Last visit was: 24 Apr 2026, 12:36 It is currently 24 Apr 2026, 12:36
Close
GMAT Club Daily Prep
Thank you for using the timer - this advanced tool can estimate your performance and suggest more practice questions. We have subscribed you to Daily Prep Questions via email.

Customized
for You

we will pick new questions that match your level based on your Timer History

Track
Your Progress

every week, we’ll send you an estimated GMAT score based on your performance

Practice
Pays

we will pick new questions that match your level based on your Timer History
Not interested in getting valuable practice questions and articles delivered to your email? No problem, unsubscribe here.
Close
Request Expert Reply
Confirm Cancel
User avatar
Bunuel
User avatar
Math Expert
Joined: 02 Sep 2009
Last visit: 24 Apr 2026
Posts: 109,820
Own Kudos:
811,058
 [2]
Given Kudos: 105,873
Products:
Expert
Expert reply
Active GMAT Club Expert! Tag them with @ followed by their username for a faster response.
Posts: 109,820
Kudos: 811,058
 [2]
Kudos
Add Kudos
2
Bookmarks
Bookmark this Post
User avatar
CareerGeek
Joined: 20 Jul 2017
Last visit: 24 Apr 2026
Posts: 1,286
Own Kudos:
4,432
 [2]
Given Kudos: 162
Location: India
Concentration: Entrepreneurship, Marketing
GMAT 1: 690 Q51 V30
WE:Education (Education)
GMAT 1: 690 Q51 V30
Posts: 1,286
Kudos: 4,432
 [2]
2
Kudos
Add Kudos
Bookmarks
Bookmark this Post
User avatar
gracie
Joined: 07 Dec 2014
Last visit: 11 Oct 2020
Posts: 1,028
Own Kudos:
2,022
 [2]
Given Kudos: 27
Posts: 1,028
Kudos: 2,022
 [2]
1
Kudos
Add Kudos
1
Bookmarks
Bookmark this Post
User avatar
Jawad001
Joined: 14 Sep 2019
Last visit: 10 Nov 2022
Posts: 216
Own Kudos:
153
 [1]
Given Kudos: 31
Posts: 216
Kudos: 153
 [1]
1
Kudos
Add Kudos
Bookmarks
Bookmark this Post
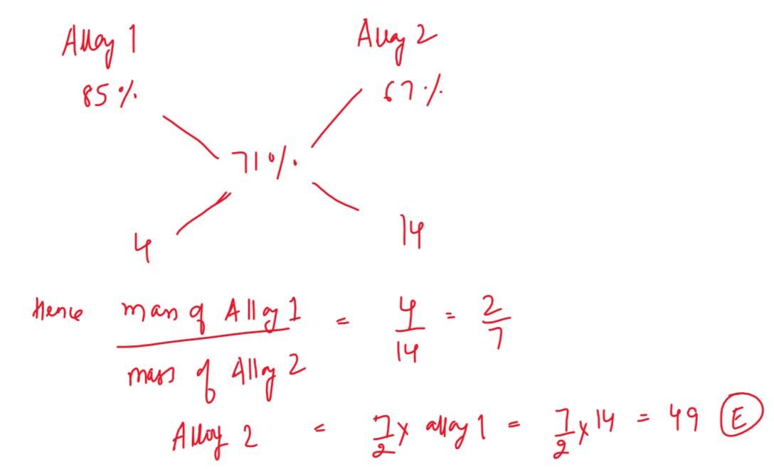
First Alloy Second alloy
85 67


71

4 (71-67) 14(85-71)

The ratio of First alloy and the Second alloy = 4:14
= 2 :7
As there is 14(2 X 7) kg of first alloy, Second alloy = 7X7 = 49 kgs(E)
User avatar
ScottTargetTestPrep
User avatar
Target Test Prep Representative
Joined: 14 Oct 2015
Last visit: 24 Apr 2026
Posts: 22,286
Own Kudos:
26,534
 [1]
Given Kudos: 302
Status:Founder & CEO
Affiliations: Target Test Prep
Location: United States (CA)
Expert
Expert reply
Active GMAT Club Expert! Tag them with @ followed by their username for a faster response.
Posts: 22,286
Kudos: 26,534
 [1]
1
Kudos
Add Kudos
Bookmarks
Bookmark this Post
Bunuel
Two alloys of iron having 85% and 67% iron respectively are fused together to form another alloy having 71% iron in it. If 14 kgs of the first alloy is taken, find the weight of the second alloy.

A. 28 kgs
B. 34 kgs
C. 35 kgs
D. 42 kgs
E. 49 kgs

Solution:

Let’s let n = the weight of the second alloy. We can create the equation:

0.85(14) + 0.67n = 0.71(14 + n)

11.9 + 0.67n = 9.94 + 0.71n

1.96 = 0.04n

49 = n

Alternate solution:

We see that 71 is 14 away from 85 and 4 away from 67, so we can create the equation:

14/4 = n/14

4n = 196

n = 49

Answer: E
User avatar
GMATBusters
User avatar
GMAT Tutor
Joined: 27 Oct 2017
Last visit: 23 Apr 2026
Posts: 1,922
Own Kudos:
6,856
 [2]
Given Kudos: 241
WE:General Management (Education)
Expert
Expert reply
Posts: 1,922
Kudos: 6,856
 [2]
2
Kudos
Add Kudos
Bookmarks
Bookmark this Post
This question can be done easily using alligation:


Attachment:
all.JPG
all.JPG [ 44.48 KiB | Viewed 5886 times ]
User avatar
bumpbot
User avatar
Non-Human User
Joined: 09 Sep 2013
Last visit: 04 Jan 2021
Posts: 38,976
Own Kudos:
Posts: 38,976
Kudos: 1,117
Kudos
Add Kudos
Bookmarks
Bookmark this Post
Automated notice from GMAT Club BumpBot:

A member just gave Kudos to this thread, showing it’s still useful. I’ve bumped it to the top so more people can benefit. Feel free to add your own questions or solutions.

This post was generated automatically.
Moderators:
Math Expert
109820 posts
Tuck School Moderator
853 posts