
Add Kudos
1
Bookmarks
Bookmark this Post
User avatar
Sajjad1994
User avatar
GRE Forum Moderator
Joined: 02 Nov 2016
Last visit: 23 Apr 2026
Posts: 16,814
Own Kudos:
Given Kudos: 6,334
GPA: 3.62
Products:
Posts: 16,814
Kudos: 51,905
Kudos
Add Kudos
Bookmarks
Bookmark this Post
User avatar
Bunuel
User avatar
Math Expert
Joined: 02 Sep 2009
Last visit: 23 Apr 2026
Posts: 109,785
Own Kudos:
810,869
 [1]
Given Kudos: 105,853
Products:
Expert
Expert reply
Active GMAT Club Expert! Tag them with @ followed by their username for a faster response.
Posts: 109,785
Kudos: 810,869
 [1]
1
Kudos
Add Kudos
Bookmarks
Bookmark this Post
avatar
nipun12
Joined: 22 Oct 2018
Last visit: 18 Oct 2019
Posts: 1
Posts: 1
Kudos: 0
Kudos
Add Kudos
Bookmarks
Bookmark this Post
Is the answer B?

(2√10/√2)^2
4*10/2
40/2
20

Posted from my mobile device
User avatar
EncounterGMAT
Joined: 10 Oct 2018
Last visit: 16 Oct 2019
Posts: 317
Own Kudos:
632
 [2]
Given Kudos: 185
Status:Whatever it takes!
GPA: 4
Posts: 317
Kudos: 632
 [2]
2
Kudos
Add Kudos
Bookmarks
Bookmark this Post
IMO answer is option B

Posted from my mobile device
Attachments

IMG_20190829_205236.jpg
IMG_20190829_205236.jpg [ 1.33 MiB | Viewed 1853 times ]

User avatar
Abhishek009
User avatar
Board of Directors
Joined: 11 Jun 2011
Last visit: 17 Dec 2025
Posts: 5,903
Own Kudos:
Given Kudos: 463
Status:QA & VA Forum Moderator
Location: India
GPA: 3.5
WE:Business Development (Commercial Banking)
Posts: 5,903
Kudos: 5,452
Kudos
Add Kudos
Bookmarks
Bookmark this Post
SajjadAhmad
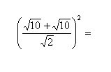
\([\frac{\sqrt{10} + \sqrt{10}}{\sqrt{2}}]^2\)

A. 10
B. 20
C. 50
D. 100
E. 200
\([\frac{\sqrt{10} + \sqrt{10}}{\sqrt{2}}]^2\)

= \([\frac{2\sqrt{10}}{\sqrt{2}}]^2\)

= \(\frac{4*10}{2}\)

= \(20\) , Answer must be (B)
User avatar
ScottTargetTestPrep
User avatar
Target Test Prep Representative
Joined: 14 Oct 2015
Last visit: 23 Apr 2026
Posts: 22,283
Own Kudos:
Given Kudos: 302
Status:Founder & CEO
Affiliations: Target Test Prep
Location: United States (CA)
Expert
Expert reply
Active GMAT Club Expert! Tag them with @ followed by their username for a faster response.
Posts: 22,283
Kudos: 26,531
Kudos
Add Kudos
Bookmarks
Bookmark this Post
SajjadAhmad
\([\frac{\sqrt{10} + \sqrt{10}}{\sqrt{2}}]^2\)

A. 10
B. 20
C. 50
D. 100
E. 200

Simplifying, we have:

[(2√10)/√2]^2 = (2√5)^2 = 4 * 5 = 20

Answer: B
Moderators:
Math Expert
109785 posts
Tuck School Moderator
853 posts