kiranbhasker
this took me 3.5 minutes to get it right,
is there a shorter more logical approach to this?
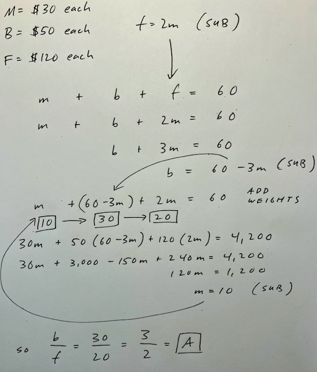
kiranbhasker Not really, you have to do a lot of small steps accurately. Ideally, you are very organized, and fluent and confident on each step. The chart shown below can help with organization. This is a particularly long problem, as we can see from the average correct time of 2:54.
If done with little hesitation, this can be done with the method below in under 2:00. (However, you have to be careful to avoid a careless algebra error, and I had done the problem once before).
I encourage you to re-do it, with a competitive mindset to see how much you can improve your time, while still retaining accuracy.
Many people have the habit of using an RT = W or RT = D chart, for work and rate problems. To be more organized and reduce hesitation in our process, we can use a similar chart, for
PQ = R (Price * Quantity = Revenue).
We also want to be very fluent in translating "twice as many food processors as mixers". It's common to mix this up and do it backwards. Double check -- what are there more of? More food processors -- so put "2x" in the "F" row, and "x" in the "M" row (see brown writing below;
MGMAT calls this the "Unknown Multiplier" method, for ratios)
It can also be helpful to "rephrase" in advance what they are asking for -- this habit helps us prevent the careless error of answering the wrong question. (see green writing below).
In the blue writing below, we subtract the values above and below from the total quantity of 60.
In the purple writing on the right side, we turn the revenue column into an equation -- I did the 240x + 30x - 150x in my head and simplified carefully, to save a bit of writing. I like to cross things off on both sides of the equation, instead of writing a new line for each algebra step (Reason: I find that sometimes additional steps introduce additional potential errors, such as copying something incorrectly from the previous line. Caution: you need to practice this "cross-off" method and make sure you are aware of what's crossed off and what isn't.)
Please let me know if you have any questions or comments, thanks!
Attachments

PQ = R chart (A dealer sold a total of 60 of the appliances listed in the table above for a total of $4,200).png [ 223.75 KiB | Viewed 15734 times ]