Last visit was: 26 Apr 2026, 12:28 It is currently 26 Apr 2026, 12:28
Close
GMAT Club Daily Prep
Thank you for using the timer - this advanced tool can estimate your performance and suggest more practice questions. We have subscribed you to Daily Prep Questions via email.

Customized
for You

we will pick new questions that match your level based on your Timer History

Track
Your Progress

every week, we’ll send you an estimated GMAT score based on your performance

Practice
Pays

we will pick new questions that match your level based on your Timer History
Not interested in getting valuable practice questions and articles delivered to your email? No problem, unsubscribe here.
Close
Request Expert Reply
Confirm Cancel
User avatar
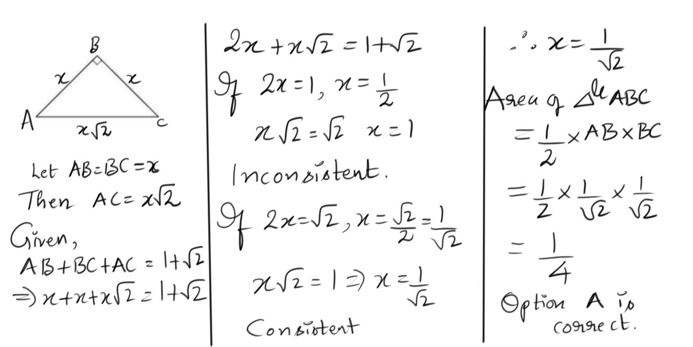
Bunuel
User avatar
Math Expert
Joined: 02 Sep 2009
Last visit: 26 Apr 2026
Posts: 109,860
Own Kudos:
811,429
 [1]
Given Kudos: 105,897
Products:
Expert
Expert reply
Active GMAT Club Expert! Tag them with @ followed by their username for a faster response.
Posts: 109,860
Kudos: 811,429
 [1]
Kudos
Add Kudos
1
Bookmarks
Bookmark this Post
User avatar
CrackverbalGMAT
User avatar
Major Poster
Joined: 03 Oct 2013
Last visit: 26 Apr 2026
Posts: 4,846
Own Kudos:
9,186
 [3]
Given Kudos: 226
Affiliations: CrackVerbal
Location: India
Expert
Expert reply
Posts: 4,846
Kudos: 9,186
 [3]
3
Kudos
Add Kudos
Bookmarks
Bookmark this Post
avatar
Amlu95
Joined: 21 Apr 2019
Last visit: 26 Nov 2020
Posts: 30
Own Kudos:
15
 [1]
Given Kudos: 27
Location: India
GMAT 1: 640 Q41 V37
GMAT 1: 640 Q41 V37
Posts: 30
Kudos: 15
 [1]
Kudos
Add Kudos
Bookmarks
Bookmark this Post
Moderators:
Math Expert
109860 posts
Tuck School Moderator
852 posts